Suppr超能文献

通过指尖触摸对木质表面的感官和情感感知。

Sensory and Emotional Perception of Wooden Surfaces through Fingertip Touch.

作者信息

Bhatta Shiv R, Tiippana Kaisa, Vahtikari Katja, Hughes Mark, Kyttä Marketta

机构信息

Department of Built Environment, School of Engineering, Aalto University Espoo, Finland.

Department of Psychology and Logopedics, Faculty of Medicine, University of Helsinki Helsinki, Finland.

出版信息

Front Psychol. 2017 Mar 13;8:367. doi: 10.3389/fpsyg.2017.00367. eCollection 2017.

Abstract

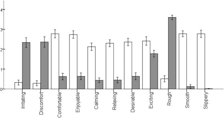
Previous studies on tactile experiences have investigated a wide range of material surfaces across various skin sites of the human body in self-touch or other touch modes. Here, we investigate whether the sensory and emotional aspects of touch are related when evaluating wooden surfaces using fingertips in the absence of other sensory modalities. Twenty participants evaluated eight different pine and oak wood surfaces, using sensory and emotional touch descriptors, through the lateral motion of active fingertip exploration. The data showed that natural and smooth wood surfaces were perceived more positively in emotional touch than coated surfaces. We highlight the importance of preserving the naturalness of the surface texture in the process of wood-surface treatment so as to improve positive touch experiences, as well as avoid negative ones. We argue that the results may offer possibilities in the design of wood-based interior products with a view to improving consumer touch experiences.

摘要

以往关于触觉体验的研究在自我触摸或其他触摸模式下,对人体不同皮肤部位的各种材料表面进行了广泛调查。在此,我们研究在没有其他感官模态的情况下,使用指尖评估木质表面时,触觉的感官和情感方面是否相关。20名参与者通过主动指尖探索的横向运动,使用感官和情感触觉描述词,对8种不同的松木和橡木表面进行了评估。数据显示,在情感触觉方面,天然且光滑的木质表面比涂层表面更受积极评价。我们强调在木材表面处理过程中保持表面纹理自然度的重要性,以改善积极的触觉体验,并避免消极体验。我们认为,这些结果可能为木质室内产品的设计提供可能性,以改善消费者的触觉体验。

https://cdn.ncbi.nlm.nih.gov/pmc/blobs/e746/5346587/b2db365519cc/fpsyg-08-00367-g0001.jpg

文献AI研究员

20分钟写一篇综述,助力文献阅读效率提升50倍。

立即体验

用中文搜PubMed

大模型驱动的PubMed中文搜索引擎

马上搜索

文档翻译

学术文献翻译模型,支持多种主流文档格式。

立即体验