• 文献检索
  • 文档翻译
  • 深度研究
  • 学术资讯
  • Suppr Zotero 插件Zotero 插件
  • 邀请有礼
  • 套餐&价格
  • 历史记录
应用&插件
Suppr Zotero 插件Zotero 插件浏览器插件Mac 客户端Windows 客户端微信小程序
定价
高级版会员购买积分包购买API积分包
服务
文献检索文档翻译深度研究API 文档MCP 服务
关于我们
关于 Suppr公司介绍联系我们用户协议隐私条款
关注我们

Suppr 超能文献

核心技术专利:CN118964589B侵权必究
粤ICP备2023148730 号-1Suppr @ 2026

文献检索

告别复杂PubMed语法,用中文像聊天一样搜索,搜遍4000万医学文献。AI智能推荐,让科研检索更轻松。

立即免费搜索

文件翻译

保留排版,准确专业,支持PDF/Word/PPT等文件格式,支持 12+语言互译。

免费翻译文档

深度研究

AI帮你快速写综述,25分钟生成高质量综述,智能提取关键信息,辅助科研写作。

立即免费体验

雷帕霉素哺乳动物靶点(mTOR)通过降低丙酮酸激酶M2(PKM2)在宫颈癌细胞中的表达来调节转化生长因子-β1(TGF-β1)诱导的上皮-间质转化。

Mammalian Target of Rapamycin (mTOR) Regulates Transforming Growth Factor-β1 (TGF-β1)-Induced Epithelial-Mesenchymal Transition via Decreased Pyruvate Kinase M2 (PKM2) Expression in Cervical Cancer Cells.

作者信息

Cheng Ke-Yan, Hao Min

机构信息

Department of Obstetrics and Gynecology, The Second Hospital of Shanxi Medical University, Taiyuan, Shanxi, China (mainland).

出版信息

Med Sci Monit. 2017 Apr 27;23:2017-2028. doi: 10.12659/msm.901542.

DOI:10.12659/msm.901542
PMID:28446743
原文链接:https://pmc.ncbi.nlm.nih.gov/articles/PMC5417590/
Abstract

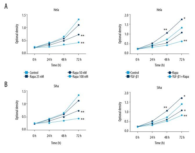
BACKGROUND Epithelial-mesenchymal transition (EMT) plays an important role in cancer tumorigenesis. Transforming growth factor β1 (TGF-β1) can induced EMT, which could increase tumor migration and invasion. Moreover, recent studies have been proven that mammalian target of rapamycin (mTOR) is a critical regulator of EMT. We investigated the mechanisms of mTOR in transforming growth factor β1 (TGF-β1)-induced EMT in cervical cancer cells. MATERIAL AND METHODS HeLa and SiHa cells were treated with 10 ng/ml TGF-β1 to induce EMT. Then, they were treated with or without rapamycin. CCK8 assay was performed to determine cell proliferation. Cell migration was detected by wound-healing assay; apoptosis was analyzed by flow cytometry; mTOR inhibitors inhibited mTOR pathway to assess the expression of E-cadherin, Vimentin STAT3, Snail2, p-p70s6k, and PKM2 expression. RESULTS TGF-β1 promoted proliferation and migration, and attenuated apoptosis in cervical carcinoma cells. Rapamycin abolished TGF-β1-induced EMT cell proliferation and migration and reversed TGF-β1-induced EMT. E-cadherin were suppressed, whereas Vimentin and PKM2 were increased in HeLa and SiHa cells after stimulation with TGF-β1. Moreover, mTOR was activated in the process of TGF-β1-induced EMT. Rapamycin inhibited the phosphorylation of p70s6k. Furthermore, inhibition of the mTOR pathway decreased PKM2 expression. CONCLUSIONS Inhibition of the mTOR pathway abolished TGF-β1-induced EMT and reduced mTOR/p70s6k signaling, which downregulated PKM2 expression. Our results provide novel mechanistic insight into the anti-tumor effects of inhibition of mTOR.

摘要

背景 上皮-间质转化(EMT)在癌症肿瘤发生过程中起重要作用。转化生长因子β1(TGF-β1)可诱导EMT,这会增加肿瘤的迁移和侵袭。此外,最近的研究已证实雷帕霉素靶蛋白(mTOR)是EMT的关键调节因子。我们研究了mTOR在转化生长因子β1(TGF-β1)诱导的宫颈癌细胞EMT中的作用机制。

材料与方法 用10 ng/ml TGF-β1处理HeLa和SiHa细胞以诱导EMT。然后,对其进行有无雷帕霉素的处理。进行CCK8检测以确定细胞增殖情况。通过伤口愈合检测法检测细胞迁移;通过流式细胞术分析细胞凋亡;mTOR抑制剂抑制mTOR通路以评估E-钙黏蛋白、波形蛋白、信号转导和转录激活因子3(STAT3)、蜗牛同源物2(Snail2)、磷酸化p70核糖体蛋白S6激酶(p-p70s6k)和丙酮酸激酶M2(PKM2)的表达。

结果 TGF-β1促进宫颈癌细胞的增殖和迁移,并减弱其凋亡。雷帕霉素消除了TGF-β1诱导的EMT细胞增殖和迁移,并逆转了TGF-β1诱导的EMT。TGF-β1刺激后,HeLa和SiHa细胞中E-钙黏蛋白受到抑制,而波形蛋白和PKM2增加。此外,mTOR在TGF-β1诱导的EMT过程中被激活。雷帕霉素抑制p70s6k的磷酸化。此外,抑制mTOR通路可降低PKM2的表达。

结论 抑制mTOR通路消除了TGF-β1诱导的EMT,并降低了mTOR/p70s6k信号传导,从而下调了PKM2的表达。我们的结果为抑制mTOR的抗肿瘤作用提供了新的机制性见解。

https://cdn.ncbi.nlm.nih.gov/pmc/blobs/fc3d/5417590/f57b1a78cf5a/medscimonit-23-2017-g009.jpg
https://cdn.ncbi.nlm.nih.gov/pmc/blobs/fc3d/5417590/95bb95e3ecfa/medscimonit-23-2017-g001.jpg
https://cdn.ncbi.nlm.nih.gov/pmc/blobs/fc3d/5417590/2b61dd94dc5c/medscimonit-23-2017-g002.jpg
https://cdn.ncbi.nlm.nih.gov/pmc/blobs/fc3d/5417590/264d2db54ec0/medscimonit-23-2017-g003.jpg
https://cdn.ncbi.nlm.nih.gov/pmc/blobs/fc3d/5417590/24c51c965546/medscimonit-23-2017-g004.jpg
https://cdn.ncbi.nlm.nih.gov/pmc/blobs/fc3d/5417590/b4d79a50c1e6/medscimonit-23-2017-g005.jpg
https://cdn.ncbi.nlm.nih.gov/pmc/blobs/fc3d/5417590/3e822d1bf268/medscimonit-23-2017-g006.jpg
https://cdn.ncbi.nlm.nih.gov/pmc/blobs/fc3d/5417590/62f9f63302ea/medscimonit-23-2017-g007.jpg
https://cdn.ncbi.nlm.nih.gov/pmc/blobs/fc3d/5417590/8b673f890513/medscimonit-23-2017-g008.jpg
https://cdn.ncbi.nlm.nih.gov/pmc/blobs/fc3d/5417590/f57b1a78cf5a/medscimonit-23-2017-g009.jpg
https://cdn.ncbi.nlm.nih.gov/pmc/blobs/fc3d/5417590/95bb95e3ecfa/medscimonit-23-2017-g001.jpg
https://cdn.ncbi.nlm.nih.gov/pmc/blobs/fc3d/5417590/2b61dd94dc5c/medscimonit-23-2017-g002.jpg
https://cdn.ncbi.nlm.nih.gov/pmc/blobs/fc3d/5417590/264d2db54ec0/medscimonit-23-2017-g003.jpg
https://cdn.ncbi.nlm.nih.gov/pmc/blobs/fc3d/5417590/24c51c965546/medscimonit-23-2017-g004.jpg
https://cdn.ncbi.nlm.nih.gov/pmc/blobs/fc3d/5417590/b4d79a50c1e6/medscimonit-23-2017-g005.jpg
https://cdn.ncbi.nlm.nih.gov/pmc/blobs/fc3d/5417590/3e822d1bf268/medscimonit-23-2017-g006.jpg
https://cdn.ncbi.nlm.nih.gov/pmc/blobs/fc3d/5417590/62f9f63302ea/medscimonit-23-2017-g007.jpg
https://cdn.ncbi.nlm.nih.gov/pmc/blobs/fc3d/5417590/8b673f890513/medscimonit-23-2017-g008.jpg
https://cdn.ncbi.nlm.nih.gov/pmc/blobs/fc3d/5417590/f57b1a78cf5a/medscimonit-23-2017-g009.jpg

相似文献

1
Mammalian Target of Rapamycin (mTOR) Regulates Transforming Growth Factor-β1 (TGF-β1)-Induced Epithelial-Mesenchymal Transition via Decreased Pyruvate Kinase M2 (PKM2) Expression in Cervical Cancer Cells.雷帕霉素哺乳动物靶点(mTOR)通过降低丙酮酸激酶M2(PKM2)在宫颈癌细胞中的表达来调节转化生长因子-β1(TGF-β1)诱导的上皮-间质转化。
Med Sci Monit. 2017 Apr 27;23:2017-2028. doi: 10.12659/msm.901542.
2
Metformin Inhibits TGF-β1-Induced Epithelial-to-Mesenchymal Transition via PKM2 Relative-mTOR/p70s6k Signaling Pathway in Cervical Carcinoma Cells.二甲双胍通过PKM2相关的mTOR/p70s6k信号通路抑制人宫颈癌细胞中TGF-β1诱导的上皮-间质转化
Int J Mol Sci. 2016 Nov 30;17(12):2000. doi: 10.3390/ijms17122000.
3
Aspirin-triggered resolvin D1 inhibits TGF-β1-induced EMT through the inhibition of the mTOR pathway by reducing the expression of PKM2 and is closely linked to oxidative stress.阿司匹林触发的消退素D1通过降低丙酮酸激酶M2(PKM2)的表达抑制mTOR途径,从而抑制转化生长因子-β1(TGF-β1)诱导的上皮-间质转化(EMT),且与氧化应激密切相关。
Int J Mol Med. 2016 Oct;38(4):1235-42. doi: 10.3892/ijmm.2016.2721. Epub 2016 Aug 29.
4
Inhibition of mTOR ameliorates bleomycin-induced pulmonary fibrosis by regulating epithelial-mesenchymal transition.雷帕霉素抑制上皮间质转化改善博来霉素诱导的肺纤维化。
Biochem Biophys Res Commun. 2018 Jun 12;500(4):839-845. doi: 10.1016/j.bbrc.2018.04.148. Epub 2018 May 2.
5
Transforming Growth Factor β1-induced Apoptosis in Podocytes via the Extracellular Signal-regulated Kinase-Mammalian Target of Rapamycin Complex 1-NADPH Oxidase 4 Axis.转化生长因子β1通过细胞外信号调节激酶-雷帕霉素复合物1-烟酰胺腺嘌呤二核苷酸磷酸氧化酶4轴诱导足细胞凋亡。
J Biol Chem. 2015 Dec 25;290(52):30830-42. doi: 10.1074/jbc.M115.703116. Epub 2015 Nov 12.
6
Curcumin reverses the epithelial-mesenchymal transition of pancreatic cancer cells by inhibiting the Hedgehog signaling pathway.姜黄素通过抑制 Hedgehog 信号通路逆转胰腺癌细胞的上皮-间充质转化。
Oncol Rep. 2013 Jun;29(6):2401-7. doi: 10.3892/or.2013.2385. Epub 2013 Apr 4.
7
Resveratrol suppresses epithelial-to-mesenchymal transition in colorectal cancer through TGF-β1/Smads signaling pathway mediated Snail/E-cadherin expression.白藜芦醇通过TGF-β1/Smads信号通路介导的Snail/E-钙黏蛋白表达抑制结直肠癌上皮-间质转化。
BMC Cancer. 2015 Mar 5;15:97. doi: 10.1186/s12885-015-1119-y.
8
Curcumin Suppresses Epithelial-Mesenchymal Transition of Renal Tubular Epithelial Cells through the Inhibition of Akt/mTOR Pathway.姜黄素通过抑制Akt/mTOR信号通路抑制肾小管上皮细胞的上皮-间质转化
Biol Pharm Bull. 2017 Jan 1;40(1):17-24. doi: 10.1248/bpb.b16-00364. Epub 2016 Nov 8.
9
Metformin Inhibits Epithelial-to-Mesenchymal Transition of Keloid Fibroblasts via the HIF-1α/PKM2 Signaling Pathway.二甲双胍通过 HIF-1α/PKM2 信号通路抑制瘢痕疙瘩成纤维细胞的上皮间质转化。
Int J Med Sci. 2019 Jun 10;16(7):960-966. doi: 10.7150/ijms.32157. eCollection 2019.
10
Sildenafil Inhibits the Growth and Epithelial-to-mesenchymal Transition of Cervical Cancer via the TGF-β1/Smad2/3 Pathway.西地那非通过 TGF-β1/Smad2/3 通路抑制宫颈癌的生长和上皮间质转化。
Curr Cancer Drug Targets. 2023;23(2):145-158. doi: 10.2174/1568009622666220816114543.

引用本文的文献

1
The Fanconi Anemia Pathway Inhibits mTOR Signaling and Prevents Accelerated Translation in Head and Neck Cancer Cells.范可尼贫血通路抑制mTOR信号传导并防止头颈癌细胞中的翻译加速。
Cancers (Basel). 2025 Aug 6;17(15):2583. doi: 10.3390/cancers17152583.
2
mTORC1 and STAT3 signaling are indispensable for in vitro TGFβ1-dependent three-dimensional (3D) tendon constructs.mTORC1和STAT3信号传导对于体外依赖转化生长因子β1(TGFβ1)的三维(3D)肌腱构建体而言不可或缺。
BMB Rep. 2025 Jun;58(6):257-263.
3
The Role of Cytokines in Epithelial-Mesenchymal Transition in Gynaecological Cancers: A Systematic Review.

本文引用的文献

1
TGFβ1-Mediated SMAD3 Enhances PD-1 Expression on Antigen-Specific T Cells in Cancer.转化生长因子β1介导的SMAD3增强癌症中抗原特异性T细胞上的程序性死亡受体1表达。
Cancer Discov. 2016 Dec;6(12):1366-1381. doi: 10.1158/2159-8290.CD-15-1347. Epub 2016 Sep 28.
2
BIX02189 inhibits TGF-β1-induced lung cancer cell metastasis by directly targeting TGF-β type I receptor.BIX02189 通过直接靶向 TGF-β Ⅰ型受体抑制 TGF-β1 诱导的肺癌细胞转移。
Cancer Lett. 2016 Oct 28;381(2):314-22. doi: 10.1016/j.canlet.2016.08.010. Epub 2016 Aug 16.
3
Targeting Transforming Growth Factor-Beta1 (TGF-β1) Inhibits Tumorigenesis of Anaplastic Thyroid Carcinoma Cells Through ERK1/2-NFκkB-PUMA Signaling.
细胞因子在妇科癌症上皮间质转化中的作用:系统评价。
Cells. 2023 Jan 26;12(3):416. doi: 10.3390/cells12030416.
4
Solid Organ Transplantation Is Associated with an Increased Rate of Mismatch Repair Deficiency and PIK3CA Mutations in Colorectal Cancer.实体器官移植与结直肠癌中错配修复缺陷和 PIK3CA 突变的发生率增加有关。
Curr Oncol. 2022 Dec 21;30(1):75-84. doi: 10.3390/curroncol30010006.
5
How can aging be reversed? Exploring rejuvenation from a damage-based perspective.衰老如何逆转?从基于损伤的角度探索年轻化。
Adv Genet (Hoboken). 2020 Aug 10;1(1):e10025. doi: 10.1002/ggn2.10025. eCollection 2020 Dec.
6
TGF-β signaling in the tumor metabolic microenvironment and targeted therapies.肿瘤代谢微环境中的 TGF-β 信号转导与靶向治疗。
J Hematol Oncol. 2022 Sep 17;15(1):135. doi: 10.1186/s13045-022-01349-6.
7
Sildenafil Inhibits the Growth and Epithelial-to-mesenchymal Transition of Cervical Cancer via the TGF-β1/Smad2/3 Pathway.西地那非通过 TGF-β1/Smad2/3 通路抑制宫颈癌的生长和上皮间质转化。
Curr Cancer Drug Targets. 2023;23(2):145-158. doi: 10.2174/1568009622666220816114543.
8
Reciprocal Interactions between Fibroblast and Pancreatic Neuroendocrine Tumor Cells: Putative Impact of the Tumor Microenvironment.成纤维细胞与胰腺神经内分泌肿瘤细胞之间的相互作用:肿瘤微环境的潜在影响
Cancers (Basel). 2022 Jul 18;14(14):3481. doi: 10.3390/cancers14143481.
9
Comprehensive Molecular Landscape of Cetuximab Resistance in Head and Neck Cancer Cell Lines.头颈部癌细胞系中西妥昔单抗耐药的全面分子特征
Cells. 2022 Jan 4;11(1):154. doi: 10.3390/cells11010154.
10
Infection by High-Risk Human Papillomaviruses, Epithelial-to-Mesenchymal Transition and Squamous Pre-Malignant or Malignant Lesions of the Uterine Cervix: A Series of Chained Events?高危型人乳头瘤病毒感染、上皮-间质转化与子宫颈鳞状前病变或恶性病变:一系列连锁事件?
Int J Mol Sci. 2021 Dec 17;22(24):13543. doi: 10.3390/ijms222413543.
靶向转化生长因子-β1(TGF-β1)通过ERK1/2-NFκB-PUMA信号通路抑制间变性甲状腺癌细胞的肿瘤发生。
Med Sci Monit. 2016 Jun 30;22:2267-77. doi: 10.12659/msm.898702.
4
Comparative Metabolomic Profiling of Hepatocellular Carcinoma Cells Treated with Sorafenib Monotherapy vs. Sorafenib-Everolimus Combination Therapy.索拉非尼单药治疗与索拉非尼-依维莫司联合治疗的肝细胞癌细胞的比较代谢组学分析
Med Sci Monit. 2015 Jun 20;21:1781-91. doi: 10.12659/MSM.894669.
5
Role of pyruvate kinase M2 in transcriptional regulation leading to epithelial-mesenchymal transition.丙酮酸激酶M2在导致上皮-间质转化的转录调控中的作用。
Proc Natl Acad Sci U S A. 2014 Oct 28;111(43):15526-31. doi: 10.1073/pnas.1407717111. Epub 2014 Oct 13.
6
Effect of mTOR inhibitors in nude mice with endometrial carcinoma and variable PTEN expression status.mTOR抑制剂对不同PTEN表达状态的子宫内膜癌裸鼠的影响。
Med Sci Monit Basic Res. 2014 Sep 30;20:146-52. doi: 10.12659/MSMBR.892514.
7
Signaling pathway cooperation in TGF-β-induced epithelial-mesenchymal transition.转化生长因子-β诱导的上皮-间质转化中的信号通路协同作用。
Curr Opin Cell Biol. 2014 Dec;31:56-66. doi: 10.1016/j.ceb.2014.09.001. Epub 2014 Sep 18.
8
Loss of SNAIL inhibits cellular growth and metabolism through the miR-128-mediated RPS6KB1/HIF-1α/PKM2 signaling pathway in prostate cancer cells.SNAIL缺失通过miR-128介导的RPS6KB1/HIF-1α/PKM2信号通路抑制前列腺癌细胞的细胞生长和代谢。
Tumour Biol. 2014 Sep;35(9):8543-50. doi: 10.1007/s13277-014-2057-z. Epub 2014 May 25.
9
The dual PI3K/mTOR inhibitor NVP-BEZ235 prevents epithelial-mesenchymal transition induced by hypoxia and TGF-β1.双重PI3K/mTOR抑制剂NVP-BEZ235可预防缺氧和TGF-β1诱导的上皮-间质转化。
Eur J Pharmacol. 2014 Apr 15;729:45-53. doi: 10.1016/j.ejphar.2014.02.011. Epub 2014 Feb 20.
10
Molecular mechanisms of epithelial-mesenchymal transition.上皮-间质转化的分子机制。
Nat Rev Mol Cell Biol. 2014 Mar;15(3):178-96. doi: 10.1038/nrm3758.