Suppr超能文献

成人脊柱畸形手术与非手术治疗的有效性:文献系统综述

Effectiveness of Operative and Nonoperative Care for Adult Spinal Deformity: Systematic Review of the Literature.

作者信息

Teles Alisson R, Mattei Tobias A, Righesso Orlando, Falavigna Asdrubal

机构信息

Department of Clinical Neurosciences - Neurosurgery, University of Calgary, Calgary, Alberta, Canada.

Neurosurgery & Spine Specialists, Eastern Maine Medical Center, Bangor, Maine, USA.

出版信息

Global Spine J. 2017 Apr;7(2):170-178. doi: 10.1177/2192568217699182. Epub 2017 May 1.

Abstract

STUDY DESIGN

Systematic review.

OBJECTIVE

There is a need for synthesizing data on effectiveness of treatments for patients with adult spinal deformity (ASD) due to its increasing prevalence and health care costs for these patients. The objective of this review was to estimate the effectiveness of surgery versus nonoperative care in patients with ASD.

METHODS

A systematic review of articles in published in English using PubMed between 2005 and 2015. Surgical and nonsurgical series that reported baseline and follow-up health-related quality of life measures of patients with ASD with a minimum 2 years of follow-up were selected. Independent extraction of articles by 2 authors using predefined data fields, including risk of bias assessment.

RESULTS

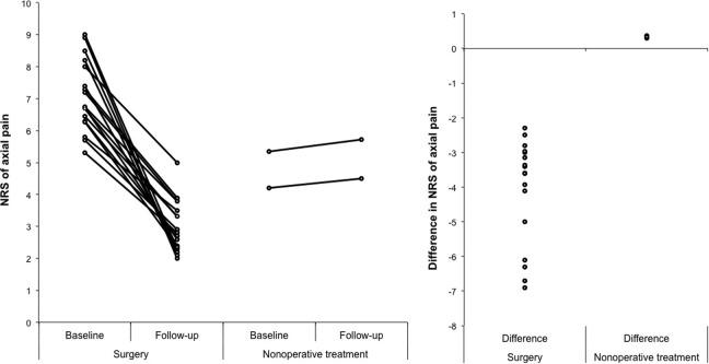
Surgery significantly reduces disability, pain, and improves patients' quality of life. The average postoperative improvement in Oswestry Disability Index was -19.1 (±9.0), Numerical Rating Scale back pain -4.14 (±1.38), Numerical Rating Scale leg pain -3.36 (±1.33), Short-Form Health Survey 36-SF36-Physical Component score 11.2 (±5.07), and Short-Form Health Survey 36-Mental Component score 9.93 (±4.96). The complication rate ranged from 9.52% to 81.52% (mean = 39.62%), and the need for revision surgery ranged from 1.72% to 40.0% (mean = 15.71%). The best existing evidence about nonoperative care of ASD is provided from observational studies with very high risk of bias. Quantitative analyses of nonsurgical cohorts did not demonstrate significant changes in quality of life of patients after 2 years of observation.

CONCLUSIONS

This data may assist clinicians to counsel patients, as well as to inform health care providers and policymakers about what to expect from the treatment for ASD.

摘要

研究设计

系统评价。

目的

由于成人脊柱畸形(ASD)患者的患病率不断上升且医疗费用增加,需要综合有关其治疗效果的数据。本综述的目的是评估手术与非手术治疗对ASD患者的有效性。

方法

对2005年至2015年间发表在PubMed上的英文文章进行系统评价。选择报告了ASD患者基线和随访时健康相关生活质量指标且随访至少2年的手术和非手术系列研究。由2名作者使用预定义的数据字段独立提取文章,包括偏倚风险评估。

结果

手术显著降低了残疾程度、疼痛,并改善了患者的生活质量。Oswestry功能障碍指数术后平均改善-19.1(±9.0),数字疼痛评分法背痛-4.14(±1.38),数字疼痛评分法腿痛- 3.36(±1.33),简明健康调查36-身体成分评分11.2(±5.07),简明健康调查36-精神成分评分9.93(±4.96)。并发症发生率在9.52%至81.52%之间(平均=39.62%),翻修手术需求率在1.72%至40.0%之间(平均=15.71%)。关于ASD非手术治疗的最佳现有证据来自偏倚风险非常高的观察性研究。非手术队列的定量分析未显示观察2年后患者生活质量有显著变化。

结论

这些数据可帮助临床医生为患者提供咨询,并告知医疗保健提供者和政策制定者ASD治疗的预期效果。

https://cdn.ncbi.nlm.nih.gov/pmc/blobs/fba4/5415160/2b9715952ebd/10.1177_2192568217699182-fig1.jpg

文献AI研究员

20分钟写一篇综述,助力文献阅读效率提升50倍。

立即体验

用中文搜PubMed

大模型驱动的PubMed中文搜索引擎

马上搜索

文档翻译

学术文献翻译模型,支持多种主流文档格式。

立即体验