Suppr超能文献

基于遗传算法和粒子群优化混合算法的柔性制造系统中多目标自动导引车调度

Multi-objective AGV scheduling in an FMS using a hybrid of genetic algorithm and particle swarm optimization.

作者信息

Mousavi Maryam, Yap Hwa Jen, Musa Siti Nurmaya, Tahriri Farzad, Md Dawal Siti Zawiah

机构信息

Centre for Product Design and Manufacturing, Department of Mechanical Engineering, Faculty of Engineering, University of Malaya, Kuala Lumpur, Malaysia.

出版信息

PLoS One. 2017 Mar 6;12(3):e0169817. doi: 10.1371/journal.pone.0169817. eCollection 2017.

Abstract

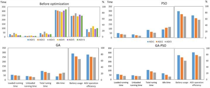
Flexible manufacturing system (FMS) enhances the firm's flexibility and responsiveness to the ever-changing customer demand by providing a fast product diversification capability. Performance of an FMS is highly dependent upon the accuracy of scheduling policy for the components of the system, such as automated guided vehicles (AGVs). An AGV as a mobile robot provides remarkable industrial capabilities for material and goods transportation within a manufacturing facility or a warehouse. Allocating AGVs to tasks, while considering the cost and time of operations, defines the AGV scheduling process. Multi-objective scheduling of AGVs, unlike single objective practices, is a complex and combinatorial process. In the main draw of the research, a mathematical model was developed and integrated with evolutionary algorithms (genetic algorithm (GA), particle swarm optimization (PSO), and hybrid GA-PSO) to optimize the task scheduling of AGVs with the objectives of minimizing makespan and number of AGVs while considering the AGVs' battery charge. Assessment of the numerical examples' scheduling before and after the optimization proved the applicability of all the three algorithms in decreasing the makespan and AGV numbers. The hybrid GA-PSO produced the optimum result and outperformed the other two algorithms, in which the mean of AGVs operation efficiency was found to be 69.4, 74, and 79.8 percent in PSO, GA, and hybrid GA-PSO, respectively. Evaluation and validation of the model was performed by simulation via Flexsim software.

摘要

柔性制造系统(FMS)通过提供快速的产品多样化能力,增强了企业对不断变化的客户需求的灵活性和响应能力。FMS的性能高度依赖于系统组件(如自动导引车(AGV))调度策略的准确性。AGV作为移动机器人,为制造工厂或仓库内的物料和货物运输提供了卓越的工业能力。在考虑运营成本和时间的同时,为AGV分配任务定义了AGV调度过程。与单目标调度不同,AGV的多目标调度是一个复杂的组合过程。在本研究的主要内容中,开发了一个数学模型,并与进化算法(遗传算法(GA)、粒子群优化(PSO)和混合GA-PSO)相结合,以优化AGV的任务调度,目标是在考虑AGV电池电量的情况下,最小化完工时间和AGV数量。对优化前后数值示例调度的评估证明了这三种算法在减少完工时间和AGV数量方面的适用性。混合GA-PSO产生了最优结果,并且优于其他两种算法,其中PSO、GA和混合GA-PSO中AGV运行效率的平均值分别为69.4%、74%和79.8%。通过Flexsim软件进行仿真,对模型进行了评估和验证。

https://cdn.ncbi.nlm.nih.gov/pmc/blobs/8c62/5338791/01a09ff0babd/pone.0169817.g001.jpg

文献AI研究员

20分钟写一篇综述,助力文献阅读效率提升50倍。

立即体验

用中文搜PubMed

大模型驱动的PubMed中文搜索引擎

马上搜索

文档翻译

学术文献翻译模型,支持多种主流文档格式。

立即体验