Suppr超能文献

污染物 N 源对河流中 NO 特征的遗留影响:一项同位素(δN-NO、δO-NO、δB)与微生物学综合调查。

Legacy of contaminant N sources to the NO signature in rivers: a combined isotopic (δN-NO, δO-NO, δB) and microbiological investigation.

机构信息

UPMC Univ Paris 06, UMR IEES, 4 place Jussieu, 75252 Paris Cedex 05, France.

Institut de Physique du Globe de Paris, Sorbonne Paris Cité, Université Paris-Diderot, UMR CNRS 7154, 1 rue Jussieu, 75238 Paris Cedex, France.

出版信息

Sci Rep. 2017 Feb 2;7:41703. doi: 10.1038/srep41703.

Abstract

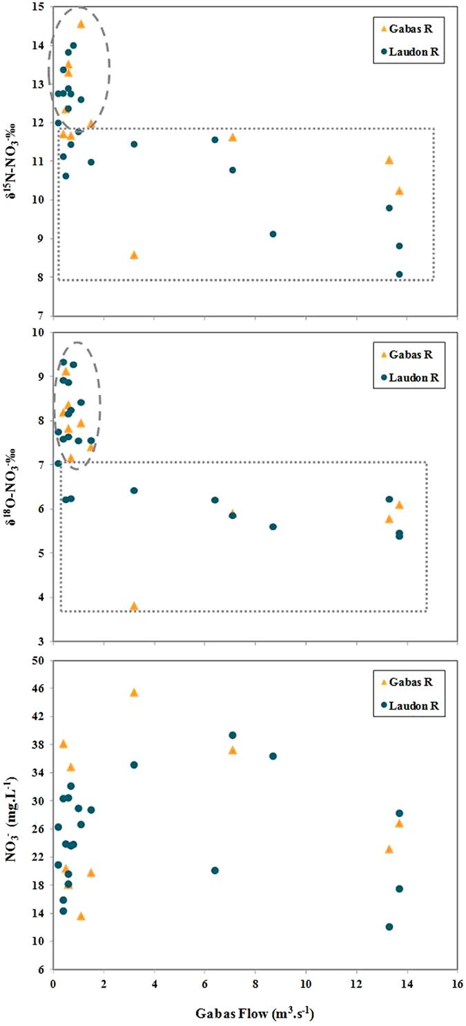
Nitrate content of surface waters results from complex mixing of multiple sources, whose signatures can be modified through N reactions occurring within the different compartments of the whole catchment. Despite this complexity, the determination of nitrate origin is the first and crucial step for water resource preservation. Here, for the first time, we combined at the catchment scale stable isotopic tracers (δN and δO of nitrate and δB) and fecal indicators to trace nitrate sources and pathways to the stream. We tested this approach on two rivers in an agricultural region of SW France. Boron isotopic ratios evidenced inflow from anthropogenic waters, microbiological markers revealed organic contaminations from both human and animal wastes. Nitrate δ and δO traced inputs from the surface leaching during high flow events and from the subsurface drainage in base flow regime. They also showed that denitrification occurred within the soils before reaching the rivers. Furthermore, this study highlighted the determinant role of the soil compartment in nitrate formation and recycling with important spatial heterogeneity and temporal variability.

摘要

地表水中的硝酸盐含量是多种来源复杂混合的结果,其特征可通过整个集水区不同部分发生的 N 反应进行修改。尽管存在这种复杂性,但确定硝酸盐的来源是保护水资源的第一步和关键步骤。在这里,我们首次在集水区范围内结合使用稳定同位素示踪剂(硝酸盐和δB 的δN 和δO)和粪便指示剂来追踪硝酸盐的来源和进入溪流的途径。我们在法国西南部一个农业区的两条河流上测试了这种方法。硼同位素比值证明了来自人为水源的流入,微生物标记物揭示了人类和动物废物的有机污染。硝酸盐的δ和δO 追踪了高流量期间地表淋溶和基流期间地下排水的输入。它们还表明,反硝化作用在到达河流之前就在土壤中发生了。此外,这项研究强调了土壤在硝酸盐形成和再循环中的决定性作用,具有重要的空间异质性和时间变异性。

https://cdn.ncbi.nlm.nih.gov/pmc/blobs/e685/5288703/fd9aae43e200/srep41703-f1.jpg

文献AI研究员

20分钟写一篇综述,助力文献阅读效率提升50倍。

立即体验

用中文搜PubMed

大模型驱动的PubMed中文搜索引擎

马上搜索

文档翻译

学术文献翻译模型,支持多种主流文档格式。

立即体验