Suppr超能文献

颈静脉中的Aβ水平以及脑脊液中的高分子量Aβ寡聚体水平可作为生物标志物,以指示静脉注射免疫球蛋白对阿尔茨海默病的抗淀粉样蛋白作用。

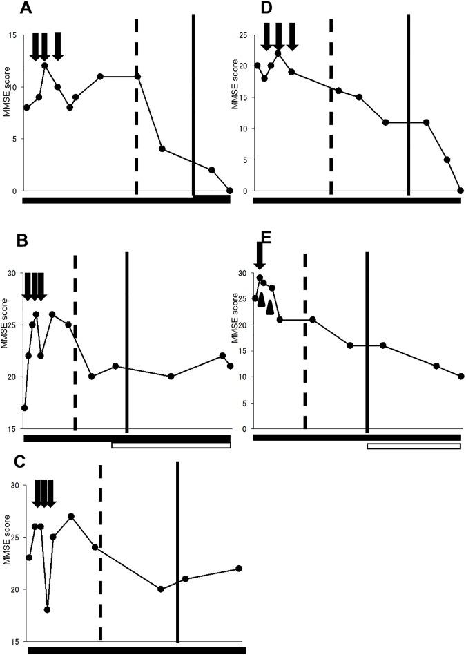
Aβ levels in the jugular vein and high molecular weight Aβ oligomer levels in CSF can be used as biomarkers to indicate the anti-amyloid effect of IVIg for Alzheimer's disease.

作者信息

Kasai Takashi, Kondo Masaki, Ishii Ryotaro, Tanaka Akihiro, Ataka Suzuka, Shimada Hiroyuki, Tomiyama Takami, Mori Hiroshi, Taylor Mark, Allsop David, Nakagawa Masanori, Mizuno Toshiki, Tokuda Takahiko

机构信息

Department of Neurology, Research Institute for Geriatrics, Kyoto Prefectural University of Medicine,Kyoto, Japan.

Department of Geriatrics and Neurology, Osaka City University graduate school of medicine, Osaka, Japan.

出版信息

PLoS One. 2017 Apr 10;12(4):e0174630. doi: 10.1371/journal.pone.0174630. eCollection 2017.

Abstract

UNLABELLED

Intravenous immunoglobulin (IVIg) has been a candidate as a potential anti-amyloid immunotherapy for Alzheimer disease (AD) because it contains anti-amyloid β (Aβ) antibodies. Although several studies with IVIg in AD have been published, changing levels of Aβ efflux from the brain, or disaggregation of Aβ species induced by immunotherapy, have not been properly investigated. Here, we carried out an open label study of therapy with IVIg in five patients with AD. We collected plasma from a peripheral vein (peripheral-plasma) and from the internal jugular vein (jugular-plasma) to estimate directly the efflux of soluble Aβ from the brain. We also measured high molecular weight (HMW) Aβ oligomers in CSF as a marker to detect disaggregated Aβ. IVIg infusions were well tolerated in the majority of cases. However, one study subject had epileptic seizures after IVIg. Levels of HMW CSF Aβ oligomers in all participants were significantly increased after IVIg. Aβ40 and Aβ42 levels in jugular-plasma were continuously or temporarily elevated after treatment in three of five patients who showed preserved cognitive function, whereas levels of those in peripheral-plasma did not correlate with reactivity to the treatment. Other conventional biomarkers including 11C-Pittsburgh compound B retention were not altered after the treatment. These findings imply that HMW Aβ oligomer levels could be a better biomarker to reflect the anti-amyloid effects of IVIg than conventional Aβ species; moreover, Aβ in jugular-plasma seems to be a more direct and precise biomarker to estimate clearance of Aβ from the brain rather than Aβ in peripheral-plasma.

TRIAL REGISTRATION

UMIN000022319.

摘要

未标注

静脉注射免疫球蛋白(IVIg)因其含有抗淀粉样β蛋白(Aβ)抗体,一直被视为治疗阿尔茨海默病(AD)的潜在抗淀粉样蛋白免疫疗法候选药物。尽管已经发表了几项关于IVIg治疗AD的研究,但免疫疗法引起的脑内Aβ外流水平变化或Aβ聚集体解聚情况尚未得到充分研究。在此,我们对5例AD患者进行了IVIg治疗的开放标签研究。我们从外周静脉(外周血浆)和颈内静脉(颈静脉血浆)采集血浆,以直接评估脑内可溶性Aβ的外流情况。我们还测量了脑脊液中高分子量(HMW)Aβ寡聚体,作为检测解聚Aβ的标志物。在大多数情况下,IVIg输注耐受性良好。然而,一名研究对象在接受IVIg治疗后出现癫痫发作。所有参与者脑脊液中HMW Aβ寡聚体水平在接受IVIg治疗后均显著升高。在5例认知功能保持的患者中,有3例患者治疗后颈静脉血浆中Aβ40和Aβ42水平持续或暂时升高,而外周血浆中这些水平与治疗反应无关。包括11C-匹兹堡化合物B滞留在内的其他传统生物标志物在治疗后未发生改变。这些发现表明,HMW Aβ寡聚体水平可能比传统Aβ种类更能反映IVIg的抗淀粉样蛋白作用;此外,颈静脉血浆中的Aβ似乎比外周血浆中的Aβ更直接、精确地反映脑内Aβ的清除情况。

试验注册

UMIN000022319。

https://cdn.ncbi.nlm.nih.gov/pmc/blobs/04aa/5386327/94efbd3ed1b7/pone.0174630.g001.jpg

相似文献

3
5
18-Month study of intravenous immunoglobulin for treatment of mild Alzheimer disease.
Neurobiol Aging. 2009 Nov;30(11):1728-36. doi: 10.1016/j.neurobiolaging.2007.12.021. Epub 2008 Feb 21.
6
Chemically treated plasma Aβ is a potential blood-based biomarker for screening cerebral amyloid deposition.
Alzheimers Res Ther. 2017 Mar 22;9(1):20. doi: 10.1186/s13195-017-0248-8.
7
A phase 3 trial of IV immunoglobulin for Alzheimer disease.
Neurology. 2017 May 2;88(18):1768-1775. doi: 10.1212/WNL.0000000000003904. Epub 2017 Apr 5.
8
Amyloid-β oligomers relate to cognitive decline in Alzheimer's disease.
J Alzheimers Dis. 2015;45(1):35-43. doi: 10.3233/JAD-142136.
9
Concentrations of antibodies against β-amyloid 40/42 monomer and oligomers in Chinese intravenous immunoglobulins.
J Pharm Biomed Anal. 2017 May 10;138:277-282. doi: 10.1016/j.jpba.2017.02.024. Epub 2017 Feb 17.

引用本文的文献

1
The Development of Pharmacological Therapies for Alzheimer's Disease.
Neurol Ther. 2021 Dec;10(2):609-626. doi: 10.1007/s40120-021-00282-z. Epub 2021 Sep 16.
3
Amyloid-β: a potential link between epilepsy and cognitive decline.
Nat Rev Neurol. 2021 Aug;17(8):469-485. doi: 10.1038/s41582-021-00505-9. Epub 2021 Jun 11.
4
The Amyloid-β Oligomer Hypothesis: Beginning of the Third Decade.
J Alzheimers Dis. 2018;64(s1):S567-S610. doi: 10.3233/JAD-179941.
5
Potential immunotherapies for traumatic brain and spinal cord injury.
Chin J Traumatol. 2018 Jun;21(3):125-136. doi: 10.1016/j.cjtee.2018.02.002. Epub 2018 Apr 18.

本文引用的文献

1
Two phase 3 trials of bapineuzumab in mild-to-moderate Alzheimer's disease.
N Engl J Med. 2014 Jan 23;370(4):322-33. doi: 10.1056/NEJMoa1304839.
2
Phase 3 trials of solanezumab for mild-to-moderate Alzheimer's disease.
N Engl J Med. 2014 Jan 23;370(4):311-21. doi: 10.1056/NEJMoa1312889.
3
Afferent and efferent immunological pathways of the brain. Anatomy, function and failure.
Brain Behav Immun. 2014 Feb;36:9-14. doi: 10.1016/j.bbi.2013.10.012. Epub 2013 Oct 18.
4
A Luminex assay detects amyloid β oligomers in Alzheimer's disease cerebrospinal fluid.
PLoS One. 2013 Jul 2;8(7):e67898. doi: 10.1371/journal.pone.0067898. Print 2013.
5
Correlation of Aβ oligomer levels in matched cerebrospinal fluid and serum samples.
Neurosci Lett. 2013 Sep 13;551:17-22. doi: 10.1016/j.neulet.2013.06.029. Epub 2013 Jun 27.
6
Intravenous immunoglobulin and Alzheimer's disease: what now?
J Neuroinflammation. 2013 Jun 5;10:70. doi: 10.1186/1742-2094-10-70.
9
Utilization of a multiple antigenic peptide as a calibration standard in the BAN50 single antibody sandwich ELISA for Aβ oligomers.
Biochem Biophys Res Commun. 2012 Jun 8;422(3):375-80. doi: 10.1016/j.bbrc.2012.04.146. Epub 2012 May 3.
10
Alzheimer mechanisms and therapeutic strategies.
Cell. 2012 Mar 16;148(6):1204-22. doi: 10.1016/j.cell.2012.02.040.

文献AI研究员

20分钟写一篇综述,助力文献阅读效率提升50倍。

立即体验

用中文搜PubMed

大模型驱动的PubMed中文搜索引擎

马上搜索

文档翻译

学术文献翻译模型,支持多种主流文档格式。

立即体验