Suppr超能文献

旋转微电机五轴静电轴承的挤压膜空气阻尼

Squeeze-Film Air Damping of a Five-Axis Electrostatic Bearing for Rotary Micromotors.

作者信息

Wang Shunyue, Han Fengtian, Sun Boqian, Li Haixia

机构信息

Department of Precision Instrument, Tsinghua University, Beijing 100084, China.

出版信息

Sensors (Basel). 2017 May 13;17(5):1119. doi: 10.3390/s17051119.

Abstract

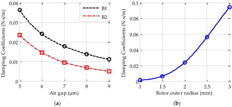
Air-film damping, which dominates over other losses, plays a significant role in the dynamic response of many micro-fabricated devices with a movable mass suspended by various bearing mechanisms. Modeling the damping characteristics accurately will be greatly helpful to the bearing design, control, and test in various micromotor devices. This paper presents the simulated and experimental squeeze-film air damping results of an electrostatic bearing for use in a rotary high-speed micromotor. It is shown that the boundary condition to solve the three-dimensional Reynolds equation, which governs the squeeze-film damping in the air gap between the rotor and its surrounding stator sealed in a three-layer evacuated cavity, behaves with strong cross-axis coupling characteristics. To accurately characterize the damping effect, a set of multiphysics finite-element simulations are performed by computing both the rotor velocity and the distribution of the viscous damping force acting on the rotor. The damping characteristics varying with several key structure parameters are simulated and discussed to optimize the device structure for desirable rotor dynamics. An electrical measurement method is also proposed and applied to validate the numerical results of the damping coefficients experimentally. Given that the frequency response of the electric bearing is critically dependent on the damping coefficients at atmospheric pressure, a solution to the air-film damping measurement problem is presented by taking approximate curve fitting of multi-axis experimental frequency responses. The measured squeeze-film damping coefficients for the five-axis electric bearing agrees well with the numerical solutions. This indicates that numerical multiphysics simulation is an effective method to accurately examine the air-film damping effect for complex device geometry and arbitrary boundary condition. The accurate damping coefficients obtained by FEM simulation will greatly simplify the design of the five-axis bearing control system and facilitate the initial suspension test of the rotor for various micromotor devices.

摘要

气膜阻尼在其他损耗中占主导地位,在许多通过各种支承机构悬挂可动质量块的微加工器件的动态响应中起着重要作用。准确建模阻尼特性将对各种微电机器件的支承设计、控制和测试有很大帮助。本文给出了用于旋转高速微电机的静电支承的挤压膜空气阻尼的模拟和实验结果。结果表明,用于求解三维雷诺方程的边界条件,该方程控制着密封在三层真空腔中的转子与其周围定子之间气隙中的挤压膜阻尼,具有很强的交叉轴耦合特性。为了准确表征阻尼效果,通过计算转子速度和作用在转子上的粘性阻尼力的分布进行了一组多物理场有限元模拟。模拟并讨论了随几个关键结构参数变化的阻尼特性,以优化器件结构,实现理想的转子动力学性能。还提出并应用了一种电测量方法,通过实验验证阻尼系数的数值结果。鉴于电动支承的频率响应在很大程度上取决于大气压力下的阻尼系数,通过对多轴实验频率响应进行近似曲线拟合,提出了一种气膜阻尼测量问题的解决方案。五轴电动支承的测量挤压膜阻尼系数与数值解吻合良好。这表明数值多物理场模拟是一种准确研究复杂器件几何形状和任意边界条件下气膜阻尼效果的有效方法。通过有限元模拟获得的准确阻尼系数将大大简化五轴支承控制系统的设计,并便于各种微电机器件转子的初始悬浮测试。

https://cdn.ncbi.nlm.nih.gov/pmc/blobs/ead4/5470795/e4f0e6764d83/sensors-17-01119-g001.jpg

文献检索

告别复杂PubMed语法,用中文像聊天一样搜索,搜遍4000万医学文献。AI智能推荐,让科研检索更轻松。

立即免费搜索

文件翻译

保留排版,准确专业,支持PDF/Word/PPT等文件格式,支持 12+语言互译。

免费翻译文档

深度研究

AI帮你快速写综述,25分钟生成高质量综述,智能提取关键信息,辅助科研写作。

立即免费体验