Deshmukh Rajesh, Sharma Lata, Tekade Muktika, Kesharwani Prashant, Trivedi Piyush, Tekade Rakesh K
Macleods Pharmaceuticals Ltd., Kachigam, Daman, 396320, India.
School of Pharmaceutical Science, Rajiv Gandhi Prodyogiki Vishwavidyalaya, Gandhi Nagar, Bhopal 462036, India.
J Biomed Res. 2016 Mar;30(2):149-161. doi: 10.7555/JBR.30.20150074. Epub 2016 Feb 20.
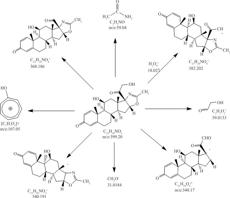
In this investigation, sensitive and reproducible methods are described for quantitative determination of deflazacort in the presence of its degradation product. The method was based on high performance liquid chromatography of the drug from its degradation product on reverse phase using Acquity UPLC BEH C18 columns (1.7 µm, 2.1 mm × 150 mm) using acetonitrile and water (40:60 V/V) at a flow rate of 0.2 mL/minute in UPLC. UV detection was performed at 240.1 nm. Deflazacort was subjected to oxidative, acid, base, hydrolytic, thermal and photolytic degradation. The drug was found to be stable in water and thermal stress, as well as under neutral stress conditions. However, forced-degradation study performed on deflazacort showed that the drug degraded under alkaline, acid and photolytic stress. The degradation products were well resolved from the main peak, which proved the stability-indicating power of the method. The developed method was validated as per ICH guidelines with respect to accuracy, linearity, limit of detection, limit of quantification, accuracy, precision and robustness, selectivity and specificity. Apart from the aforementioned, the results of the present study also emphasize the importance of isolation characterization and identification of degradant. Hence, an attempt was made to identify the degradants in deflazacort. One of the degradation products of deflazacort was isolated and identified by the FTIR, NMR and LC-MS study.
在本研究中,描述了在其降解产物存在下定量测定地夫可特的灵敏且可重复的方法。该方法基于使用Acquity UPLC BEH C18柱(1.7 µm,2.1 mm×150 mm)在反相条件下对药物及其降解产物进行高效液相色谱分析,流动相为乙腈和水(40:60 V/V),超高效液相色谱的流速为0.2 mL/分钟。在240.1 nm处进行紫外检测。地夫可特进行了氧化、酸、碱、水解、热和光解降解。发现该药物在水、热应激以及中性应激条件下是稳定的。然而,对地夫可特进行的强制降解研究表明,该药物在碱性、酸性和光解应激下会降解。降解产物与主峰得到了很好的分离,这证明了该方法的稳定性指示能力。所开发的方法按照ICH指南在准确性、线性、检测限、定量限、准确性、精密度、稳健性、选择性和特异性方面进行了验证。除上述内容外,本研究结果还强调了降解产物的分离表征和鉴定的重要性。因此,尝试鉴定地夫可特中的降解产物。通过傅里叶变换红外光谱(FTIR)、核磁共振(NMR)和液相色谱-质谱联用(LC-MS)研究分离并鉴定了地夫可特的一种降解产物。