Pantho Ahmed F, Price Mason, Ashraf Ahm Zuberi, Wajid Umaima, Khansari Maryam Emami, Jahan Afsana, Afroze Syeda H, Rhaman Md Mhahabubur, Johnson Corey R, Kuehl Thomas J, Hossain Md Alamgir, Uddin Mohammad Nasir
Department of Biochemistry, University of Texas at Austin, Austin, TX 78712, USA.
Department of Biology, Angelo State University, San Angelo, TX 76904, USA.
Int J Environ Res Public Health. 2017 May 11;14(5):517. doi: 10.3390/ijerph14050517.
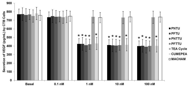
The cytotrophoblast (CTB) cells of the human placenta have membrane receptors that bind certain cardiotonic steroids (CTS) found in blood plasma. One of these, marinobufagenin, is a key factor in the etiology of preeclampsia. Herein, we used synthetic receptors (SR) to study their effectiveness on the angiogenic profile of human first trimester CTB cells. The humanextravillous CTB cells (Sw.71) used in this study were derived from first trimester chorionic villus tissue. Culture media of CTB cells treated with ≥1 nM SR level revealed sFlt-1 (Soluble fms-like tyrosine kinase-1) was significantly increased while VEGF (vascular endothelial growth factor) was significantly decreased in the culture media (* < 0.05 for each) The AT₂ receptor (Angiotensin II receptor type 2) expression was significantly upregulated in ≥1 nM SR-treated CTB cells as compared to basal; however, the AT₁ (Angiotensin II receptor, type 1) and VEGFR-1 (vascular endothelial growth factor receptor 1) receptor expression was significantly downregulated (* < 0.05 for each). Our results show that the anti-proliferative and anti-angiogenic effects of SR on CTB cells are similar to the effects of CTS. The observed anti angiogenic activity of SR on CTB cells demonstrates that the functionalized-urea/thiourea molecules may be useful as potent inhibitors to prevent CTS-induced impairment of CTB cells.
人胎盘的细胞滋养层(CTB)细胞具有膜受体,可结合血浆中发现的某些强心甾体(CTS)。其中之一,海蟾蜍精,是先兆子痫病因中的关键因素。在此,我们使用合成受体(SR)来研究它们对人孕早期CTB细胞血管生成谱的影响。本研究中使用的人绒毛外CTB细胞(Sw.71)来源于孕早期绒毛膜绒毛组织。用≥1 nM SR水平处理的CTB细胞培养基显示,培养基中可溶性Fms样酪氨酸激酶-1(sFlt-1)显著增加,而血管内皮生长因子(VEGF)显著降低(各*<0.05)。与基础水平相比,≥1 nM SR处理的CTB细胞中血管紧张素II 2型受体(AT₂受体)表达显著上调;然而,血管紧张素II 1型受体(AT₁)和血管内皮生长因子受体1(VEGFR-1)的受体表达显著下调(各*<0.05)。我们的结果表明,SR对CTB细胞的抗增殖和抗血管生成作用与CTS的作用相似。观察到的SR对CTB细胞的抗血管生成活性表明,功能化的尿素/硫脲分子可能作为有效的抑制剂来预防CTS诱导的CTB细胞损伤。