Suppr超能文献

镝铁石榴石薄膜中古斯-汉欣位移的磁控

Magnetic control of Goos-Hänchen shifts in a yttrium-iron-garnet film.

机构信息

College of Physics, Optoelectronics and Energy of Soochow University, Collaborative Innovation Center of Suzhou Nano Science and Technology, Soochow University, Suzhou 215006, China.

Jiangsu Key Laboratory of Thin Films, Soochow University, Suzhou 215006, China.

出版信息

Sci Rep. 2017 Mar 31;7:45866. doi: 10.1038/srep45866.

Abstract

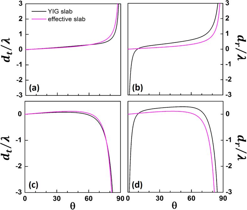
We investigate the Goos-Hänchen (GH) shifts reflected and transmitted by a yttrium-iron-garnet (YIG) film for both normal and oblique incidence. It is found that the nonreciprocity effect of the MO material does not only result in a nonvanishing reflected shift at normal incidence, but also leads to a slab-thickness-independent term which breaks the symmetry between the reflected and transmitted shifts at oblique incidence. The asymptotic behaviors of the normal-incidence reflected shift are obtained in the vicinity of two characteristic frequencies corresponding to a minimum reflectivity and a total reflection, respectively. Moreover, the coexistence of two types of negative-reflected-shift (NRS) at oblique incidence is discussed. We show that the reversal of the shifts from positive to negative values can be realized by tuning the magnitude of applied magnetic field, the frequency of incident wave and the slab thickness as well as the incident angle. In addition, we further investigate two special cases for practical purposes: the reflected shift with a total reflection and the transmitted shift with a total transmission. Numerical simulations are also performed to verify our analytical results.

摘要

我们研究了钇铁石榴石(YIG)薄膜对正入射和斜入射的古斯-汉欣(GH)位移的反射和透射。结果表明,MO 材料的非互易效应不仅导致正入射时反射位移不为零,而且导致斜入射时反射位移和透射位移之间的对称性被打破的板厚独立项。在对应于最小反射率和全反射的两个特征频率附近,获得了正入射反射位移的渐近行为。此外,还讨论了斜入射时两种类型的负反射位移(NRS)的共存。我们表明,通过调节外加磁场的大小、入射波的频率、板厚以及入射角,可以实现从正反射位移到负反射位移的反转。此外,我们还进一步研究了两个实际应用中的特殊情况:全反射时的反射位移和全透射时的透射位移。还进行了数值模拟以验证我们的分析结果。

https://cdn.ncbi.nlm.nih.gov/pmc/blobs/eab2/5374471/49de54a4688d/srep45866-f1.jpg

文献AI研究员

20分钟写一篇综述,助力文献阅读效率提升50倍。

立即体验

用中文搜PubMed

大模型驱动的PubMed中文搜索引擎

马上搜索

文档翻译

学术文献翻译模型,支持多种主流文档格式。

立即体验