• 文献检索
  • 文档翻译
  • 深度研究
  • 学术资讯
  • Suppr Zotero 插件Zotero 插件
  • 邀请有礼
  • 套餐&价格
  • 历史记录
应用&插件
Suppr Zotero 插件Zotero 插件浏览器插件Mac 客户端Windows 客户端微信小程序
定价
高级版会员购买积分包购买API积分包
服务
文献检索文档翻译深度研究API 文档MCP 服务
关于我们
关于 Suppr公司介绍联系我们用户协议隐私条款
关注我们

Suppr 超能文献

核心技术专利:CN118964589B侵权必究
粤ICP备2023148730 号-1Suppr @ 2026

文献检索

告别复杂PubMed语法,用中文像聊天一样搜索,搜遍4000万医学文献。AI智能推荐,让科研检索更轻松。

立即免费搜索

文件翻译

保留排版,准确专业,支持PDF/Word/PPT等文件格式,支持 12+语言互译。

免费翻译文档

深度研究

AI帮你快速写综述,25分钟生成高质量综述,智能提取关键信息,辅助科研写作。

立即免费体验

结构简化的联苯康普他汀A4衍生物在体外保留了依赖于有丝分裂停滞的抗癌活性。

Structurally simplified biphenyl combretastatin A4 derivatives retain in vitro anti-cancer activity dependent on mitotic arrest.

作者信息

Tarade Daniel, Ma Dennis, Pignanelli Christopher, Mansour Fadi, Simard Daniel, van den Berg Sean, Gauld James, McNulty James, Pandey Siyaram

机构信息

Department of Chemistry and Biochemistry, University of Windsor, Windsor, Ontario, Canada.

Department of Chemistry and Chemical Biology, McMaster University, Hamilton, Ontario, Canada.

出版信息

PLoS One. 2017 Mar 2;12(3):e0171806. doi: 10.1371/journal.pone.0171806. eCollection 2017.

DOI:10.1371/journal.pone.0171806
PMID:28253265
原文链接:https://pmc.ncbi.nlm.nih.gov/articles/PMC5333808/
Abstract

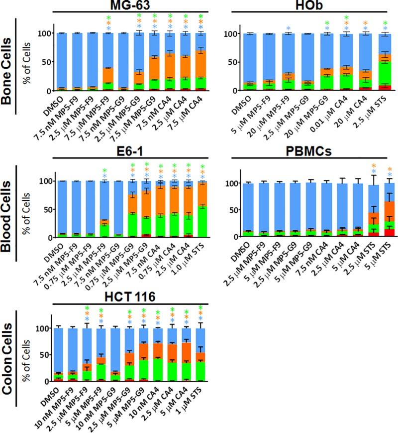
The cis-stilbene, combretastatin A4 (CA4), is a potent microtubule targeting and vascular damaging agent. Despite promising results at the pre-clinical level and extensive clinical evaluation, CA4 has yet to be approved for therapeutic use. One impediment to the development of CA4 is an inherent conformational instability about the ethylene linker, which joins two aromatic rings. We have previously published preliminary data regarding structurally simplified biphenyl derivatives of CA4, lacking an ethylene linker, which retain anti-proliferative and pro-apoptotic activity, albeit at higher doses. Our current study provides a more comprehensive evaluation regarding the anti-proliferative and pro-apoptotic properties of biphenyl CA4 derivatives in both 2D and 3D cancerous and non-cancerous cell models. Computational analysis has revealed that cytotoxicity of CA4 and biphenyl analogues correlates with predicted tubulin affinity. Additional mechanistic evaluation of the biphenyl derivatives found that their anti-cancer activity is dependent on prolonged mitotic arrest, in a similar manner to CA4. Lastly, we have shown that cancer cells deficient in the extrinsic pathway of apoptosis experience delayed cell death following treatment with CA4 or analogues. Biphenyl derivatives of CA4 represent structurally simplified analogues of CA4, which retain a similar mechanism of action. The biphenyl analogues warrant in vivo examination to evaluate their potential as vascular damaging agents.

摘要

顺式二苯乙烯,康普瑞汀A4(CA4),是一种强效的微管靶向和血管损伤剂。尽管在临床前水平取得了有前景的结果并经过了广泛的临床评估,但CA4尚未被批准用于治疗。CA4开发的一个障碍是连接两个芳香环的乙烯连接基团存在固有的构象不稳定性。我们之前已经发表了关于CA4结构简化的联苯衍生物的初步数据,这些衍生物缺乏乙烯连接基团,尽管需要更高剂量,但仍保留抗增殖和促凋亡活性。我们目前的研究对二维和三维癌细胞及非癌细胞模型中联苯CA4衍生物的抗增殖和促凋亡特性进行了更全面的评估。计算分析表明,CA4和联苯类似物的细胞毒性与预测的微管蛋白亲和力相关。对联苯衍生物的进一步机制评估发现,它们的抗癌活性与CA4类似,依赖于延长的有丝分裂停滞。最后,我们表明,凋亡外源性途径缺陷的癌细胞在用CA4或类似物处理后细胞死亡延迟。CA4的联苯衍生物代表了结构简化的CA4类似物,它们保留了相似的作用机制。联苯类似物值得进行体内研究,以评估它们作为血管损伤剂的潜力。

https://cdn.ncbi.nlm.nih.gov/pmc/blobs/4103/5333808/ce3c4acec2ce/pone.0171806.g008.jpg
https://cdn.ncbi.nlm.nih.gov/pmc/blobs/4103/5333808/2a5d02eb14b0/pone.0171806.g001.jpg
https://cdn.ncbi.nlm.nih.gov/pmc/blobs/4103/5333808/2d01cf0296c9/pone.0171806.g002.jpg
https://cdn.ncbi.nlm.nih.gov/pmc/blobs/4103/5333808/d33d49d549af/pone.0171806.g003.jpg
https://cdn.ncbi.nlm.nih.gov/pmc/blobs/4103/5333808/d27af48a220e/pone.0171806.g004.jpg
https://cdn.ncbi.nlm.nih.gov/pmc/blobs/4103/5333808/0bd3822f2f8e/pone.0171806.g005.jpg
https://cdn.ncbi.nlm.nih.gov/pmc/blobs/4103/5333808/4bf4a98d763c/pone.0171806.g006.jpg
https://cdn.ncbi.nlm.nih.gov/pmc/blobs/4103/5333808/cf73d6640587/pone.0171806.g007.jpg
https://cdn.ncbi.nlm.nih.gov/pmc/blobs/4103/5333808/ce3c4acec2ce/pone.0171806.g008.jpg
https://cdn.ncbi.nlm.nih.gov/pmc/blobs/4103/5333808/2a5d02eb14b0/pone.0171806.g001.jpg
https://cdn.ncbi.nlm.nih.gov/pmc/blobs/4103/5333808/2d01cf0296c9/pone.0171806.g002.jpg
https://cdn.ncbi.nlm.nih.gov/pmc/blobs/4103/5333808/d33d49d549af/pone.0171806.g003.jpg
https://cdn.ncbi.nlm.nih.gov/pmc/blobs/4103/5333808/d27af48a220e/pone.0171806.g004.jpg
https://cdn.ncbi.nlm.nih.gov/pmc/blobs/4103/5333808/0bd3822f2f8e/pone.0171806.g005.jpg
https://cdn.ncbi.nlm.nih.gov/pmc/blobs/4103/5333808/4bf4a98d763c/pone.0171806.g006.jpg
https://cdn.ncbi.nlm.nih.gov/pmc/blobs/4103/5333808/cf73d6640587/pone.0171806.g007.jpg
https://cdn.ncbi.nlm.nih.gov/pmc/blobs/4103/5333808/ce3c4acec2ce/pone.0171806.g008.jpg

相似文献

1
Structurally simplified biphenyl combretastatin A4 derivatives retain in vitro anti-cancer activity dependent on mitotic arrest.结构简化的联苯康普他汀A4衍生物在体外保留了依赖于有丝分裂停滞的抗癌活性。
PLoS One. 2017 Mar 2;12(3):e0171806. doi: 10.1371/journal.pone.0171806. eCollection 2017.
2
Review of Cytotoxic CA4 Analogues that Do Not Target Microtubules: Implications for CA4 Development.非靶向微管的细胞毒性CA4类似物综述:对CA4开发的启示
Mini Rev Med Chem. 2017;17(16):1507-1514. doi: 10.2174/1389557515666160509125829.
3
Synthesis and biological evaluation of carbamates derived from aminocombretastatin A-4 as vascular disrupting agents.源自氨基氧杂环丁二烯 A-4 的氨基甲酸酯类化合物作为血管破坏剂的合成及生物学评价
Eur J Med Chem. 2018 Mar 10;147:183-193. doi: 10.1016/j.ejmech.2018.01.058. Epub 2018 Feb 9.
4
Photoswitchable anticancer activity via trans-cis isomerization of a combretastatin A-4 analog.通过康普瑞汀A-4类似物的反式-顺式异构化实现的光开关抗癌活性。
Org Biomol Chem. 2016 Jan 7;14(1):40-9. doi: 10.1039/c5ob02005k. Epub 2015 Oct 27.
5
Design, synthesis, biological evaluation and cocrystal structures with tubulin of chiral β-lactam bridged combretastatin A-4 analogues as potent antitumor agents.设计、合成、生物评价及手性β-内酰胺桥连康普瑞汀 A-4 类似物与微管蛋白的共晶结构作为有效的抗肿瘤剂。
Eur J Med Chem. 2018 Jan 20;144:817-842. doi: 10.1016/j.ejmech.2017.12.004. Epub 2017 Dec 7.
6
A diaryl sulfide, sulfoxide, and sulfone bearing structural similarities to combretastatin A-4.一种与康普瑞他汀A-4结构相似的二芳基硫醚、亚砜和砜。
Eur J Med Chem. 2009 Jun;44(6):2685-8. doi: 10.1016/j.ejmech.2008.12.018. Epub 2008 Dec 25.
7
Evaluation of Anti-cancer Activity of Stilbene and Methoxydibenzo[b,f] oxepin Derivatives.评价二苯乙烯和甲氧基二苯并[b,f]氧杂卓衍生物的抗癌活性。
Curr Cancer Drug Targets. 2018;18(7):706-717. doi: 10.2174/1568009617666170623120742.
8
Synthesis and structure-activity relationships of constrained heterocyclic analogues of combretastatin A4.合成和结构活性关系的康普瑞汀 A4 的约束杂环类似物。
ChemMedChem. 2011 Sep 5;6(9):1693-705. doi: 10.1002/cmdc.201100154. Epub 2011 Jul 5.
9
A Novel Resveratrol Based Tubulin Inhibitor Induces Mitotic Arrest and Activates Apoptosis in Cancer Cells.一种新型白藜芦醇类微管蛋白抑制剂诱导癌细胞有丝分裂阻滞并激活细胞凋亡。
Sci Rep. 2016 Oct 17;6:34653. doi: 10.1038/srep34653.
10
Synthesis and bio-evaluation of novel quinolino-stilbene derivatives as potential anticancer agents.新型喹啉基-二苯乙烯衍生物作为潜在抗癌剂的合成与生物评价
Bioorg Med Chem. 2015 Dec 15;23(24):7629-40. doi: 10.1016/j.bmc.2015.11.007. Epub 2015 Nov 7.

引用本文的文献

1
New melatonin biphenyl-linked scaffold targeting colorectal cancer: design, synthesis, biological, and ADME-Tox modelling studies.靶向结直肠癌的新型褪黑素联苯连接支架:设计、合成、生物学及药物代谢动力学-毒理学建模研究
RSC Med Chem. 2025 Jul 2. doi: 10.1039/d5md00410a.
2
Design, Synthesis and Biological Evaluation of Thiazolidine-2,4-dione-biphenyl Derivatives as Anticancer Agents.噻唑烷-2,4-二酮-联苯衍生物作为抗癌剂的设计、合成及生物学评价
Asian Pac J Cancer Prev. 2025 Jan 1;26(1):101-108. doi: 10.31557/APJCP.2025.26.1.101.
3
Biphenyls in Clusiaceae: Isolation, structure diversity, synthesis and bioactivity.

本文引用的文献

1
Review of Cytotoxic CA4 Analogues that Do Not Target Microtubules: Implications for CA4 Development.非靶向微管的细胞毒性CA4类似物综述:对CA4开发的启示
Mini Rev Med Chem. 2017;17(16):1507-1514. doi: 10.2174/1389557515666160509125829.
2
Synthesis and Biological Evaluations of 1,2-Diaryl Pyrroles as Analogues of Combretastatin A-4.作为康普他汀A-4类似物的1,2-二芳基吡咯的合成及生物学评价
Chem Biol Drug Des. 2015 Dec;86(6):1541-7. doi: 10.1111/cbdd.12617. Epub 2015 Sep 25.
3
Combretastatin A-4 derived imidazoles show cytotoxic, antivascular, and antimetastatic effects based on cytoskeletal reorganisation.
藤黄科中的联苯:分离、结构多样性、合成及生物活性
Front Chem. 2022 Dec 1;10:987009. doi: 10.3389/fchem.2022.987009. eCollection 2022.
4
Characterization of Caerulomycin A as a dual-targeting anticancer agent.将 Caerulomycin A 鉴定为一种双靶向抗癌剂。
Eur J Pharmacol. 2022 May 5;922:174914. doi: 10.1016/j.ejphar.2022.174914. Epub 2022 Mar 23.
5
Photocontrol of Microtubule Dynamics and Integrity, Migration and Mitosis, by the Potent GFP-Imaging-Compatible Photoswitchable Reagents SBTubA4P and SBTub2M.强光调控微管动力学和完整性、迁移和有丝分裂,由强效 GFP 成像兼容光致开关试剂 SBTubA4P 和 SBTub2M 实现。
J Am Chem Soc. 2022 Mar 30;144(12):5614-5628. doi: 10.1021/jacs.2c01020. Epub 2022 Mar 15.
6
New Heterocyclic Combretastatin A-4 Analogs: Synthesis and Biological Activity of Styryl-2(3)-benzothiazolones.新型杂环柯里拉京A-4类似物:苯乙烯基-2(3)-苯并噻唑酮的合成与生物活性
Pharmaceuticals (Basel). 2021 Dec 20;14(12):1331. doi: 10.3390/ph14121331.
7
Design, synthesis and biological evaluation of combretastatin A-4 sulfamate derivatives as potential anti-cancer agents.作为潜在抗癌剂的康普瑞他汀A-4氨基磺酸盐衍生物的设计、合成及生物学评价
RSC Med Chem. 2021 Jun 23;12(8):1374-1380. doi: 10.1039/d0md00372g. eCollection 2021 Aug 18.
8
Discovery of novel quinoline-based analogues of combretastatin A-4 as tubulin polymerisation inhibitors with apoptosis inducing activity and potent anticancer effect.发现新型喹啉类 combretastatin A-4 类似物作为微管聚合抑制剂,具有凋亡诱导活性和强大的抗癌作用。
J Enzyme Inhib Med Chem. 2021 Dec;36(1):802-818. doi: 10.1080/14756366.2021.1899168.
9
Potent Quinoline-Containing Combretastatin A-4 Analogues: Design, Synthesis, Antiproliferative, and Anti-Tubulin Activity.强效含喹啉的康普瑞他汀A-4类似物:设计、合成、抗增殖及抗微管蛋白活性
Pharmaceuticals (Basel). 2020 Nov 15;13(11):393. doi: 10.3390/ph13110393.
10
Antiproliferative and antiinflammatory coxib-combretastatin hybrids suppress cell cycle progression and induce apoptosis of MCF7 breast cancer cells.具有抗增殖和抗炎作用的 COXIB-康普瑞汀杂合物可抑制 MCF7 乳腺癌细胞的细胞周期进程并诱导其凋亡。
Mol Divers. 2021 Nov;25(4):2307-2319. doi: 10.1007/s11030-020-10121-2. Epub 2020 Jun 30.
基于细胞骨架重组,康普瑞他汀A-4衍生的咪唑类化合物具有细胞毒性、抗血管生成和抗转移作用。
Invest New Drugs. 2015 Jun;33(3):541-54. doi: 10.1007/s10637-015-0215-9. Epub 2015 Feb 14.
4
3-(3-Hydroxy-4-methoxyphenyl)-4-(3,4,5-trimethoxyphenyl)-1,2,5-selenadiazole (G-1103), a novel combretastatin A-4 analog, induces G2/M arrest and apoptosis by disrupting tubulin polymerization in human cervical HeLa cells and fibrosarcoma HT-1080 cells.3-(3-羟基-4-甲氧基苯基)-4-(3,4,5-三甲氧基苯基)-1,2,5-硒二唑(G-1103)是一种新型的康普他汀A-4类似物,通过破坏人宫颈癌细胞HeLa和纤维肉瘤细胞HT-1080中的微管蛋白聚合来诱导G2/M期阻滞和细胞凋亡。
Chem Biol Interact. 2015 Feb 5;227:7-17. doi: 10.1016/j.cbi.2014.12.016. Epub 2014 Dec 18.
5
Antimitotic activity of structurally simplified biaryl analogs of the anticancer agents colchicine and combretastatin A4.抗癌药物秋水仙碱和康普瑞他汀A4的结构简化联芳基类似物的抗有丝分裂活性
Bioorg Med Chem Lett. 2015 Jan 1;25(1):117-21. doi: 10.1016/j.bmcl.2014.10.090. Epub 2014 Nov 11.
6
A-ring dihalogenation increases the cellular activity of combretastatin-templated tetrazoles.A环二卤化作用增强了以柯里拉京为模板的四唑类化合物的细胞活性。
ACS Med Chem Lett. 2012 Jan 19;3(3):177-81. doi: 10.1021/ml200149g. eCollection 2012 Mar 8.
7
Design, synthesis, and biological evaluation of novel pyridine-bridged analogues of combretastatin-A4 as anticancer agents.新型吡啶桥连 combretastatin-A4 类似物的设计、合成与抗癌活性评价。
J Med Chem. 2014 Apr 24;57(8):3369-81. doi: 10.1021/jm500002k. Epub 2014 Apr 7.
8
Combretastatin A-4 induces p53 mitochondrial-relocalisation independent-apoptosis in non-small lung cancer cells.康普瑞汀A-4诱导非小细胞肺癌细胞中p53线粒体重新定位的非依赖性凋亡。
Cell Biol Int. 2014 Mar;38(3):296-308. doi: 10.1002/cbin.10199. Epub 2013 Nov 14.
9
Design, synthesis, cytotoxic evaluation and tubulin inhibitory activity of 4-aryl-5-(3,4,5-trimethoxyphenyl)-2-alkylthio-1H-imidazole derivatives.4-芳基-5-(3,4,5-三甲氧基苯基)-2-烷基硫代-1H-咪唑衍生物的设计、合成、细胞毒性评价及微管蛋白抑制活性。
Bioorg Med Chem. 2013 May 15;21(10):2703-9. doi: 10.1016/j.bmc.2013.03.011. Epub 2013 Mar 21.
10
Design and synthesis of cyclopropylamide analogues of combretastatin-A4 as novel microtubule-stabilizing agents.设计并合成了 combretastatin-A4 的环丙酰胺类似物,作为新型微管稳定剂。
J Med Chem. 2013 Feb 14;56(3):685-99. doi: 10.1021/jm301864s. Epub 2013 Jan 28.