• 文献检索
  • 文档翻译
  • 深度研究
  • 学术资讯
  • Suppr Zotero 插件Zotero 插件
  • 邀请有礼
  • 套餐&价格
  • 历史记录
应用&插件
Suppr Zotero 插件Zotero 插件浏览器插件Mac 客户端Windows 客户端微信小程序
定价
高级版会员购买积分包购买API积分包
服务
文献检索文档翻译深度研究API 文档MCP 服务
关于我们
关于 Suppr公司介绍联系我们用户协议隐私条款
关注我们

Suppr 超能文献

核心技术专利:CN118964589B侵权必究
粤ICP备2023148730 号-1Suppr @ 2026

文献检索

告别复杂PubMed语法,用中文像聊天一样搜索,搜遍4000万医学文献。AI智能推荐,让科研检索更轻松。

立即免费搜索

文件翻译

保留排版,准确专业,支持PDF/Word/PPT等文件格式,支持 12+语言互译。

免费翻译文档

深度研究

AI帮你快速写综述,25分钟生成高质量综述,智能提取关键信息,辅助科研写作。

立即免费体验

新生儿复苏时胸外按压期间的血流动力学和气体交换

Hemodynamics and gas exchange during chest compressions in neonatal resuscitation.

作者信息

Vali Payam, Chandrasekharan Praveen, Rawat Munmun, Gugino Sylvia, Koenigsknecht Carmon, Helman Justin, Mathew Bobby, Berkelhamer Sara, Nair Jayasree, Wyckoff Myra, Lakshminrusimha Satyan

机构信息

Pediatrics, UC Davis, Sacramento, California, United States of America.

Pediatrics, SUNY University at Buffalo, Buffalo, New York, United States of America.

出版信息

PLoS One. 2017 Apr 25;12(4):e0176478. doi: 10.1371/journal.pone.0176478. eCollection 2017.

DOI:10.1371/journal.pone.0176478
PMID:28441439
原文链接:https://pmc.ncbi.nlm.nih.gov/articles/PMC5404764/
Abstract

PURPOSE

Current knowledge about pulmonary/systemic hemodynamics and gas exchange during neonatal resuscitation in a model of transitioning fetal circulation with fetal shunts and fluid-filled alveoli is limited. Using a fetal lamb asphyxia model, we sought to determine whether hemodynamic or gas-exchange parameters predicted successful return of spontaneous circulation (ROSC).

METHODS

The umbilical cord was occluded in 22 lambs to induce asphyxial cardiac arrest. Following five minutes of asystole, resuscitation as per AHA-Neonatal Resuscitation Program guidelines was initiated. Hemodynamic parameters and serial arterial blood gases were assessed during resuscitation.

RESULTS

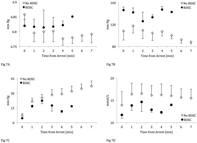
ROSC occurred in 18 lambs (82%) at a median (IQR) time of 120 (105-180) seconds. There were no differences in hemodynamic parameters at baseline and at any given time point during resuscitation between the lambs that achieved ROSC and those that did not. Blood gases at arrest prior to resuscitation were comparable between groups. However, lambs that achieved ROSC had lower PaO2, higher PaCO2, and lower lactate during resuscitation. Increase in diastolic blood pressures induced by epinephrine in lambs that achieved ROSC (11 ±4 mmHg) did not differ from those that were not resuscitated (10 ±6 mmHg). Low diastolic blood pressures were adequate to achieve ROSC.

CONCLUSIONS

Hemodynamic parameters in a neonatal lamb asphyxia model with transitioning circulation did not predict success of ROSC. Lactic acidosis, higher PaO2 and lower PaCO2 observed in the lambs that did not achieve ROSC may represent a state of inadequate tissue perfusion and/or mitochondrial dysfunction.

摘要

目的

在一个具有胎儿分流和充满液体肺泡的过渡性胎儿循环模型中,目前关于新生儿复苏期间肺/体循环血流动力学和气体交换的知识有限。我们使用胎羊窒息模型,试图确定血流动力学或气体交换参数是否能预测自主循环恢复(ROSC)成功。

方法

在22只羔羊中阻断脐带以诱导窒息性心脏骤停。心搏停止5分钟后,按照美国心脏协会新生儿复苏计划指南开始复苏。在复苏过程中评估血流动力学参数和系列动脉血气。

结果

18只羔羊(82%)实现了ROSC,中位(IQR)时间为120(105 - 180)秒。实现ROSC的羔羊与未实现ROSC的羔羊在基线和复苏期间任何给定时间点的血流动力学参数没有差异。复苏前心搏停止时的血气在两组之间具有可比性。然而,实现ROSC的羔羊在复苏期间的动脉血氧分压较低、动脉血二氧化碳分压较高且乳酸水平较低。肾上腺素诱导实现ROSC的羔羊舒张压升高(11±4 mmHg)与未复苏的羔羊(10±6 mmHg)没有差异。低舒张压足以实现ROSC。

结论

在具有过渡性循环的新生羔羊窒息模型中,血流动力学参数不能预测ROSC是否成功。在未实现ROSC的羔羊中观察到的乳酸酸中毒、较高的动脉血氧分压和较低的动脉血二氧化碳分压可能代表组织灌注不足和/或线粒体功能障碍的状态。

https://cdn.ncbi.nlm.nih.gov/pmc/blobs/7949/5404764/c73034e84a53/pone.0176478.g009.jpg
https://cdn.ncbi.nlm.nih.gov/pmc/blobs/7949/5404764/039d28969518/pone.0176478.g001.jpg
https://cdn.ncbi.nlm.nih.gov/pmc/blobs/7949/5404764/e2b08d56a5f0/pone.0176478.g002.jpg
https://cdn.ncbi.nlm.nih.gov/pmc/blobs/7949/5404764/9eb14329f4ca/pone.0176478.g003.jpg
https://cdn.ncbi.nlm.nih.gov/pmc/blobs/7949/5404764/808cadd6aafe/pone.0176478.g004.jpg
https://cdn.ncbi.nlm.nih.gov/pmc/blobs/7949/5404764/3277c80ad501/pone.0176478.g005.jpg
https://cdn.ncbi.nlm.nih.gov/pmc/blobs/7949/5404764/09ed563c43e3/pone.0176478.g006.jpg
https://cdn.ncbi.nlm.nih.gov/pmc/blobs/7949/5404764/4ca10373faf0/pone.0176478.g007.jpg
https://cdn.ncbi.nlm.nih.gov/pmc/blobs/7949/5404764/4cb32de401d0/pone.0176478.g008.jpg
https://cdn.ncbi.nlm.nih.gov/pmc/blobs/7949/5404764/c73034e84a53/pone.0176478.g009.jpg
https://cdn.ncbi.nlm.nih.gov/pmc/blobs/7949/5404764/039d28969518/pone.0176478.g001.jpg
https://cdn.ncbi.nlm.nih.gov/pmc/blobs/7949/5404764/e2b08d56a5f0/pone.0176478.g002.jpg
https://cdn.ncbi.nlm.nih.gov/pmc/blobs/7949/5404764/9eb14329f4ca/pone.0176478.g003.jpg
https://cdn.ncbi.nlm.nih.gov/pmc/blobs/7949/5404764/808cadd6aafe/pone.0176478.g004.jpg
https://cdn.ncbi.nlm.nih.gov/pmc/blobs/7949/5404764/3277c80ad501/pone.0176478.g005.jpg
https://cdn.ncbi.nlm.nih.gov/pmc/blobs/7949/5404764/09ed563c43e3/pone.0176478.g006.jpg
https://cdn.ncbi.nlm.nih.gov/pmc/blobs/7949/5404764/4ca10373faf0/pone.0176478.g007.jpg
https://cdn.ncbi.nlm.nih.gov/pmc/blobs/7949/5404764/4cb32de401d0/pone.0176478.g008.jpg
https://cdn.ncbi.nlm.nih.gov/pmc/blobs/7949/5404764/c73034e84a53/pone.0176478.g009.jpg

相似文献

1
Hemodynamics and gas exchange during chest compressions in neonatal resuscitation.新生儿复苏时胸外按压期间的血流动力学和气体交换
PLoS One. 2017 Apr 25;12(4):e0176478. doi: 10.1371/journal.pone.0176478. eCollection 2017.
2
Continuous Chest Compressions During Sustained Inflations in a Perinatal Asphyxial Cardiac Arrest Lamb Model.围产期窒息性心脏骤停羔羊模型中持续充气期间的持续胸外按压
Pediatr Crit Care Med. 2017 Aug;18(8):e370-e377. doi: 10.1097/PCC.0000000000001248.
3
Neonatal resuscitation with continuous chest compressions and high frequency percussive ventilation in preterm lambs.新生儿复苏中连续胸外按压和高频叩击通气在早产羔羊中的应用。
Pediatr Res. 2024 Jan;95(1):160-166. doi: 10.1038/s41390-023-02820-x. Epub 2023 Sep 19.
4
Assessing the influence of abdominal compression on time to return of circulation during resuscitation of asphyxiated newborn lambs: a randomised preclinical study.评估腹部按压对窒息新生羔羊复苏过程中循环恢复时间的影响:一项随机临床前研究。
Arch Dis Child Fetal Neonatal Ed. 2024 Jun 19;109(4):405-411. doi: 10.1136/archdischild-2023-326047.
5
Continuous chest compressions with asynchronous ventilations increase carotid blood flow in the perinatal asphyxiated lamb model.连续胸外按压与异步通气增加围产期窒息羔羊模型的颈总动脉血流。
Pediatr Res. 2021 Oct;90(4):752-758. doi: 10.1038/s41390-020-01306-4. Epub 2021 Jan 19.
6
Periodic acceleration (pGz) CPR in a swine model of asphyxia induced cardiac arrest. Short-term hemodynamic comparisons.在窒息诱导心脏骤停的猪模型中进行周期性加速度(pGz)心肺复苏。短期血流动力学比较。
Resuscitation. 2008 Apr;77(1):132-8. doi: 10.1016/j.resuscitation.2007.10.018. Epub 2007 Dec 31.
7
Comparison of intraosseous and intravenous epinephrine administration during resuscitation of asphyxiated newborn lambs.在窒息新生羔羊复苏过程中比较骨内和静脉内肾上腺素给药。
Arch Dis Child Fetal Neonatal Ed. 2022 May;107(3):311-316. doi: 10.1136/archdischild-2021-322638. Epub 2021 Aug 30.
8
Hemodynamic, respiratory, and perfusion parameters during asphyxia, resuscitation, and post-resuscitation in a pediatric model of cardiac arrest.在小儿心搏骤停模型中,窒息、复苏和复苏后期间的血液动力学、呼吸和灌注参数。
Intensive Care Med. 2011 Jan;37(1):147-55. doi: 10.1007/s00134-010-2006-2. Epub 2010 Sep 14.
9
Evaluation of Timing and Route of Epinephrine in a Neonatal Model of Asphyxial Arrest.窒息性心脏骤停新生儿模型中肾上腺素给药时机和途径的评估
J Am Heart Assoc. 2017 Feb 18;6(2):e004402. doi: 10.1161/JAHA.116.004402.
10
Randomized trial of oxygen weaning strategies following chest compressions during neonatal resuscitation.随机试验氧撤离策略后胸部按压新生儿复苏。
Pediatr Res. 2021 Sep;90(3):540-548. doi: 10.1038/s41390-021-01551-1. Epub 2021 May 3.

引用本文的文献

1
Continuous Chest Compressions with Asynchronous Ventilation in Asphyxiated Preterm Lambs with Asystole.窒息性心脏停搏的早产羔羊采用连续胸外按压与非同步通气
Neonatology. 2025 Aug 1:1-10. doi: 10.1159/000547332.
2
Optimal oxygen use in neonatal advanced cardiopulmonary resuscitation-a literature review.新生儿高级心肺复苏中氧气的最佳使用——文献综述
Pediatr Med. 2023 May 30;6. doi: 10.21037/pm-21-74. Epub 2022 Feb 21.
3
Direct Umbilical Vein Injection of Epinephrine with Cut-Cord Milking in an Ovine Model of Neonatal Resuscitation.

本文引用的文献

1
Plasma metabolite score correlates with Hypoxia time in a newly born piglet model for asphyxia.在新生仔猪窒息模型中,血浆代谢物评分与缺氧时间相关。
Redox Biol. 2017 Aug;12:1-7. doi: 10.1016/j.redox.2017.02.002. Epub 2017 Feb 7.
2
Continuous capnography monitoring during resuscitation in a transitional large mammalian model of asphyxial cardiac arrest.在窒息性心脏骤停的大型哺乳动物过渡模型复苏过程中进行持续二氧化碳波形图监测。
Pediatr Res. 2017 Jun;81(6):898-904. doi: 10.1038/pr.2017.26. Epub 2017 Feb 3.
3
Changes of the plasma metabolome of newly born piglets subjected to postnatal hypoxia and resuscitation with air.
在新生羊复苏模型中,经脐静脉直接注射肾上腺素并进行断脐挤血法
Children (Basel). 2024 Apr 28;11(5):527. doi: 10.3390/children11050527.
4
Femoral Occlusion during Neonatal Cardiopulmonary Resuscitation Improves Outcomes in an Ovine Model of Perinatal Cardiac Arrest.新生儿心肺复苏期间的股动脉闭塞可改善围产期心脏骤停绵羊模型的预后。
Children (Basel). 2023 Nov 13;10(11):1804. doi: 10.3390/children10111804.
5
Neonatal resuscitation with continuous chest compressions and high frequency percussive ventilation in preterm lambs.新生儿复苏中连续胸外按压和高频叩击通气在早产羔羊中的应用。
Pediatr Res. 2024 Jan;95(1):160-166. doi: 10.1038/s41390-023-02820-x. Epub 2023 Sep 19.
6
Technical feasibility of multimodal imaging in neonatal hypoxic-ischemic encephalopathy from an ovine model to a human case series.从绵羊模型到人类病例系列,多模态成像在新生儿缺氧缺血性脑病中的技术可行性。
Front Pediatr. 2023 Jun 22;11:1072663. doi: 10.3389/fped.2023.1072663. eCollection 2023.
7
Masked Randomized Trial of Epinephrine versus Vasopressin in an Ovine Model of Perinatal Cardiac Arrest.肾上腺素与血管加压素用于围产期心脏骤停绵羊模型的随机双盲试验
Children (Basel). 2023 Feb 10;10(2):349. doi: 10.3390/children10020349.
8
Inadequate Bioavailability of Intramuscular Epinephrine in a Neonatal Asphyxia Model.新生儿窒息模型中肌内注射肾上腺素的生物利用度不足。
Front Pediatr. 2022 Feb 21;10:828130. doi: 10.3389/fped.2022.828130. eCollection 2022.
9
Return of Spontaneous Circulation Depends on Cardiac Rhythm During Neonatal Cardiac Arrest in Asphyxiated Newborn Animals.窒息新生动物新生儿心脏骤停期间自主循环恢复取决于心律。
Front Pediatr. 2021 Feb 12;9:641132. doi: 10.3389/fped.2021.641132. eCollection 2021.
10
Cardiopulmonary Resuscitation of Asystolic Newborn Lambs Prior to Umbilical Cord Clamping; the Timing of Cord Clamping Matters!脐带动脉结扎前对新生儿羊羔心搏停止进行心肺复苏;脐带动脉结扎时机至关重要!
Front Physiol. 2020 Jul 30;11:902. doi: 10.3389/fphys.2020.00902. eCollection 2020.
新生仔猪出生后缺氧并进行空气复苏后血浆代谢组的变化。
Pediatr Res. 2016 Aug;80(2):284-92. doi: 10.1038/pr.2016.66. Epub 2016 Apr 7.
4
Part 13: Neonatal Resuscitation: 2015 American Heart Association Guidelines Update for Cardiopulmonary Resuscitation and Emergency Cardiovascular Care.第13部分:新生儿复苏:2015年美国心脏协会心肺复苏及心血管急救指南更新
Circulation. 2015 Nov 3;132(18 Suppl 2):S543-60. doi: 10.1161/CIR.0000000000000267.
5
Part 7: Neonatal Resuscitation: 2015 International Consensus on Cardiopulmonary Resuscitation and Emergency Cardiovascular Care Science With Treatment Recommendations (Reprint).第7部分:新生儿复苏:2015年国际心肺复苏与心血管急救科学及治疗建议共识(重印版)
Pediatrics. 2015 Nov;136 Suppl 2:S120-66. doi: 10.1542/peds.2015-3373D. Epub 2015 Oct 14.
6
Effects of chest compressions on cardiovascular and cerebral hemodynamics in asphyxiated near-term lambs.胸外按压对窒息近足月羔羊心血管和脑血流动力学的影响。
Pediatr Res. 2015 Oct;78(4):395-400. doi: 10.1038/pr.2015.117. Epub 2015 Jun 18.
7
Hemodynamic-directed cardiopulmonary resuscitation during in-hospital cardiac arrest.院内心搏骤停时的血流动力学导向心肺复苏。
Resuscitation. 2014 Aug;85(8):983-6. doi: 10.1016/j.resuscitation.2014.04.015. Epub 2014 Apr 28.
8
3:1 compression to ventilation ratio versus continuous chest compression with asynchronous ventilation in a porcine model of neonatal resuscitation.新生儿复苏猪模型中 3:1 按压通气比与非同步按压通气的比较。
Resuscitation. 2014 Feb;85(2):270-5. doi: 10.1016/j.resuscitation.2013.10.011. Epub 2013 Oct 22.
9
Perinatal asphyxia with hyperoxemia within the first hour of life is associated with moderate to severe hypoxic-ischemic encephalopathy.生后 1 小时内伴有高氧血症的围产期窒息与中重度缺氧缺血性脑病相关。
J Pediatr. 2013 Oct;163(4):949-54. doi: 10.1016/j.jpeds.2013.04.043. Epub 2013 Jun 5.
10
Medications in neonatal resuscitation: epinephrine and the search for better alternative strategies.新生儿复苏中的药物治疗:肾上腺素和寻找更好的替代策略。
Clin Perinatol. 2012 Dec;39(4):843-55. doi: 10.1016/j.clp.2012.09.005.