Taylor Oliver J, Thatcher Mikayla O, Carr Sheryl T, Gibbs Jonathan L, Trumbull Annie M, Harrison Mitchell E, Winden Duane R, Pearson Mackenzie J, Tippetts Trevor S, Holland William L, Reynolds Paul R, Bikman Benjamin T
Department of Physiology and Developmental Biology, Brigham Young University, Provo, UT 84602, USA.
College of Dental Medicine, Roseman University of Health Sciences, South Jordan, UT 84095, USA.
Int J Mol Sci. 2017 May 20;18(5):1099. doi: 10.3390/ijms18051099.
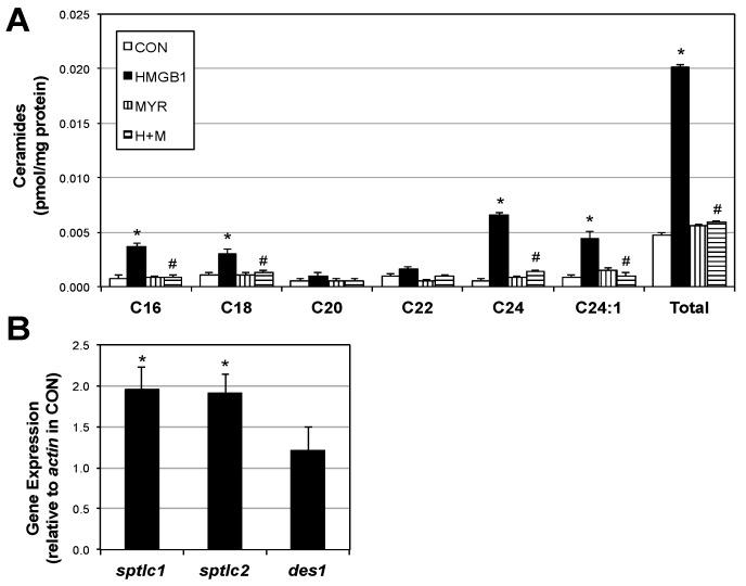
We have previously found that cigarette smoke disrupts metabolic function, in part, by increasing muscle ceramide accrual. To further our understanding of this, we sought to determine the role of the cytokine high-mobility group box 1 (HMGB1), which is increased with smoke exposure, in smoke-induced muscle metabolic perturbations. To test this theory, we determined HMGB1 from lungs of human smokers, as well as from lung cells from mice exposed to cigarette smoke. We also treated cells and mice directly with HMGB1, in the presence or absence of myriocin, an inhibitor of serine palmitoyltransferase, the rate-limiting enzyme in ceramide biosynthesis. Outcomes included assessments of insulin resistance and muscle mitochondrial function. HMGB1 was significantly increased in both human lungs and rodent alveolar macrophages. Further testing revealed that HMGB1 treatment elicited a widespread increase in ceramide species and reduction in myotube mitochondrial respiration, an increase in reactive oxygen species, and reduced insulin-stimulated Akt phosphorylation. Inhibition of ceramide biosynthesis with myriocin was protective. In mice, by comparing treatments of HMGB1 injections with or without myriocin, we found that HMGB1 injections resulted in increased muscle ceramides, especially C16 and C24, which were necessary for reduced muscle mitochondrial respiration and compromised insulin and glucose tolerance. In conclusion, HMGB1 may be a necessary intermediate in the ceramide-dependent metabolic consequences of cigarette smoke exposure.
我们之前发现,香烟烟雾会部分通过增加肌肉神经酰胺蓄积来破坏代谢功能。为了进一步了解这一点,我们试图确定细胞因子高迁移率族蛋白B1(HMGB1)在烟雾诱导的肌肉代谢紊乱中的作用,HMGB1会随着烟雾暴露而增加。为了验证这一理论,我们测定了人类吸烟者肺部以及暴露于香烟烟雾的小鼠肺细胞中的HMGB1。我们还在存在或不存在myriocin(一种丝氨酸棕榈酰转移酶抑制剂,神经酰胺生物合成中的限速酶)的情况下,直接用HMGB1处理细胞和小鼠。结果包括对胰岛素抵抗和肌肉线粒体功能的评估。在人类肺部和啮齿动物肺泡巨噬细胞中,HMGB1均显著增加。进一步测试表明,HMGB1处理会引发神经酰胺种类普遍增加、肌管线粒体呼吸减少、活性氧增加以及胰岛素刺激的Akt磷酸化减少。用myriocin抑制神经酰胺生物合成具有保护作用。在小鼠中,通过比较注射有或没有myriocin的HMGB1的处理情况,我们发现注射HMGB1会导致肌肉神经酰胺增加,尤其是C16和C24,这对于降低肌肉线粒体呼吸以及损害胰岛素和葡萄糖耐受性是必要的。总之,HMGB1可能是香烟烟雾暴露导致的依赖神经酰胺的代谢后果中的一个必要中间产物。