Suppr超能文献

原发性微小RNA-124 rs531564多态性的次要等位基因通过异常增强肺动脉平滑肌细胞的增殖增加肺动脉高压的风险。

Pri-microRNA-124 rs531564 polymorphism minor allele increases the risk of pulmonary artery hypertension by abnormally enhancing proliferation of pulmonary artery smooth muscle cells.

作者信息

Li Quanzhong, Qian Zongjie, Wang Linqing

机构信息

Department of Cardiology, The Affiliated Hospital of Guilin Medical University, Guilin, Guangxi, People's Republic of China.

出版信息

Int J Chron Obstruct Pulmon Dis. 2017 May 4;12:1351-1361. doi: 10.2147/COPD.S99318. eCollection 2017.

Abstract

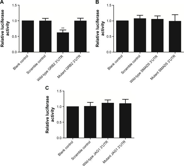
MicroRNA-124 (miR-124) has been reported to be downregulated in the cells exposed to hypoxia, which was confirmed in our study. We then used online microRNA target prediction tools to identify GRB2, SMAD5, and JAG1 as the candidate target genes of miR-124, and we next validated GRB2 as a direct gene by using luciferase reporter system. We also established the regulatory relationship between miR-124 and GRB2 by showing the negative linear relationship between GRB2 and miR-124 expression. Furthermore, we investigated the miR-124 and GRB2 expression levels of different genotypes including CC (n=30), GC (n=18), and GG (n=4), which supported the hypothesis that the presence of minor allele (C) of rs531564 polymorphism compromised the expression of miR-124. Meanwhile, we also conducted real-time polymerase chain reaction and Western blot analysis to study the expression of GRB2 among different genotypes or pulmonary artery smooth muscle cells (PASMCs) treated with miR-124 mimics, GRB2 small interfering RNA, and miR-124 inhibitors, respectively, and found that introduction of miR-124 or GRB2 small interfering RNA could reduce the expression of GRB2 and inhibit the proliferation of PASMCs, while miR-124 upregulated the expression of GRB2 and promoted the proliferation of PASMCs. A total of 412 COPD patients with PAH (n=182) or without PAH (n=230) were recruited in this study, and more individuals carrying at least one minor allele of rs531564 were found in the COPD patients with PAH than in those without PAH (odds ratio: 0.61, 95% confidence interval: 0.41-0.91; =0.166). In conclusion, the presence of rs531564 minor allele may increase the risk of PAH in COPD by reducing miR-124 expression, increasing GRB2 expression, and promoting the proliferation of PASMCs.

摘要

据报道,在暴露于低氧环境的细胞中,微小RNA-124(miR-124)表达下调,我们的研究也证实了这一点。然后,我们使用在线微小RNA靶标预测工具,确定生长因子受体结合蛋白2(GRB2)、SMAD5和锯齿蛋白1(JAG1)为miR-124的候选靶基因,接着通过荧光素酶报告系统验证GRB2是其直接作用基因。我们还通过显示GRB2与miR-124表达之间的负线性关系,确立了miR-124与GRB2之间的调控关系。此外,我们研究了不同基因型(CC,n = 30;GC,n = 18;GG,n = 4)的miR-124和GRB2表达水平,这支持了以下假设:rs531564多态性的次要等位基因(C)的存在会损害miR-124的表达。同时,我们还分别进行了实时聚合酶链反应和蛋白质免疫印迹分析,以研究不同基因型或用miR-124模拟物、GRB2小干扰RNA和miR-124抑制剂处理的肺动脉平滑肌细胞(PASMCs)中GRB2的表达,发现引入miR-124或GRB2小干扰RNA可降低GRB2的表达并抑制PASMCs的增殖,而miR-124抑制剂则上调GRB2的表达并促进PASMCs的增殖。本研究共招募了412例慢性阻塞性肺疾病(COPD)患者,其中182例合并肺动脉高压(PAH),230例未合并PAH,发现合并PAH的COPD患者中携带至少一个rs531564次要等位基因的个体比未合并PAH的患者更多(优势比:0.61,95%置信区间:0.41 - 0.91;P = 0.166)。总之,rs531564次要等位基因的存在可能通过降低miR-124表达、增加GRB2表达和促进PASMCs增殖,增加COPD患者发生PAH的风险。

https://cdn.ncbi.nlm.nih.gov/pmc/blobs/fb34/5422315/e238b41589fd/copd-12-1351Fig1.jpg

文献检索

告别复杂PubMed语法,用中文像聊天一样搜索,搜遍4000万医学文献。AI智能推荐,让科研检索更轻松。

立即免费搜索

文件翻译

保留排版,准确专业,支持PDF/Word/PPT等文件格式,支持 12+语言互译。

免费翻译文档

深度研究

AI帮你快速写综述,25分钟生成高质量综述,智能提取关键信息,辅助科研写作。

立即免费体验