Suppr超能文献

固定和切换交互拓扑下多机械系统的鲁棒一致性跟踪控制

Robust consensus tracking control of multiple mechanical systems under fixed and switching interaction topologies.

作者信息

Liu Jianhui, Zhang Bin

机构信息

School of Automation Science and Electrical Engineering, Beihang University (BUAA), Beijing 100876, P.R. China.

School of Automation, Beijing University of Posts and Telecommunications (BUPT), Beijing 100876, P.R. China.

出版信息

PLoS One. 2017 May 25;12(5):e0178330. doi: 10.1371/journal.pone.0178330. eCollection 2017.

Abstract

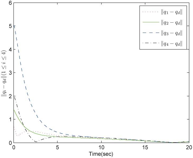
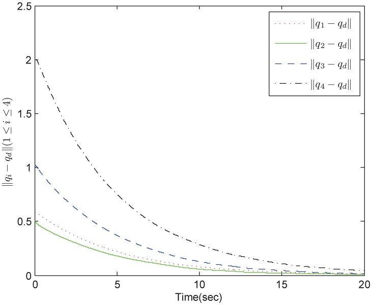
Consensus tracking problems for multiple mechanical systems are considered in this paper, where information communications are limited between individuals and the desired trajectory is available to only a subset of the mechanical systems. A distributed tracking algorithm based on computed torque approach is proposed in the fixed interaction topology case, in which a robust feedback term is developed for each agent to estimate the external disturbances and the unknown agent dynamics. Then the result is extended to address the case under switching interaction topologies by using Lyapunov approaches and sufficient conditions are given. Two examples and numerical simulations are presented to validate the effectiveness of the proposed robust tracking method.

摘要

本文考虑了多个机械系统的一致性跟踪问题,其中个体之间的信息通信受限,且期望轨迹仅对部分机械系统可用。针对固定交互拓扑情况,提出了一种基于计算转矩方法的分布式跟踪算法,为每个智能体设计了一个鲁棒反馈项来估计外部干扰和未知的智能体动力学。然后利用李雅普诺夫方法将结果扩展到切换交互拓扑情况,并给出了充分条件。通过两个例子和数值模拟验证了所提出的鲁棒跟踪方法的有效性。

https://cdn.ncbi.nlm.nih.gov/pmc/blobs/04de/5444839/cf1ff7507441/pone.0178330.g001.jpg

文献AI研究员

20分钟写一篇综述,助力文献阅读效率提升50倍。

立即体验

用中文搜PubMed

大模型驱动的PubMed中文搜索引擎

马上搜索

文档翻译

学术文献翻译模型,支持多种主流文档格式。

立即体验