• 文献检索
  • 文档翻译
  • 深度研究
  • 学术资讯
  • Suppr Zotero 插件Zotero 插件
  • 邀请有礼
  • 套餐&价格
  • 历史记录
应用&插件
Suppr Zotero 插件Zotero 插件浏览器插件Mac 客户端Windows 客户端微信小程序
定价
高级版会员购买积分包购买API积分包
服务
文献检索文档翻译深度研究API 文档MCP 服务
关于我们
关于 Suppr公司介绍联系我们用户协议隐私条款
关注我们

Suppr 超能文献

核心技术专利:CN118964589B侵权必究
粤ICP备2023148730 号-1Suppr @ 2026

文献检索

告别复杂PubMed语法,用中文像聊天一样搜索,搜遍4000万医学文献。AI智能推荐,让科研检索更轻松。

立即免费搜索

文件翻译

保留排版,准确专业,支持PDF/Word/PPT等文件格式,支持 12+语言互译。

免费翻译文档

深度研究

AI帮你快速写综述,25分钟生成高质量综述,智能提取关键信息,辅助科研写作。

立即免费体验

利用RayStation备用计划将螺旋断层放射治疗转换为直线加速器计划。

Helical tomotherapy to LINAC plan conversion utilizing RayStation Fallback planning.

作者信息

Zhang Xin, Penagaricano Jose, Narayanasamy Ganesh, Corry Peter, Liu TianXiao, Sanjay Maraboyina, Paudel Nava, Morrill Steven

机构信息

Radiation Oncology Department, University of Arkansas for Medical Sciences, Little Rock, AR, 72205, USA.

Radiation Oncology Department, Houston Methodist Cancer Center, Sugar Land, TX, 77479, USA.

出版信息

J Appl Clin Med Phys. 2017 Jan;18(1):178-185. doi: 10.1002/acm2.12032.

DOI:10.1002/acm2.12032
PMID:28291935
原文链接:https://pmc.ncbi.nlm.nih.gov/articles/PMC5689873/
Abstract

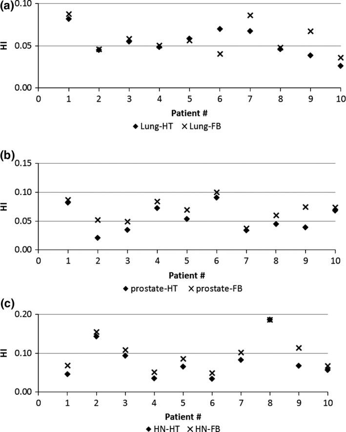
RaySearch RayStation Fallback (FB) planning module can generate an equivalent backup radiotherapy treatment plan facilitating treatment on other linear accelerators. FB plans were generated from the RayStation FB module by simulating the original plan target and organ at risk (OAR) dose distribution and delivered in various backup linear accelerators. In this study, helical tomotherapy (HT) backup plans used in Varian TrueBeam linear accelerator were generated with the RayStation FB module. About 30 patients, 10 with lung cancer, 10 with head and neck (HN) cancer, and 10 with prostate cancer, who were treated with HT, were included in this study. Intensity-modulated radiotherapy Fallback plans (FB-IMRT) were generated for all patients, and three-dimensional conformal radiotherapy Fallback plans (FB-3D) were only generated for lung cancer patients. Dosimetric comparison study evaluated FB plans based on dose coverage to 95% of the PTV volume (R), PTV mean dose (D), Paddick's conformity index (CI), and dose homogeneity index (HI). The evaluation results showed that all IMRT plans were statistically comparable between HT and FB-IMRT plans except that PTV HI was worse in prostate, and PTV R and HI were worse in HN multitarget plans for FB-IMRT plans. For 3D lung cancer plans, only the PTV R was statistically comparable between HT and FB-3D plans, PTV D was higher, and CI and HI were worse compared to HT plans. The FB plans using a TrueBeam linear accelerator generally offer better OAR sparing compared to HT plans for all the patients. In this study, all cases of FB-IMRT plans and 9/10 cases of FB-3D plans were clinically acceptable without further modification and optimization once the FB plans were generated. However, the statistical differences between HT and FB-IMRT/3D plans might not be of any clinically significant. One FB-3D plan failed to simulate the original plan without further optimization.

摘要

瑞思捷RayStation备用(FB)计划模块可生成等效的备用放射治疗计划,便于在其他直线加速器上进行治疗。FB计划是通过模拟原始计划的靶区和危及器官(OAR)剂量分布,由RayStation FB模块生成的,并在各种备用直线加速器上实施。在本研究中,使用RayStation FB模块生成了用于瓦里安TrueBeam直线加速器的螺旋断层放疗(HT)备用计划。本研究纳入了约30例接受HT治疗的患者,其中10例为肺癌患者,10例为头颈部(HN)癌患者,10例为前列腺癌患者。为所有患者生成了调强放疗备用计划(FB-IMRT),仅为肺癌患者生成了三维适形放疗备用计划(FB-3D)。剂量学比较研究基于对95%计划靶体积(R)的剂量覆盖、计划靶体积平均剂量(D)、帕迪克适形指数(CI)和剂量均匀性指数(HI)对FB计划进行评估。评估结果显示,除了前列腺癌中计划靶体积HI在FB-IMRT计划中更差,以及HN多靶区计划中FB-IMRT计划的计划靶体积R和HI更差外,所有调强放疗计划在HT和FB-IMRT计划之间在统计学上具有可比性。对于三维肺癌计划,只有计划靶体积R在HT和FB-3D计划之间在统计学上具有可比性,计划靶体积D更高,与HT计划相比,CI和HI更差。与HT计划相比,使用TrueBeam直线加速器的FB计划通常能更好地保护危及器官。在本研究中,一旦生成FB计划,所有FB-IMRT计划病例和9/10的FB-3D计划病例在临床上均可接受,无需进一步修改和优化。然而,HT与FB-IMRT/3D计划之间的统计学差异可能没有任何临床意义。一个FB-3D计划在没有进一步优化的情况下未能模拟原始计划。

https://cdn.ncbi.nlm.nih.gov/pmc/blobs/d87f/5689873/a7cf28c2b044/ACM2-18-178-g006.jpg
https://cdn.ncbi.nlm.nih.gov/pmc/blobs/d87f/5689873/e3377ea5e017/ACM2-18-178-g001.jpg
https://cdn.ncbi.nlm.nih.gov/pmc/blobs/d87f/5689873/c2e7345a3eb2/ACM2-18-178-g002.jpg
https://cdn.ncbi.nlm.nih.gov/pmc/blobs/d87f/5689873/10353b48557f/ACM2-18-178-g003.jpg
https://cdn.ncbi.nlm.nih.gov/pmc/blobs/d87f/5689873/48877f565d11/ACM2-18-178-g004.jpg
https://cdn.ncbi.nlm.nih.gov/pmc/blobs/d87f/5689873/73da82ff907b/ACM2-18-178-g005.jpg
https://cdn.ncbi.nlm.nih.gov/pmc/blobs/d87f/5689873/a7cf28c2b044/ACM2-18-178-g006.jpg
https://cdn.ncbi.nlm.nih.gov/pmc/blobs/d87f/5689873/e3377ea5e017/ACM2-18-178-g001.jpg
https://cdn.ncbi.nlm.nih.gov/pmc/blobs/d87f/5689873/c2e7345a3eb2/ACM2-18-178-g002.jpg
https://cdn.ncbi.nlm.nih.gov/pmc/blobs/d87f/5689873/10353b48557f/ACM2-18-178-g003.jpg
https://cdn.ncbi.nlm.nih.gov/pmc/blobs/d87f/5689873/48877f565d11/ACM2-18-178-g004.jpg
https://cdn.ncbi.nlm.nih.gov/pmc/blobs/d87f/5689873/73da82ff907b/ACM2-18-178-g005.jpg
https://cdn.ncbi.nlm.nih.gov/pmc/blobs/d87f/5689873/a7cf28c2b044/ACM2-18-178-g006.jpg

相似文献

1
Helical tomotherapy to LINAC plan conversion utilizing RayStation Fallback planning.利用RayStation备用计划将螺旋断层放射治疗转换为直线加速器计划。
J Appl Clin Med Phys. 2017 Jan;18(1):178-185. doi: 10.1002/acm2.12032.
2
Treatment plan comparison between helical tomotherapy and MLC-based IMRT using radiobiological measures.基于放射生物学指标的螺旋断层放射治疗与基于多叶准直器的调强放射治疗的治疗计划比较
Phys Med Biol. 2007 Jul 7;52(13):3817-36. doi: 10.1088/0031-9155/52/13/011. Epub 2007 May 31.
3
Helical tomotherapy for head and neck squamous cell carcinoma: dosimetric comparison with linear accelerator-based step-and-shoot IMRT.螺旋断层放射治疗头颈部鳞状细胞癌:与基于直线加速器的静态调强放射治疗的剂量学比较
J Cancer Res Ther. 2010 Apr-Jun;6(2):194-8. doi: 10.4103/0973-1482.65245.
4
Dosimetric comparison of helical tomotherapy and linac-IMRT treatment plans for head and neck cancer patients.螺旋断层放射治疗与直线加速器调强放射治疗对头颈部癌患者治疗计划的剂量学比较。
Med Dosim. 2010 Winter;35(4):264-8. doi: 10.1016/j.meddos.2009.08.001. Epub 2009 Sep 17.
5
Helical tomotherapy of nasopharyngeal carcinoma-any advantages over conventional intensity-modulated radiotherapy?鼻咽癌的螺旋断层放射治疗——相较于传统调强放疗有哪些优势?
Med Dosim. 2010 Summer;35(2):122-7. doi: 10.1016/j.meddos.2009.04.001. Epub 2009 May 7.
6
Dosimetric comparison of MR-linac-based IMRT and conventional VMAT treatment plans for prostate cancer.基于磁共振直线加速器的调强放射治疗(IMRT)与传统容积调强弧形治疗(VMAT)前列腺癌治疗计划的剂量学比较。
Radiat Oncol. 2021 Jul 21;16(1):133. doi: 10.1186/s13014-021-01858-7.
7
Converting Treatment Plans From Helical Tomotherapy to L-Shape Linac: Clinical Workflow and Dosimetric Evaluation.将螺旋断层放疗的治疗计划转换为L形直线加速器:临床工作流程与剂量学评估
Technol Cancer Res Treat. 2018 Jan 1;17:1533033818785279. doi: 10.1177/1533033818785279.
8
Robust optimization in lung treatment plans accounting for geometric uncertainty.考虑几何不确定性的肺部治疗计划中的稳健优化。
J Appl Clin Med Phys. 2018 May;19(3):19-26. doi: 10.1002/acm2.12291. Epub 2018 Mar 10.
9
Does helical tomotherapy improve dose conformity and normal tissue sparing compared to conventional IMRT? A dosimetric comparison in high risk prostate cancer.螺旋断层放疗与常规调强放疗相比是否能提高剂量适形度和保护正常组织?高危前列腺癌的剂量学比较。
Technol Cancer Res Treat. 2011 Apr;10(2):179-85. doi: 10.7785/tcrt.2012.500193.
10
Sparing the penile bulb in the radical irradiation of clinically localised prostate carcinoma: A comparison between MRI and CT prostatic apex definition in 3DCRT, Linac-IMRT and Helical Tomotherapy.在局部临床前列腺癌根治性放疗中保留阴茎球部:3DCRT、直线加速器-IMRT 和螺旋断层放疗中 MRI 和 CT 前列腺尖端定义的比较。
Radiother Oncol. 2009 Oct;93(1):57-63. doi: 10.1016/j.radonc.2009.04.004. Epub 2009 May 4.

引用本文的文献

1
Simulation study using the spots deletion technique in spot scanning proton beam therapy for prostate cancers.在前列腺癌的点扫描质子束治疗中使用光斑删除技术的模拟研究。
Mol Clin Oncol. 2022 Jan;16(1):25. doi: 10.3892/mco.2021.2458. Epub 2021 Dec 1.
2
Fast generation of lung SBRT plans with a knowledge-based planning model on ring-mounted Halcyon Linac.基于环装 Halcyon 直线加速器的知识型计划模型实现肺部 SBRT 计划的快速生成。
J Appl Clin Med Phys. 2021 Nov;22(11):54-63. doi: 10.1002/acm2.13427. Epub 2021 Sep 25.
3
Accurate estimation of daily delivered radiotherapy dose with an external treatment planning system.

本文引用的文献

1
Dosimetric comparison of three-dimensional conformal radiotherapy, intensity modulated radiotherapy, and helical tomotherapy for lung stereotactic body radiotherapy.三维适形放疗、调强放疗和螺旋断层放疗用于肺部立体定向体部放疗的剂量学比较
J Med Phys. 2015 Oct-Dec;40(4):190-7. doi: 10.4103/0971-6203.170792.
2
Dosimetric Comparison of Craniospinal Irradiation Using Different Tomotherapy Techniques.使用不同螺旋断层放疗技术的全脑全脊髓照射的剂量学比较
Technol Cancer Res Treat. 2015 Aug;14(4):440-6. doi: 10.1177/1533034614556932. Epub 2014 Nov 14.
3
Modeling and dosimetric performance evaluation of the RayStation treatment planning system.
使用外部治疗计划系统准确估算每日放疗剂量。
Phys Imaging Radiat Oncol. 2020 May 29;14:39-42. doi: 10.1016/j.phro.2020.05.005. eCollection 2020 Apr.
4
Converting Treatment Plans From Helical Tomotherapy to L-Shape Linac: Clinical Workflow and Dosimetric Evaluation.将螺旋断层放疗的治疗计划转换为L形直线加速器:临床工作流程与剂量学评估
Technol Cancer Res Treat. 2018 Jan 1;17:1533033818785279. doi: 10.1177/1533033818785279.
RayStation治疗计划系统的建模与剂量学性能评估
J Appl Clin Med Phys. 2014 Sep 8;15(5):4787. doi: 10.1120/jacmp.v15i5.4787.
4
Evaluation of stereotactic radiosurgery conformity indices for 170 target volumes in patients with brain metastases.评估 170 个脑转移瘤患者的立体定向放射外科适形指数。
J Appl Clin Med Phys. 2011 Feb 1;12(2):3449. doi: 10.1120/jacmp.v12i2.3449.
5
Dosimetric comparison of helical tomotherapy and linac-IMRT treatment plans for head and neck cancer patients.螺旋断层放射治疗与直线加速器调强放射治疗对头颈部癌患者治疗计划的剂量学比较。
Med Dosim. 2010 Winter;35(4):264-8. doi: 10.1016/j.meddos.2009.08.001. Epub 2009 Sep 17.
6
Pediatric craniospinal axis irradiation with helical tomotherapy: patient outcome and lack of acute pulmonary toxicity.儿童螺旋断层放射治疗颅脊柱轴:患者结局及无急性肺毒性
Int J Radiat Oncol Biol Phys. 2009 Nov 15;75(4):1155-61. doi: 10.1016/j.ijrobp.2008.12.083. Epub 2009 May 19.