Suppr超能文献

采用气动悬浮技术制备的 LaO-GaO 玻璃具有低声子能和宽光学窗口。

Low phonon energies and wideband optical windows of LaO-GaO glasses prepared using an aerodynamic levitation technique.

机构信息

Materials &Advanced Research Laboratory, Nikon Corporation, 2-15-3 Konan, Minato-ku, Tokyo 108-6290, Japan.

Graduate School of Science and Technology, Hirosaki University, 3 Bunkyo-cho, Hirosaki, Aomori 036-8561, Japan.

出版信息

Sci Rep. 2017 Mar 30;7:45600. doi: 10.1038/srep45600.

Abstract

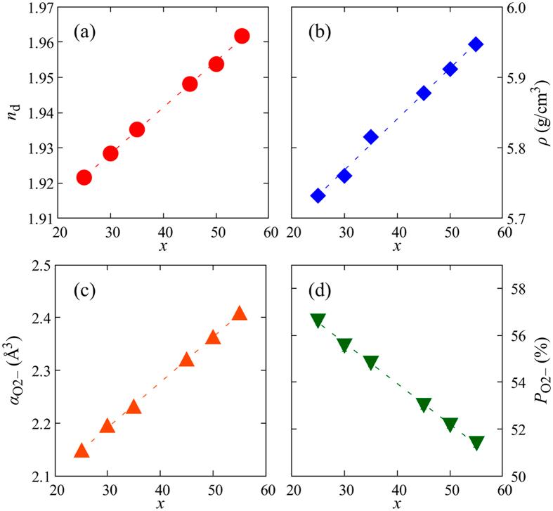
xLaO-(100 - x)GaO binary glasses were synthesized by an aerodynamic levitation technique. The glass-forming region was found to be 20 ≤ x ≤ 57. The refractive indices were greater than 1.92 and increased linearly with increasing x. The polarizabilities of oxide ions were estimated to be 2.16-2.41 Å, indicating that the glasses were highly ionic. The glasses were transparent over a very wide range from the ultraviolet to the mid-infrared region. The widest transparent window among the oxide glasses was from 270 nm to 10 μm at x = 55. From the Raman scattering spectra, a decrease in bridging oxide ions and an increase in non-bridging oxide ions were confirmed to occur with increasing LaO content. The maximum phonon energy was found to be approximately 650 cm, being one of the lowest among oxide glasses. These results show that LaO-GaO binary glasses should be promising host materials for optical applications such as lenses, windows, and filters over a very wide wavelength range.

摘要

xLaO-(100-x)GaO 二元玻璃通过气动悬浮技术合成。发现玻璃形成区域为 20≤x≤57。折射率大于 1.92,并随 x 的增加呈线性增加。氧化物离子的极化率估计为 2.16-2.41Å,表明玻璃具有高离子性。玻璃在从紫外线到中红外线的非常宽的范围内是透明的。在氧化物玻璃中,最宽的透明窗口是 x=55 时从 270nm 到 10μm。从 Raman 散射光谱中证实,随着 LaO 含量的增加,桥连氧化物离子减少,非桥连氧化物离子增加。发现最大声子能约为 650cm,是氧化物玻璃中最低的之一。这些结果表明,LaO-GaO 二元玻璃应该是光学应用(如透镜、窗口和滤波器)的有前途的基质材料,在非常宽的波长范围内都具有优异的性能。

https://cdn.ncbi.nlm.nih.gov/pmc/blobs/b286/5372357/0c60c98eea8c/srep45600-f1.jpg

文献AI研究员

20分钟写一篇综述,助力文献阅读效率提升50倍。

立即体验

用中文搜PubMed

大模型驱动的PubMed中文搜索引擎

马上搜索

文档翻译

学术文献翻译模型,支持多种主流文档格式。

立即体验