Mihajlovic Marko, Staropoli Mariapaola, Appavou Marie-Sousai, Wyss Hans M, Pyckhout-Hintzen Wim, Sijbesma Rint P
Laboratory of Macromolecular and Organic Chemistry, Department of Chemical Engineering and Chemistry, Institute for Complex Molecular Systems, and Department of Mechanical Engineering, Eindhoven University of Technology, P.O. Box 513, 5600 MB Eindhoven, The Netherlands.
JCNS-1 and ICS-1, Forschungszentrum Jülich GmbH, Leo-Brandt-Straße, 52425 Jülich, Germany.
Macromolecules. 2017 Apr 25;50(8):3333-3346. doi: 10.1021/acs.macromol.7b00319. Epub 2017 Apr 5.
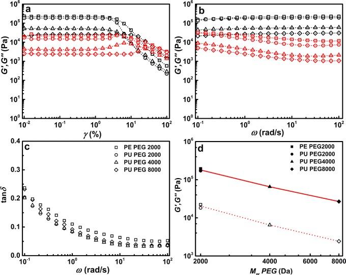
We report the preparation and structural and mechanical characterization of a tough supramolecular hydrogel, based exclusively on hydrophobic association. The system consists of a multiblock, segmented copolymer of hydrophilic poly(ethylene glycol) (PEG) and hydrophobic dimer fatty acid (DFA) building blocks. A series of copolymers containing 2K, 4K, and 8K PEG were prepared. Upon swelling in water, a network is formed by self-assembly of hydrophobic DFA units in micellar domains, which act as stable physical cross-link points. The resulting hydrogels are noneroding and contain 75-92 wt % of water at swelling equilibrium. Small-angle neutron scattering (SANS) measurements showed that the aggregation number of micelles ranges from 2 × 10 to 6 × 10 DFA units, increasing with PEG molecular weight. Mechanical characterization indicated that the hydrogel containing PEG 2000 is mechanically very stable and tough, possessing a tensile toughness of 4.12 MJ/m. The high toughness, processability, and ease of preparation make these hydrogels very attractive for applications where mechanical stability and load bearing features of soft materials are required.
我们报道了一种仅基于疏水缔合的坚韧超分子水凝胶的制备及其结构和力学表征。该体系由亲水性聚乙二醇(PEG)和疏水性二聚脂肪酸(DFA)构建块组成的多嵌段、分段共聚物构成。制备了一系列含有2K、4K和8K PEG的共聚物。在水中溶胀时,疏水DFA单元在胶束域中自组装形成网络,这些胶束域充当稳定的物理交联点。所得水凝胶不侵蚀,在溶胀平衡时含有75 - 92 wt%的水。小角中子散射(SANS)测量表明,胶束的聚集数范围为2×10至6×10个DFA单元,随PEG分子量增加而增加。力学表征表明,含有PEG 2000的水凝胶在力学上非常稳定且坚韧,拉伸韧性为4.12 MJ/m³。高韧性、可加工性和易于制备使得这些水凝胶对于需要软材料具有机械稳定性和承载特性的应用非常有吸引力。