Suppr超能文献

雷公藤多苷治疗IV期糖尿病肾病的临床疗效与安全性:一项Meta分析。

Clinical efficacy and safety of tripterygium glycosides in treatment of stage IV diabetic nephropathy: A meta-analysis.

作者信息

Hong Yan, Gui Zhihong, Cai Xiaoping, Lan Lejian

机构信息

Department of clinical pharmacy, The fifth Affiliated Hospital of Wenzhou Medical University, Lishui Central Hospital, Zhejiang Province 323000, PR China.

Department of nephrology, The sixth Affiliated Hospital of Wenzhou Medical University, People's Hospital of Lishui City, Zhejiang Province 323000, PR China.

出版信息

Open Med (Wars). 2016 Dec 30;11(1):611-617. doi: 10.1515/med-2016-0099. eCollection 2016.

Abstract

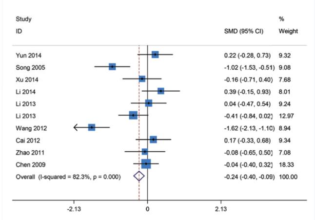
The aim of this meta-analysis was to evaluate the clinical efficacy and safety of tripterygium glycosides in treatment of stage IV diabetic nephropathy. Methods Through searching the PubMed and CNKI databases, the open published clinically controlled trials related to efficacy and safety of tripterygium glycosides in the treatment of stage IV diabetic nephropathy were collected. The pooled total efficacy, 24h urinary protein, serum creatinine and tripterygium glycosides related toxicity were calculated using Stata 11.0 software. Results Fourteen publications including 992 subjects (512 in the experimental group and 480 in the control group) were included in this study. Eight studies reported the total clinical efficacy comparing the experiment and control groups. No significant statistical heterogeneity was found in total efficacy (I=24.9%, p>0.05). Thus, the combined odds ratio (OR) was pooled by fixed effect model. The pooled OR=4.16 with its 95% CI 2.716.37 (p<0.05), which indicated the total efficacy in the experiment group, was significant higher than that of control group (p<0.05); Thirteen studies reported the post-treatment 24h urinary protein value. Statistical heterogeneity analysis indicated significant heterogeneity across studies (I=91.1%, p<0.05); that data was pooled by a random effects model. The combined standardized mean difference (SMD) was -1.55 with its 95% I -2.061.03, (p<0.05). The results indicated that post-treatment 24h urinary protein in the experiment group was significant lower than that in control group (p<0.05); Ten studies reported the post-treatment serum creatinine. Significant heterogeneity existed across those studies (I=82.3%, p<0.05). Thereafter, the data was pooled by a random effect model. The combined standardized mean difference (SMD) was -0.24 with its 95%CI -0.400.09, (p<0.05). The results indicated that the post-treatment serum creatinine in experiment group was significant lower than that of control group (p<0.05); Eight studies reported tripterygium glycoside-associated toxicity such as liver function damage, gastrointestinal reactions and menstrual disorders. With no statistical heterogeneity among the studies, the data was pooled by fixed effect model. The pooled OR=6.42 (95%CI 2.2318.48, p<0.05). The pooled results showed the tripterygium glycoside- associated toxicity incidence rate was significant higher in the experiment group than that of the control group (p<0.05); There were no publication bias for effect size of total efficacy, 24h urinary protein, and serum creatinine. However, for tripterygium glycoside-related toxicity, the publication bias was significant (t=-3.55, p<0.05). Conclusion The present evidence shows that tripterygium glycosides can improve clinical efficacy, reduce the 24h urinary protein and serum creatinine, but that they increase the tripterygium glycoside-related toxicity in treatment of stage IV diabetic nephropathy.

摘要

本荟萃分析的目的是评估雷公藤多苷治疗IV期糖尿病肾病的临床疗效及安全性。方法 通过检索PubMed和CNKI数据库,收集已公开发表的有关雷公藤多苷治疗IV期糖尿病肾病疗效和安全性的临床对照试验。使用Stata 11.0软件计算合并的总有效率、24小时尿蛋白、血清肌酐及雷公藤多苷相关毒性。结果 本研究纳入14篇文献,共992例受试者(试验组512例,对照组480例)。8项研究报告了试验组与对照组的总临床疗效比较。总有效率方面未发现显著的统计学异质性(I=24.9%,p>0.05)。因此,采用固定效应模型合并计算合并比值比(OR)。合并OR=4.16,其95%CI为2.716.37(p<0.05),表明试验组的总有效率显著高于对照组(p<0.05);13项研究报告了治疗后24小时尿蛋白值。统计异质性分析表明各研究间存在显著异质性(I=91.1%,p<0.05);采用随机效应模型合并数据。合并标准化均数差(SMD)为-1.55,其95%CI为-2.061.03(p<0.05)。结果表明试验组治疗后24小时尿蛋白显著低于对照组(p<0.05);10项研究报告了治疗后血清肌酐。这些研究间存在显著异质性(I=82.3%,p<0.05)。此后,采用随机效应模型合并数据。合并标准化均数差(SMD)为-0.24,其95%CI为-0.400.09(p<0.05)。结果表明试验组治疗后血清肌酐显著低于对照组(p<0.05);8项研究报告了雷公藤多苷相关毒性,如肝功能损害、胃肠道反应及月经紊乱。各研究间无统计学异质性,采用固定效应模型合并数据。合并OR=6.42(95%CI 2.2318.48,p<0.05)。合并结果显示试验组雷公藤多苷相关毒性发生率显著高于对照组(p<0.05);总有效率、24小时尿蛋白及血清肌酐效应量不存在发表偏倚。然而,雷公藤多苷相关毒性存在显著发表偏倚(t=-3.55,p<0.05)。结论 现有证据表明,雷公藤多苷可提高IV期糖尿病肾病的临床疗效,降低24小时尿蛋白及血清肌酐,但会增加雷公藤多苷相关毒性。

https://cdn.ncbi.nlm.nih.gov/pmc/blobs/013a/5329886/7b6ec74e16f6/j_med-2016-0099_fig_001.jpg

文献AI研究员

20分钟写一篇综述,助力文献阅读效率提升50倍。

立即体验

用中文搜PubMed

大模型驱动的PubMed中文搜索引擎

马上搜索

文档翻译

学术文献翻译模型,支持多种主流文档格式。

立即体验