Suppr超能文献

不同非生物胁迫下银柳定量实时 PCR 基因表达分析中合适内参基因的选择。

Selection of suitable reference genes for quantitative real-time PCR gene expression analysis in Salix matsudana under different abiotic stresses.

机构信息

State Key Laboratory of Tree Genetics and Breeding, Chinese Academy of Forestry, Beijing 100091, China.

Key Laboratory of Tree Breeding of Zhejiang Province, The Research Institute of Subtropical of Forestry, Chinese Academy of Forestry, Hangzhou, Zhejiang 311400, China.

出版信息

Sci Rep. 2017 Jan 25;7:40290. doi: 10.1038/srep40290.

Abstract

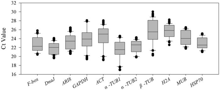
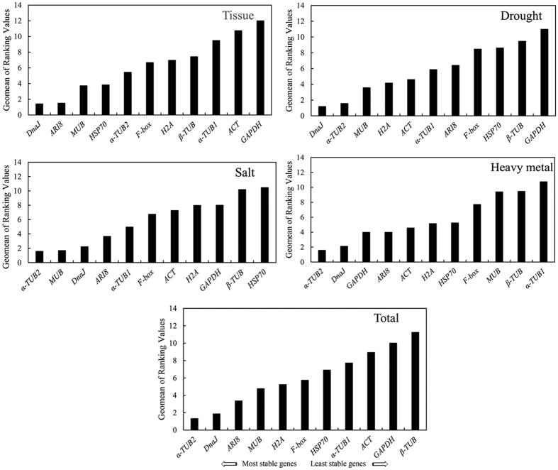
Salix matsudana is a deciduous, rapidly growing willow species commonly cultivated in China, which can tolerate drought, salt, and heavy metal stress conditions. Selection of suitable reference genes for quantitative real-time PCR is important for normalizing the expression of the key genes associated with various stresses. To validate suitable reference genes, we selected 11 candidate reference genes (five traditional housekeeping genes and six novel genes) and analyzed their expression stability in various samples, including different tissues and under different abiotic stress treatments. The expression of these genes was determined using five programs-geNorm, NormFinder, BestKeeper, ΔCt, and RefFinder. The results showed that α-TUB2 (alpha-tubulin 2) and DnaJ (chaperone protein DnaJ 49) were the most stable reference genes across all the tested samples. We measured the expression profiles of the defense response gene SmCAT (catalase) using the two most stable and one least stable reference genes in all samples of S. matsudana. The relative quantification of SmCAT varied greatly according to the different reference genes. We propose that α-TUB2 and DnaJ should be the preferred reference genes for normalization and quantification of transcript levels in future gene expression studies in willow species under various abiotic stress conditions.

摘要

旱柳是一种落叶速生树种,在中国广泛栽培,能耐受干旱、盐和重金属胁迫等条件。选择合适的内参基因对于定量实时 PCR 中与各种胁迫相关的关键基因的表达正常化至关重要。为了验证合适的内参基因,我们选择了 11 个候选内参基因(5 个传统管家基因和 6 个新基因),并分析了它们在不同组织和不同非生物胁迫处理下的表达稳定性。使用 5 种程序-geNorm、NormFinder、BestKeeper、ΔCt 和 RefFinder 来确定这些基因的表达。结果表明,α-TUB2(微管蛋白 2)和 DnaJ(伴侣蛋白 DnaJ 49)是所有测试样本中最稳定的内参基因。我们使用所有旱柳样本中最稳定的两个和最不稳定的一个内参基因测量了防御反应基因 SmCAT(过氧化氢酶)的表达谱。根据不同的内参基因,SmCAT 的相对定量差异很大。我们建议,在未来柳树物种在各种非生物胁迫条件下的基因表达研究中,α-TUB2 和 DnaJ 应该作为归一化和转录水平定量的首选内参基因。

https://cdn.ncbi.nlm.nih.gov/pmc/blobs/a71c/5264508/043107eea25e/srep40290-f1.jpg

文献AI研究员

20分钟写一篇综述,助力文献阅读效率提升50倍。

立即体验

用中文搜PubMed

大模型驱动的PubMed中文搜索引擎

马上搜索

文档翻译

学术文献翻译模型,支持多种主流文档格式。

立即体验