Suppr超能文献

奥氮平对接受化疗的胃癌患者症状缓解及生活质量的疗效。

Efficacy of olanzapine in symptom relief and quality of life in gastric cancer patients receiving chemotherapy.

作者信息

Nikbakhsh Novin, Sadeghi Mohsen Vakili, Ramzani Elham, Moudi Sussan, Bijani Ali, Yousefi Roya, Moudi Marjan, Gholinia Hemmat

机构信息

Department of Surgery, Cancer Research Center, Babol University of Medical Sciences, Babol, Iran.

Department of Oncology, Babol University of Medical Sciences, Babol, Iran.

出版信息

J Res Med Sci. 2016 Oct 18;21:88. doi: 10.4103/1735-1995.192504. eCollection 2016.

Abstract

BACKGROUND

Considering the incidence and prevalence rates of gastric cancer in Mazandaran Province of Iran, this research was performed to evaluate the efficacy and safety of olanzapine in symptom relief and quality of life (QOL) improvement of gastric patients receiving chemotherapy.

MATERIALS AND METHODS

This clinical trial was conducted on thirty new cases of gastric cancer patients whose treatment protocol was planned on chemotherapy and were allocated into two groups by simple random sampling. Intervention group (15 patients) received olanzapine tablets (2.5-10 mg/day) a day before the beginning of chemotherapy; in the 1 day of chemotherapy to 8 weeks after chemotherapy, besides the routine treatment regimens. The control group received only the routine treatment regimens. The patients were followed for 8 weeks after intervention. All of the patients were assessed with Hospital Anxiety and Depression Scale (HADS) and WHO-QOL-BREF questionnaires; further, Rhodes index was used to evaluate nausea and vomiting (N/V) status.

RESULTS

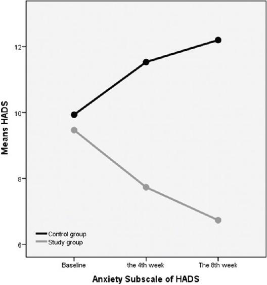
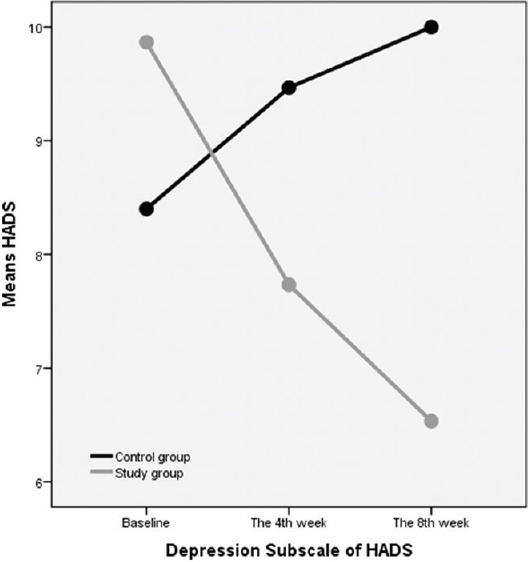
All the recruited patients continued the allocated interventions (no lost to follow-up). N/V decreased in the case group, but the difference was not statistically significant ( = 0.438). The patients' appetite and body mass index increased ( = 0.006). Anxiety and depression subscales of HADS had significant differences between the two groups ( < 0.001) in the 4 and 8 week after treatment. Among the different subdomains of QOL, only physical health improved significantly after intervention ( < 0.05), but no significant difference was observed in other subdomains and also total QOL score ( > 0.05). No significant increase was observed in fasting and 2-h postprandial blood glucose and lipid profile ( > 0.05).

CONCLUSION

Olanzapine can be considered as an effective drug to increase appetite and decrease anxiety and depression in patients with gastric cancer.

摘要

背景

考虑到伊朗马赞德兰省胃癌的发病率和患病率,本研究旨在评估奥氮平对接受化疗的胃癌患者缓解症状及改善生活质量(QOL)的疗效和安全性。

材料与方法

本临床试验针对30例新确诊的胃癌患者开展,其治疗方案为化疗,通过简单随机抽样将患者分为两组。干预组(15例患者)在化疗开始前一天服用奥氮平片(2.5 - 10毫克/天);在化疗第1天至化疗后8周,除常规治疗方案外服用该药。对照组仅接受常规治疗方案。干预后对患者进行8周随访。所有患者均使用医院焦虑抑郁量表(HADS)和世界卫生组织生活质量简表(WHO - QOL - BREF)进行评估;此外,使用罗兹指数评估恶心和呕吐(N/V)情况。

结果

所有招募的患者均继续接受分配的干预措施(无失访)。病例组的N/V有所下降,但差异无统计学意义(P = 0.438)。患者的食欲和体重指数有所增加(P = 0.006)。治疗后第4周和第8周,两组患者HADS焦虑和抑郁分量表存在显著差异(P < 0.001)。在生活质量的不同子领域中,干预后仅身体健康状况有显著改善(P < 0.05),但其他子领域及生活质量总分均无显著差异(P > 0.05)。空腹血糖、餐后2小时血糖和血脂水平均未出现显著升高(P > 0.05)。

结论

奥氮平可被视为增加胃癌患者食欲、减轻焦虑和抑郁的有效药物。

https://cdn.ncbi.nlm.nih.gov/pmc/blobs/8276/5244650/645ec15b6aa9/JRMS-21-88-g001.jpg

文献AI研究员

20分钟写一篇综述,助力文献阅读效率提升50倍。

立即体验

用中文搜PubMed

大模型驱动的PubMed中文搜索引擎

马上搜索

文档翻译

学术文献翻译模型,支持多种主流文档格式。

立即体验