Suppr超能文献

具有次主导序参量的完全能隙 d 波超导体中的杂质束缚态。

Impurity bound states in fully gapped d-wave superconductors with subdominant order parameters.

机构信息

Department of Physics and Astronomy, Uppsala University, Box 516, SE-751 20 Uppsala, Sweden.

出版信息

Sci Rep. 2017 Mar 10;7:44107. doi: 10.1038/srep44107.

Abstract

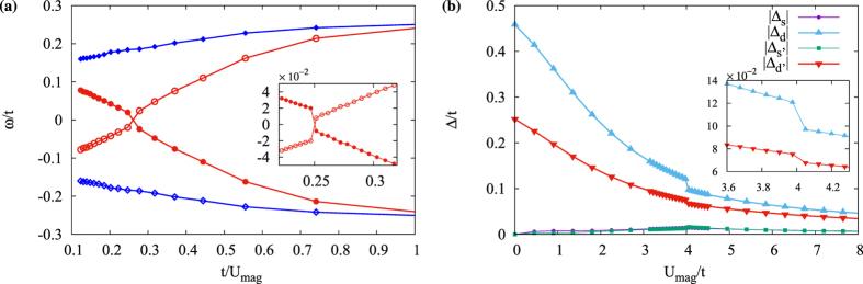
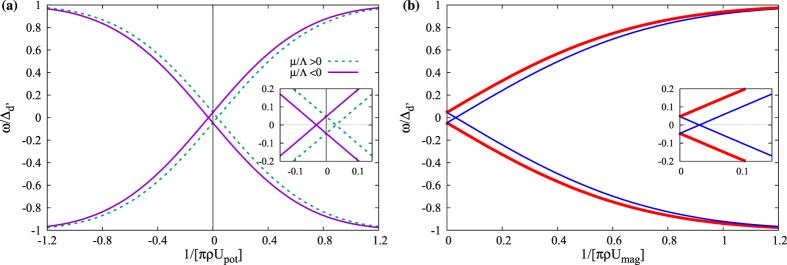
Impurities in superconductors and their induced bound states are important both for engineering novel states such as Majorana zero-energy modes and for probing bulk properties of the superconducting state. The high-temperature cuprates offer a clear advantage in a much larger superconducting order parameter, but the nodal energy spectrum of a pure d-wave superconductor only allows virtual bound states. Fully gapped d-wave superconducting states have, however, been proposed in several cuprate systems thanks to subdominant order parameters producing d + is- or d + id'-wave superconducting states. Here we study both magnetic and potential impurities in these fully gapped d-wave superconductors. Using analytical T-matrix and complementary numerical tight-binding lattice calculations, we show that magnetic and potential impurities behave fundamentally different in d + is- and d + id'-wave superconductors. In a d + is-wave superconductor, there are no bound states for potential impurities, while a magnetic impurity produces one pair of bound states, with a zero-energy level crossing at a finite scattering strength. On the other hand, a d + id'-wave symmetry always gives rise to two pairs of bound states and only produce a reachable zero-energy level crossing if the normal state has a strong particle-hole asymmetry.

摘要

超导体内的杂质及其诱导的束缚态对于工程新型态(如马约拉纳零能模)和探测超导态的体性质都非常重要。高温铜氧化物在更大的超导序参量方面具有明显优势,但纯 d 波超导体的节点能谱仅允许虚拟束缚态。然而,由于次主导序参量产生 d + is 或 d + id'-波超导态,在几个铜氧化物体系中已经提出了完全能隙的 d 波超导态。在这里,我们研究了这些完全能隙 d 波超导体中的磁性和潜在杂质。通过解析 T 矩阵和补充的数值紧束缚晶格计算,我们表明磁性和潜在杂质在 d + is 和 d + id'-波超导体中的行为有根本的不同。在 d + is 波超导体中,对于潜在杂质没有束缚态,而磁性杂质会产生一对束缚态,在有限的散射强度下会出现零能能级交叉。另一方面,d + id'-波对称性总是会产生两对束缚态,只有在正常态具有强烈的粒子-空穴非对称时才会产生可达到的零能能级交叉。

https://cdn.ncbi.nlm.nih.gov/pmc/blobs/5cdd/5345048/2b021d826355/srep44107-f1.jpg

相似文献

2
Impurity-Induced Bound States in Superconductors with Spin-Orbit Coupling.
Phys Rev Lett. 2015 Jun 12;114(23):236804. doi: 10.1103/PhysRevLett.114.236804.
3
Reverse process of usual optical analysis of boson-exchange superconductors: impurity effects on s- and d-wave superconductors.
J Phys Condens Matter. 2015 Mar 4;27(8):085701. doi: 10.1088/0953-8984/27/8/085701. Epub 2015 Feb 4.
4
Experimental evidence for s-wave pairing symmetry in superconducting Cu(x)Bi2Se3 single crystals using a scanning tunneling microscope.
Phys Rev Lett. 2013 Mar 15;110(11):117001. doi: 10.1103/PhysRevLett.110.117001. Epub 2013 Mar 12.
5
Superconducting topological surface states in the noncentrosymmetric bulk superconductor PbTaSe.
Sci Adv. 2016 Nov 23;2(11):e1600894. doi: 10.1126/sciadv.1600894. eCollection 2016 Nov.
6
Bulk evidence of anisotropic s-wave pairing with no sign change in the kagome superconductor CsVSb.
Nat Commun. 2023 Feb 7;14(1):667. doi: 10.1038/s41467-023-36273-x.
7
Disorder-induced static antiferromagnetism in cuprate superconductors.
Phys Rev Lett. 2007 Oct 5;99(14):147002. doi: 10.1103/PhysRevLett.99.147002. Epub 2007 Oct 2.
8
Index theoretic characterization of d-wave superconductors in the vortex state.
Phys Rev Lett. 2006 Apr 28;96(16):167005. doi: 10.1103/PhysRevLett.96.167005. Epub 2006 Apr 27.
9
Experimental test for subdominant superconducting phases with complex order parameters in cuprate grain boundary junctions.
Phys Rev Lett. 2002 Jan 28;88(4):047001. doi: 10.1103/PhysRevLett.88.047001. Epub 2002 Jan 9.
10
Two-Fermi-surface superconducting state and a nodal d-wave energy gap of the electron-doped Sm1.85Ce0.15CuO(4-δ) cuprate superconductor.
Phys Rev Lett. 2011 May 13;106(19):197002. doi: 10.1103/PhysRevLett.106.197002. Epub 2011 May 9.

引用本文的文献

1
Interplay between pairing and correlations in spin-polarized bound states.
Beilstein J Nanotechnol. 2018 May 7;9:1370-1380. doi: 10.3762/bjnano.9.129. eCollection 2018.

本文引用的文献

1
Orbital Picture of Yu-Shiba-Rusinov Multiplets.
Phys Rev Lett. 2016 Oct 28;117(18):186801. doi: 10.1103/PhysRevLett.117.186801. Epub 2016 Oct 24.
2
Asymptotic behavior of impurity-induced bound states in low-dimensional topological superconductors.
J Phys Condens Matter. 2016 Dec 7;28(48):485701. doi: 10.1088/0953-8984/28/48/485701. Epub 2016 Oct 5.
3
Magnetic anisotropy in Shiba bound states across a quantum phase transition.
Nat Commun. 2015 Nov 25;6:8988. doi: 10.1038/ncomms9988.
4
End States and Subgap Structure in Proximity-Coupled Chains of Magnetic Adatoms.
Phys Rev Lett. 2015 Nov 6;115(19):197204. doi: 10.1103/PhysRevLett.115.197204. Epub 2015 Nov 4.
5
Currents induced by magnetic impurities in superconductors with spin-orbit coupling.
Phys Rev Lett. 2015 Sep 11;115(11):116602. doi: 10.1103/PhysRevLett.115.116602.
6
Impurity-Induced Bound States in Superconductors with Spin-Orbit Coupling.
Phys Rev Lett. 2015 Jun 12;114(23):236804. doi: 10.1103/PhysRevLett.114.236804.
7
Topological matter. Observation of Majorana fermions in ferromagnetic atomic chains on a superconductor.
Science. 2014 Oct 31;346(6209):602-7. doi: 10.1126/science.1259327. Epub 2014 Oct 2.
8
Model evidence of a superconducting state with a full energy gap in small cuprate islands.
Phys Rev Lett. 2013 May 10;110(19):197001. doi: 10.1103/PhysRevLett.110.197001. Epub 2013 May 7.
9
Fully gapped superconductivity in a nanometre-size YBa2Cu3O(7-δ) island enhanced by a magnetic field.
Nat Nanotechnol. 2013 Jan;8(1):25-30. doi: 10.1038/nnano.2012.214. Epub 2012 Dec 9.
10
Edge properties and Majorana fermions in the proposed chiral d-wave superconducting state of doped graphene.
Phys Rev Lett. 2012 Nov 9;109(19):197001. doi: 10.1103/PhysRevLett.109.197001. Epub 2012 Nov 7.

文献AI研究员

20分钟写一篇综述,助力文献阅读效率提升50倍。

立即体验

用中文搜PubMed

大模型驱动的PubMed中文搜索引擎

马上搜索

文档翻译

学术文献翻译模型,支持多种主流文档格式。

立即体验