Suppr超能文献

此外,在覆膜滴灌施肥棉田中,添加硝吡啉可减少一氧化二氮排放并提高氮素利用效率。

Nitrapyrin addition mitigates nitrous oxide emissions and raises nitrogen use efficiency in plastic-film-mulched drip-fertigated cotton field.

作者信息

Liu Tao, Liang Yongchao, Chu Guixin

机构信息

The Key Laboratory of Oasis Eco-agriculture, Xinjiang Production and Construction group, College of Agriculture, Shihezi University, Shihezi, P. R. China.

Key Laboratory of Environment Remediation and Ecological Health, Ministry of Education, College of Environmental & Resource Sciences, Zhejiang University, Hangzhou, P. R. China.

出版信息

PLoS One. 2017 May 8;12(5):e0176305. doi: 10.1371/journal.pone.0176305. eCollection 2017.

Abstract

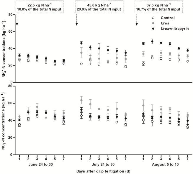
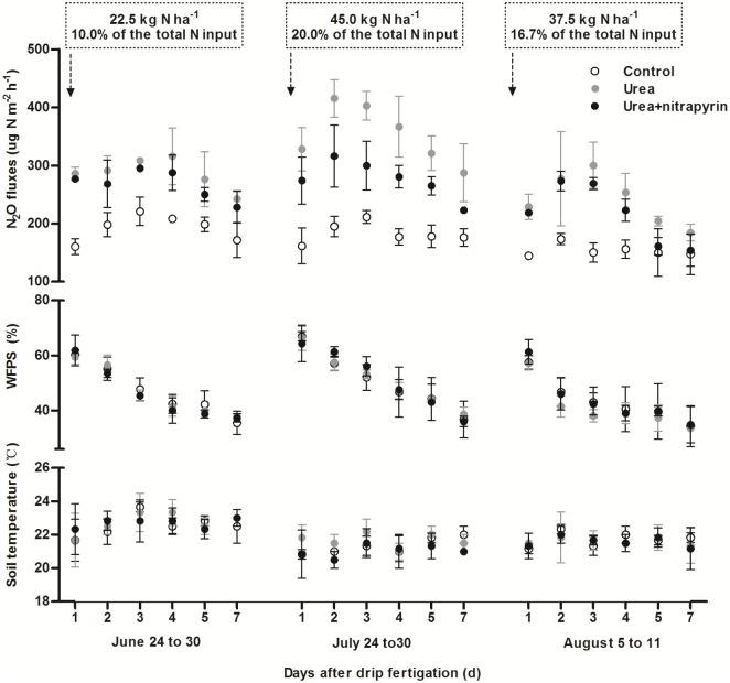
Nitrification inhibitors (NIs) have been used extensively to reduce nitrogen losses and increase crop nitrogen nutrition. However, information is still scant regarding the influence of NIs on nitrogen transformation, nitrous oxide (N2O) emission and nitrogen utilization in plastic-film-mulched calcareous soil under high frequency drip-fertigated condition. Therefore, a field trial was conducted to evaluate the effect of nitrapyrin (2-chloro-6-(trichloromethyl)-pyridine) on soil mineral nitrogen (N) transformation, N2O emission and nitrogen use efficiency (NUE) in a drip-fertigated cotton-growing calcareous field. Three treatments were established: control (no N fertilizer), urea (225 kg N ha-1) and urea+nitrapyrin (225 kg N ha-1+2.25 kg nitrapyrin ha-1). Compared with urea alone, urea plus nitrapyrin decreased the average N2O emission fluxes by 6.6-21.8% in June, July and August significantly in a drip-fertigation cycle. Urea application increased the seasonal cumulative N2O emission by 2.4 kg N ha-1 compared with control, and nitrapyrin addition significantly mitigated the seasonal N2O emission by 14.3% compared with urea only. During the main growing season, the average soil ammonium nitrogen (NH4+-N) concentration was 28.0% greater and soil nitrate nitrogen (NO3--N) concentration was 13.8% less in the urea+nitrapyrin treatment than in the urea treatment. Soil NO3--N and water-filled pore space (WFPS) were more closely correlated than soil NH4+-N with soil N2O fluxes under drip-fertigated condition (P<0.001). Compared with urea alone, urea plus nitrapyrin reduced the seasonal N2O emission factor (EF) by 32.4% while increasing nitrogen use efficiency by 10.7%. The results demonstrated that nitrapyrin addition significantly inhibited soil nitrification and maintained more NH4+-N in soil, mitigated N2O losses and improved nitrogen use efficiency in plastic-film-mulched calcareous soil under high frequency drip-fertigated condition.

摘要

硝化抑制剂(NIs)已被广泛用于减少氮素损失并提高作物氮素营养水平。然而,关于在高频滴灌施肥条件下,硝化抑制剂对覆膜石灰性土壤中氮素转化、一氧化二氮(N₂O)排放及氮素利用的影响,相关信息仍然匮乏。因此,开展了一项田间试验,以评估在滴灌施肥的石灰性棉田,使用硝吡啉(2-氯-6-(三氯甲基)吡啶)对土壤矿质氮(N)转化、N₂O排放及氮素利用效率(NUE)的影响。设置了三个处理:对照(不施氮肥)、尿素(225 kg N·ha⁻¹)和尿素 + 硝吡啉(225 kg N·ha⁻¹ + 2.25 kg硝吡啉·ha⁻¹)。与单施尿素相比,在滴灌施肥周期内,尿素加硝吡啉在6月、7月和8月显著降低了平均N₂O排放通量6.6% - 21.8%。与对照相比,施用尿素使季节性累积N₂O排放量增加了2.4 kg N·ha⁻¹,而添加硝吡啉相比仅施尿素显著减少了14.3%的季节性N₂O排放。在主要生长季节,尿素 + 硝吡啉处理的土壤铵态氮(NH₄⁺-N)平均浓度比尿素处理高28.0%,土壤硝态氮(NO₃⁻-N)浓度低13.8%。在滴灌施肥条件下,土壤NO₃⁻-N和土壤充水孔隙率(WFPS)与土壤N₂O通量的相关性比土壤NH₄⁺-N更紧密(P<0.001)。与单施尿素相比,尿素加硝吡啉降低了32.4%的季节性N₂O排放系数(EF),同时提高了10.7%的氮素利用效率。结果表明,在高频滴灌施肥条件下,添加硝吡啉显著抑制了覆膜石灰性土壤中的硝化作用,使土壤中保持了更多的NH₄⁺-N,减少了N₂O损失并提高了氮素利用效率。

https://cdn.ncbi.nlm.nih.gov/pmc/blobs/2444/5421752/d5900b7c736d/pone.0176305.g001.jpg

文献AI研究员

20分钟写一篇综述,助力文献阅读效率提升50倍。

立即体验

用中文搜PubMed

大模型驱动的PubMed中文搜索引擎

马上搜索

文档翻译

学术文献翻译模型,支持多种主流文档格式。

立即体验