• 文献检索
  • 文档翻译
  • 深度研究
  • 学术资讯
  • Suppr Zotero 插件Zotero 插件
  • 邀请有礼
  • 套餐&价格
  • 历史记录
应用&插件
Suppr Zotero 插件Zotero 插件浏览器插件Mac 客户端Windows 客户端微信小程序
定价
高级版会员购买积分包购买API积分包
服务
文献检索文档翻译深度研究API 文档MCP 服务
关于我们
关于 Suppr公司介绍联系我们用户协议隐私条款
关注我们

Suppr 超能文献

核心技术专利:CN118964589B侵权必究
粤ICP备2023148730 号-1Suppr @ 2026

文献检索

告别复杂PubMed语法,用中文像聊天一样搜索,搜遍4000万医学文献。AI智能推荐,让科研检索更轻松。

立即免费搜索

文件翻译

保留排版,准确专业,支持PDF/Word/PPT等文件格式,支持 12+语言互译。

免费翻译文档

深度研究

AI帮你快速写综述,25分钟生成高质量综述,智能提取关键信息,辅助科研写作。

立即免费体验

在神经性疼痛大鼠模型中,阿米替林与[此处原文缺失内容]联合给药对抗痛觉过敏作用的增强。

Enhancement of Antinociceptive Effect by Co-administration of Amitriptyline and in a Rat Model of Neuropathic Pain.

作者信息

Amin Bahareh, Hosseini Samira, Hosseinzadeh Hossein

机构信息

Cellular and Molecular Research Center,Department of Physiology and Pharmacology, Faculty of Medicine, Sabzevar University of Medical Sciences, Sabzever, Iran.

Department of Pharmacodynamics and Toxicology, School of Pharmacy, Mashhad University of Medical Sciences, Mashhad, Iran.

出版信息

Iran J Pharm Res. 2017 Winter;16(1):187-200.

PMID:28496474
原文链接:https://pmc.ncbi.nlm.nih.gov/articles/PMC5423246/
Abstract

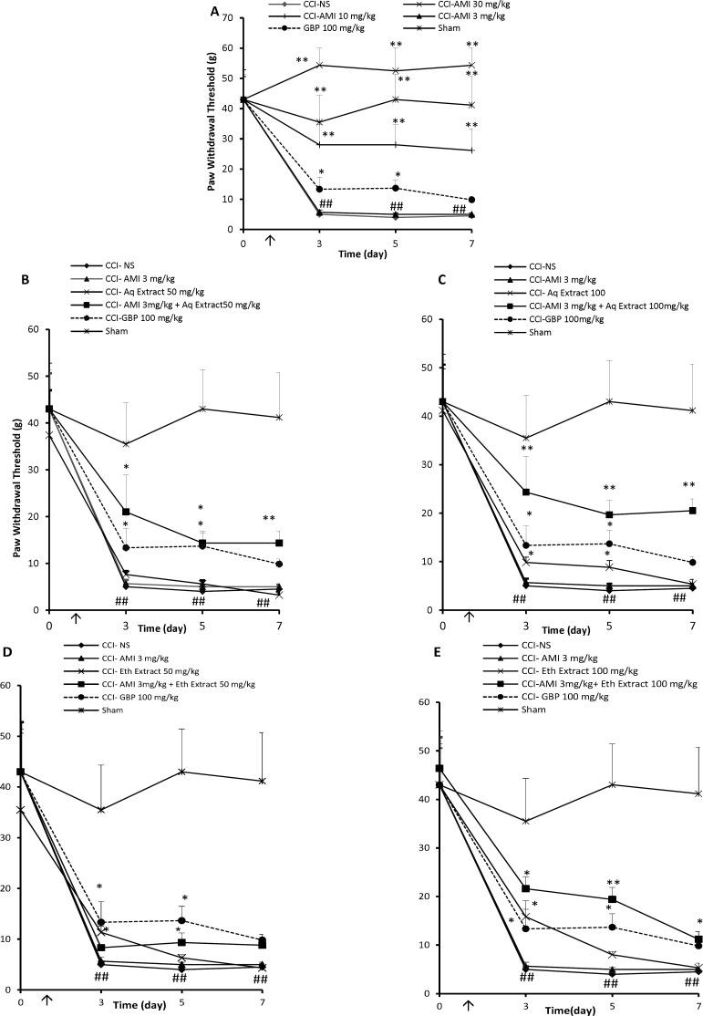
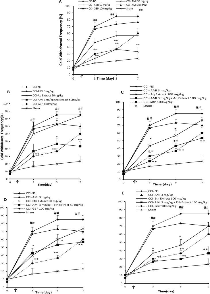
The aim of this study was to evaluate the anti-nociceptive effects of a low, sub-effective dose of amitriptyline, in combination with the different doses of ethanolic and aqueous extracts of Crocus sativus following sciatic nerve chronic constriction injury (CCI) in rats. Amitriptyline (3, 10 and 30 mg/Kg, i.p.) and the extracts (25, 50 and 100 mg/Kg, i.p.), were separately administered at the time of CCI for 7 consecutive days. In combination therapy, the sub-antinociceptive dose of amitriptyline (3 mg/Kg) was given with the three different doses of extracts for seven days. Mechanical allodynia, thermal allodynia and thermal hyperalgesia were evaluated by von Frey, acetone and radiant heat tests, respectively, 1 day before and on days 3, 5 and 7 after surgery. Co-administration of amitriptyline (3 mg/Kg) with aqueous extract (50, 100 mg/Kg,) produced more potent cold anti-allodynic (P < 0.01 and P < 0.001, respectively) as well as thermal anti-hyperalgesic (P < 0.05) effects than that produced by each of them. Amitriptyline (3 mg/Kg) plus ethanolic extract (50, 100 mg/Kg) produced more potent cold anti-allodynic (P < 0.05 and P < 0.001, respectively) as well as thermal anti-hyperalgesic (P < 0.05) effects as compared with the sum effects produced by each of them. Mechanical anti-allodynia effect was only potentiated with the co-administration of amitriptyline with the high dose of aqueous extract (100 mg/Kg, P < 0.001). Our study supports the use of saffron as an adjunctive to amitriptyline to improve the therapeutic outcome in the management of neuropathic pain.

摘要

本研究的目的是评估低剂量、低于有效剂量的阿米替林,与不同剂量的藏红花乙醇提取物和水提取物联合使用时,对大鼠坐骨神经慢性压迫损伤(CCI)后的抗伤害感受作用。在CCI时,连续7天分别腹腔注射阿米替林(3、10和30mg/Kg)和提取物(25、50和100mg/Kg)。在联合治疗中,将亚抗伤害感受剂量的阿米替林(3mg/Kg)与三种不同剂量的提取物一起给药7天。分别在手术前1天以及手术后第3、5和7天,通过von Frey、丙酮和辐射热试验评估机械性异常性疼痛、冷异常性疼痛和热痛觉过敏。与单独使用时相比,阿米替林(3mg/Kg)与水提取物(50、100mg/Kg)联合使用产生了更强的冷抗异常性疼痛作用(分别为P < 0.01和P < 0.001)以及热抗痛觉过敏作用(P < 0.05)。与单独使用时的总效应相比,阿米替林(3mg/Kg)加乙醇提取物(50、100mg/Kg)产生了更强的冷抗异常性疼痛作用(分别为P < 0.05和P < 0.001)以及热抗痛觉过敏作用(P < 0.05)。仅在阿米替林与高剂量水提取物(100mg/Kg)联合使用时,机械性抗异常性疼痛作用才增强(P < 0.001)。我们的研究支持将藏红花作为阿米替林的辅助药物,以改善神经性疼痛管理的治疗效果。

https://cdn.ncbi.nlm.nih.gov/pmc/blobs/ab25/5423246/90dd48851e43/ijpr-16-187-g003.jpg
https://cdn.ncbi.nlm.nih.gov/pmc/blobs/ab25/5423246/ebd64d51526c/ijpr-16-187-g001.jpg
https://cdn.ncbi.nlm.nih.gov/pmc/blobs/ab25/5423246/0b1bb5fc7363/ijpr-16-187-g002.jpg
https://cdn.ncbi.nlm.nih.gov/pmc/blobs/ab25/5423246/90dd48851e43/ijpr-16-187-g003.jpg
https://cdn.ncbi.nlm.nih.gov/pmc/blobs/ab25/5423246/ebd64d51526c/ijpr-16-187-g001.jpg
https://cdn.ncbi.nlm.nih.gov/pmc/blobs/ab25/5423246/0b1bb5fc7363/ijpr-16-187-g002.jpg
https://cdn.ncbi.nlm.nih.gov/pmc/blobs/ab25/5423246/90dd48851e43/ijpr-16-187-g003.jpg

相似文献

1
Enhancement of Antinociceptive Effect by Co-administration of Amitriptyline and in a Rat Model of Neuropathic Pain.在神经性疼痛大鼠模型中,阿米替林与[此处原文缺失内容]联合给药对抗痛觉过敏作用的增强。
Iran J Pharm Res. 2017 Winter;16(1):187-200.
2
Evaluation of aqueous and ethanolic extracts of saffron, Crocus sativus L., and its constituents, safranal and crocin in allodynia and hyperalgesia induced by chronic constriction injury model of neuropathic pain in rats.评价水提物和醇提物西红花(藏红花)、藏红花醛和藏红花酸,及其在大鼠神经病理性疼痛慢性缩窄性损伤模型引起的痛觉过敏和痛觉超敏中的作用。
Fitoterapia. 2012 Jul;83(5):888-95. doi: 10.1016/j.fitote.2012.03.022. Epub 2012 Mar 28.
3
Effects of Saffron (Crocus sativus L.) Stigma Extract and its Active Constituent Crocin on Neuropathic Pain Responses in a Rat Model of Chronic Constriction Injury.藏红花(番红花)柱头提取物及其活性成分藏花素对慢性缩窄性损伤大鼠模型神经病理性疼痛反应的影响
Iran J Pharm Res. 2016 Winter;15(1):253-61.
4
Evaluation of milnacipran, in comparison with amitriptyline, on cold and mechanical allodynia in a rat model of neuropathic pain.米那普仑与阿米替林治疗神经病理性疼痛大鼠模型冷和机械性痛觉过敏的比较评估。
Eur J Pharmacol. 2011 Mar 25;655(1-3):46-51. doi: 10.1016/j.ejphar.2011.01.022. Epub 2011 Jan 28.
5
Nauclea latifolia Smith (Rubiaceae) exerts antinociceptive effects in neuropathic pain induced by chronic constriction injury of the sciatic nerve.鸡骨常山(茜草科)对坐骨神经慢性缩窄性损伤引起的神经病理性疼痛具有镇痛作用。
J Ethnopharmacol. 2014;151(1):445-51. doi: 10.1016/j.jep.2013.10.068. Epub 2013 Nov 18.
6
A bacosides containing Bacopa monnieri extract alleviates allodynia and hyperalgesia in the chronic constriction injury model of neuropathic pain in rats.一种含有假马齿苋提取物的积雪草苷可减轻大鼠神经性疼痛慢性压迫损伤模型中的痛觉过敏和异常性疼痛。
BMC Complement Altern Med. 2017 Jun 5;17(1):293. doi: 10.1186/s12906-017-1807-z.
7
Effect of alcoholic extract of aerial parts of Rosmarinus officinalis L. on pain, inflammation and apoptosis induced by chronic constriction injury (CCI) model of neuropathic pain in rats.迷迭香叶乙醇提取物对大鼠神经病理性疼痛慢性压迫损伤(CCI)模型诱导的疼痛、炎症和细胞凋亡的影响。
J Ethnopharmacol. 2016 Dec 24;194:117-130. doi: 10.1016/j.jep.2016.08.043. Epub 2016 Aug 23.
8
The effects of dexmedetomidine alone and in combination with tramadol or amitriptyline in a neuropathic pain model.右美托咪定单独及与曲马多或阿米替林联合应用在神经性疼痛模型中的作用。
Pain Physician. 2014 Mar-Apr;17(2):187-95.
9
Assessment of anti-nociceptive effect of allopurinol in a neuropathic pain model.评估别嘌醇在神经病理性疼痛模型中的抗伤害作用。
Brain Res. 2019 Oct 1;1720:146238. doi: 10.1016/j.brainres.2019.04.033. Epub 2019 Apr 30.
10
Analgesic effects of antidepressants alone and after their local co-administration with morphine in a rat model of neuropathic pain.在神经性疼痛大鼠模型中,抗抑郁药单独使用及其与吗啡局部联合使用后的镇痛效果。
Pharmacol Rep. 2014 Jun;66(3):459-65. doi: 10.1016/j.pharep.2013.11.004. Epub 2014 Apr 3.

引用本文的文献

1
Bio-functionalized nickel-silica nanoparticles suppress bacterial leaf blight disease in rice ( L.).生物功能化的镍-二氧化硅纳米颗粒抑制水稻细菌性条斑病。
Front Plant Sci. 2023 Aug 2;14:1216782. doi: 10.3389/fpls.2023.1216782. eCollection 2023.
2
Current Knowledge of the Antidepressant Activity of Chemical Compounds from L.关于来自L.的化合物抗抑郁活性的当前知识
Pharmaceuticals (Basel). 2022 Dec 30;16(1):58. doi: 10.3390/ph16010058.
3
Intra-cerebroventricular Administration of Crocin Attenuates Sleep Deprivation-induced Hyperalgesia in Rats.

本文引用的文献

1
Bioactivity assessment and toxicity of crocin: a comprehensive review.西红花苷的生物活性评价及毒性研究:全面综述。
Food Chem Toxicol. 2014 Feb;64:65-80. doi: 10.1016/j.fct.2013.11.016. Epub 2013 Nov 22.
2
Safety Evaluation of Crocin (a constituent of saffron) Tablets in Healthy Volunteers.西红花苷(藏红花的一种成分)片在健康志愿者中的安全性评价。
Iran J Basic Med Sci. 2013 Jan;16(1):39-46.
3
Safranal: from an aromatic natural product to a rewarding pharmacological agent.藏红花醛:从一种芳香天然产物到一种有价值的药理制剂。
大鼠脑室内注射西红花苷可减轻睡眠剥夺诱导的痛觉过敏
Basic Clin Neurosci. 2020 May-Jun;11(3):261-267. doi: 10.32598/bcn.11.2.144.3. Epub 2020 May 1.
4
Analysis of the analgesic effects of tricyclic antidepressants on neuropathic pain, diabetic neuropathic pain, and fibromyalgia in rat models.三环类抗抑郁药对大鼠模型中神经性疼痛、糖尿病性神经病变疼痛和纤维肌痛的镇痛作用分析。
Saudi J Biol Sci. 2020 Sep;27(9):2485-2490. doi: 10.1016/j.sjbs.2020.05.043. Epub 2020 Jun 1.
5
Saffron () versus duloxetine for treatment of patients with fibromyalgia: A randomized double-blind clinical trial.藏红花()与度洛西汀治疗纤维肌痛患者的疗效比较:一项随机双盲临床试验。 需注意,原文中“Saffron ()”括号处内容缺失,以上译文按现有内容准确翻译。
Avicenna J Phytomed. 2018 Nov-Dec;8(6):513-523.
6
Medicinal herbs in the treatment of neuropathic pain: a review.药用草药治疗神经性疼痛:综述
Iran J Basic Med Sci. 2018 Apr;21(4):347-358. doi: 10.22038/IJBMS.2018.24026.6021.
7
Study of the Role of CREB, BDNF, and VGF Neuropeptide in Long Term Antidepressant Activity of Crocin in the Rat Cerebellum.西红花苷对大鼠小脑长期抗抑郁活性中CREB、BDNF和VGF神经肽作用的研究
Iran J Pharm Res. 2017 Fall;16(4):1452-1462.
8
Pharmacokinetic Properties of Saffron and its Active Components.藏红花及其活性成分的药代动力学特性
Eur J Drug Metab Pharmacokinet. 2018 Aug;43(4):383-390. doi: 10.1007/s13318-017-0449-3.
Iran J Basic Med Sci. 2013 Jan;16(1):12-26.
4
Saffron for treatment of fluoxetine-induced sexual dysfunction in women: randomized double-blind placebo-controlled study.藏红花治疗女性氟西汀引起的性功能障碍:随机双盲安慰剂对照研究。
Hum Psychopharmacol. 2013 Jan;28(1):54-60. doi: 10.1002/hup.2282. Epub 2012 Dec 20.
5
Investigation of the neuroprotective action of saffron (Crocus sativus L.) in aluminum-exposed adult mice through behavioral and neurobiochemical assessment.通过行为学和神经生化评估研究西红花(藏红花)在暴露于铝的成年小鼠中的神经保护作用。
Food Chem Toxicol. 2013 Feb;52:163-70. doi: 10.1016/j.fct.2012.11.016. Epub 2012 Nov 17.
6
Avicenna's (Ibn Sina) the Canon of Medicine and saffron (Crocus sativus): a review.阿维森纳(伊本·西那)的《医典》与藏红花(番红花):综述。
Phytother Res. 2013 Apr;27(4):475-83. doi: 10.1002/ptr.4784. Epub 2012 Jul 20.
7
Effect of saffron on fluoxetine-induced sexual impairment in men: randomized double-blind placebo-controlled trial.藏红花对氟西汀引起的男性性功能障碍的影响:随机双盲安慰剂对照试验。
Psychopharmacology (Berl). 2012 Oct;223(4):381-8. doi: 10.1007/s00213-012-2729-6. Epub 2012 May 3.
8
Evaluation of aqueous and ethanolic extracts of saffron, Crocus sativus L., and its constituents, safranal and crocin in allodynia and hyperalgesia induced by chronic constriction injury model of neuropathic pain in rats.评价水提物和醇提物西红花(藏红花)、藏红花醛和藏红花酸,及其在大鼠神经病理性疼痛慢性缩窄性损伤模型引起的痛觉过敏和痛觉超敏中的作用。
Fitoterapia. 2012 Jul;83(5):888-95. doi: 10.1016/j.fitote.2012.03.022. Epub 2012 Mar 28.
9
Antiallodynic effect of herbal medicine yokukansan on peripheral neuropathy in rats with chronic constriction injury.草药稳心散对慢性缩窄性损伤大鼠周围神经病变的抗痛觉过敏作用。
Evid Based Complement Alternat Med. 2012;2012:953459. doi: 10.1155/2012/953459. Epub 2012 Feb 8.
10
Effects of saffron (Crocus sativus L.) and its active constituent, crocin, on recognition and spatial memory after chronic cerebral hypoperfusion in rats.西红花(藏红花)及其活性成分西红花苷对慢性脑低灌注大鼠认知和空间记忆的影响。
Phytother Res. 2012 Mar;26(3):381-6. doi: 10.1002/ptr.3566. Epub 2011 Jul 19.