Sarbach Olivier, Tiglio Manuel
Instituto de Física y Matemáticas, Universidad Michoacana de San Nicolás de Hidalgo, Edificio C-3, Ciudad Universitaria, 58040 Morelia, Michoacán Mexico.
Center for Scientific Computation and Mathematical Modeling, Department of Physics, Joint Space Sciences Institute. Maryland Center for Fundamental Physics, University of Maryland, College Park, MD 20742 USA.
Living Rev Relativ. 2012;15(1):9. doi: 10.12942/lrr-2012-9. Epub 2012 Aug 27.
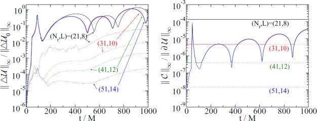
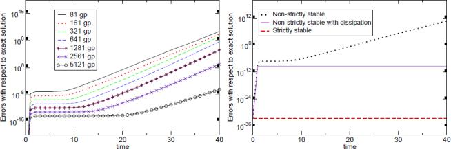
Many evolution problems in physics are described by partial differential equations on an infinite domain; therefore, one is interested in the solutions to such problems for a given initial dataset. A prominent example is the binary black-hole problem within Einstein's theory of gravitation, in which one computes the gravitational radiation emitted from the inspiral of the two black holes, merger and ringdown. Powerful mathematical tools can be used to establish qualitative statements about the solutions, such as their existence, uniqueness, continuous dependence on the initial data, or their asymptotic behavior over large time scales. However, one is often interested in computing the solution itself, and unless the partial differential equation is very simple, or the initial data possesses a high degree of symmetry, this computation requires approximation by numerical discretization. When solving such discrete problems on a machine, one is faced with a finite limit to computational resources, which leads to the replacement of the infinite continuum domain with a finite computer grid. This, in turn, leads to a discrete initial-boundary value problem. The hope is to recover, with high accuracy, the exact solution in the limit where the grid spacing converges to zero with the boundary being pushed to infinity. The goal of this article is to review some of the theory necessary to understand the continuum and discrete initial boundary-value problems arising from hyperbolic partial differential equations and to discuss its applications to numerical relativity; in particular, we present well-posed initial and initial-boundary value formulations of Einstein's equations, and we discuss multi-domain high-order finite difference and spectral methods to solve them.
物理学中的许多演化问题都由无限域上的偏微分方程描述;因此,人们关注给定初始数据集下此类问题的解。一个突出的例子是爱因斯坦引力理论中的双黑洞问题,其中要计算两个黑洞相互绕转、合并及铃宕过程中发出的引力辐射。可以使用强大的数学工具来建立关于解的定性结论,比如解的存在性、唯一性、对初始数据的连续依赖性,或者它们在大时间尺度上的渐近行为。然而,人们通常感兴趣的是计算解本身,而且除非偏微分方程非常简单,或者初始数据具有高度对称性,否则这种计算需要通过数值离散化进行近似。在机器上求解此类离散问题时,计算资源存在有限限制,这导致用有限的计算机网格代替无限的连续域。这进而导致一个离散的初边值问题。希望在网格间距收敛到零且边界被推至无穷远的极限情况下高精度地恢复精确解。本文的目的是回顾理解由双曲型偏微分方程产生的连续和离散初边值问题所需的一些理论,并讨论其在数值相对论中的应用;特别是,我们给出爱因斯坦方程适定的初值和初边值形式,并讨论求解它们的多域高阶有限差分和谱方法。