Suppr超能文献

A和A₃腺苷受体在强直性脊柱炎、银屑病关节炎和类风湿关节炎患者中的作用与功能

Role and Function of A and A₃ Adenosine Receptors in Patients with Ankylosing Spondylitis, Psoriatic Arthritis and Rheumatoid Arthritis.

作者信息

Ravani Annalisa, Vincenzi Fabrizio, Bortoluzzi Alessandra, Padovan Melissa, Pasquini Silvia, Gessi Stefania, Merighi Stefania, Borea Pier Andrea, Govoni Marcello, Varani Katia

机构信息

Department of Medical Sciences, Pharmacology Unit, University of Ferrara, 44121 Ferrara, Italy.

Department of Medical Sciences, Section of Rheumatology, University of Ferrara and Azienda Ospedaliero Universitaria Sant'Anna, 44124 Cona, Ferrara, Italy.

出版信息

Int J Mol Sci. 2017 Mar 24;18(4):697. doi: 10.3390/ijms18040697.

Abstract

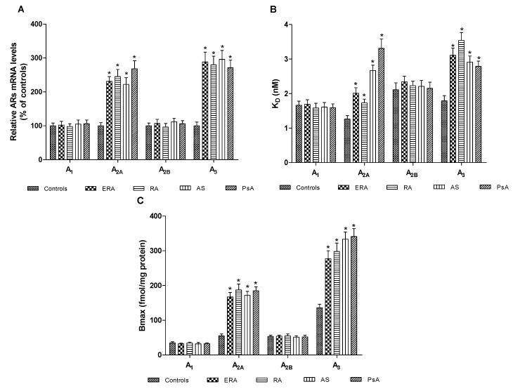
Rheumatoid arthritis (RA), ankylosing spondylitis (AS) and psoriatic arthritis (PsA) are chronic inflammatory rheumatic diseases that affect joints, causing debilitating pain and disability. Adenosine receptors (ARs) play a key role in the mechanism of inflammation, and the activation of A and A₃AR subtypes is often associated with a reduction of the inflammatory status. The aim of this study was to investigate the involvement of ARs in patients suffering from early-RA (ERA), RA, AS and PsA. Messenger RNA (mRNA) analysis and saturation binding experiments indicated an upregulation of A and A₃ARs in lymphocytes obtained from patients when compared with healthy subjects. A and A₃AR agonists inhibited nuclear factor κ-light-chain-enhancer of activated B cells (NF-κB) activation and reduced inflammatory cytokines release, such as tumor necrosis factor-α (TNF-α), interleukin (IL)-1β and IL-6. Moreover, A and A₃AR activation mediated a reduction of metalloproteinases (MMP)-1 and MMP-3. The effect of the agonists was abrogated by selective antagonists demonstrating the direct involvement of these receptor subtypes. Taken together, these data confirmed the involvement of ARs in chronic autoimmune rheumatic diseases highlighting the possibility to exploit A and A₃ARs as therapeutic targets, with the aim to limit the inflammatory responses usually associated with RA, AS and PsA.

摘要

类风湿关节炎(RA)、强直性脊柱炎(AS)和银屑病关节炎(PsA)是影响关节的慢性炎症性风湿性疾病,会导致使人虚弱的疼痛和残疾。腺苷受体(ARs)在炎症机制中起关键作用,A和A₃AR亚型的激活通常与炎症状态的减轻有关。本研究的目的是调查ARs在早期类风湿关节炎(ERA)、类风湿关节炎、强直性脊柱炎和银屑病关节炎患者中的作用。信使核糖核酸(mRNA)分析和饱和结合实验表明,与健康受试者相比,从患者获得的淋巴细胞中A和A₃ARs上调。A和A₃AR激动剂抑制活化B细胞核因子κ轻链增强子(NF-κB)的激活,并减少炎症细胞因子的释放,如肿瘤坏死因子-α(TNF-α)、白细胞介素(IL)-1β和IL-6。此外,A和A₃AR的激活介导金属蛋白酶(MMP)-1和MMP-3的减少。选择性拮抗剂消除了激动剂的作用,证明了这些受体亚型的直接参与。综上所述,这些数据证实了ARs参与慢性自身免疫性风湿性疾病,突出了将A和A₃ARs作为治疗靶点的可能性,旨在限制通常与类风湿关节炎、强直性脊柱炎和银屑病关节炎相关的炎症反应。

https://cdn.ncbi.nlm.nih.gov/pmc/blobs/12f6/5412283/6d964501e573/ijms-18-00697-g001.jpg

文献检索

告别复杂PubMed语法,用中文像聊天一样搜索,搜遍4000万医学文献。AI智能推荐,让科研检索更轻松。

立即免费搜索

文件翻译

保留排版,准确专业,支持PDF/Word/PPT等文件格式,支持 12+语言互译。

免费翻译文档

深度研究

AI帮你快速写综述,25分钟生成高质量综述,智能提取关键信息,辅助科研写作。

立即免费体验