Suppr超能文献

行走过程中髋部浅层肌肉激活的详细空间特征:对健康老年人臀区的多电极表面肌电图研究

Detailed spatial characterization of superficial hip muscle activation during walking: A multi-electrode surface EMG investigation of the gluteal region in healthy older adults.

作者信息

Anders Christoph, Patenge Steffen, Sander Klaus, Layher Frank, Biedermann Uta, Kinne Raimund W

机构信息

Division of Motor Research, Pathophysiology and Biomechanics, Clinic for Trauma, Hand and Reconstructive Surgery, Jena University Hospital, Jena, Germany.

Chair of Orthopedics, Department of Orthopedics, Jena University Hospital, Waldkrankenhaus "Rudolf Elle", Eisenberg, Germany.

出版信息

PLoS One. 2017 Jun 5;12(6):e0178957. doi: 10.1371/journal.pone.0178957. eCollection 2017.

Abstract

PURPOSE

A multi-electrode array was used to generate spatially resolved Surface electromyography (SEMG) data of the hip muscles in healthy older adults. The cohort was meant to serve as an age-matched, normal control population for future surgical and rehabilitative studies in patients undergoing total hip arthroplasty, in view of the large, continuously increasing number of hip joint replacements.

METHODS

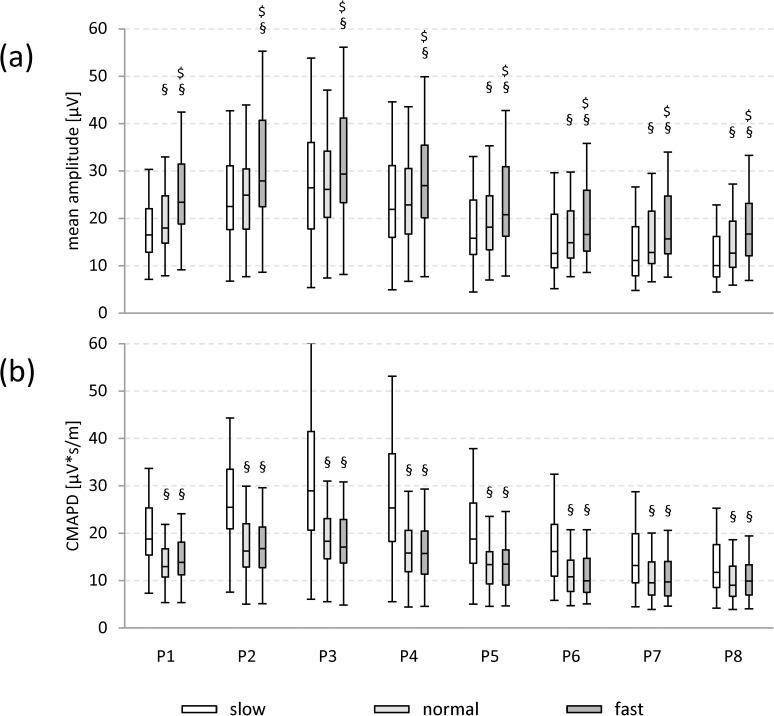
Bilateral hip muscle SEMG activity, including tensor fasciae latae (TFL), gluteus medius (Gmed), and gluteus maximus (Gmax), was measured during locomotion on a walkway at self-selected slow, normal, and fast walking speeds (age-matched cohort of 29 females and 25 males). Eight equally-spaced, vertically oriented bipolar channels were applied on a horizontal line at mid-distance between iliac crest and greater trochanter (length 17.5 cm; named P1 to P8). Time-independent parameters (e.g., mean amplitude) were derived from the amplitude curves expressed as root mean square.

RESULTS

The acquired SEMG data were not significantly influenced by gender (p = 0.202) or side (p = 0.313) and were therefore pooled. The most ventral to central electrode positions P1 to P5, representing TFL and ventral to central Gmed, showed the highest mean amplitude levels (averaged over the whole stride; 0.001 < p < 0.027 against P6 to P8; Bonferroni-adjusted paired t-test) at all walking speeds. Also, the respective curves showed two distinct amplitude peaks (representing load acceptance and hip stabilization during mid-stance), with a continuous increase of the first peak from P1 to P4 (most pronounced at fast speed) and the second peak from P1 to P3. Independently of the underlying individual muscles, both peaks displayed a continuous time shift from the most dorsal P8 to the most ventral P1 position, with the peaks for the ventral positions occurring at later time points during the normalized stride.

CONCLUSIONS

The continuously changing activation patterns of the superficial muscles in the gluteal region during walking may reflect function-driven, finely tuned coordination patterns of neighboring muscles and muscle segments, rather than independent activation of anatomically defined muscles. This may be important for the definition of specific target parameters for the improvement and/or normalization of muscle function during training and post-injury rehabilitation.

摘要

目的

使用多电极阵列生成健康老年人髋部肌肉的空间分辨表面肌电图(SEMG)数据。鉴于全髋关节置换手术的数量庞大且持续增加,该队列旨在作为年龄匹配的正常对照人群,用于未来对接受全髋关节置换术患者的手术和康复研究。

方法

在人行道上以自我选择的慢、正常和快步行走速度行走时,测量双侧髋部肌肉的SEMG活动,包括阔筋膜张肌(TFL)、臀中肌(Gmed)和臀大肌(Gmax)(年龄匹配的队列包括29名女性和25名男性)。在髂嵴和大转子之间的中间距离处的水平线上应用八个等间距、垂直定向的双极通道(长度17.5厘米;命名为P1至P8)。从以均方根表示的幅度曲线中得出与时间无关的参数(例如平均幅度)。

结果

所获取的SEMG数据不受性别(p = 0.202)或侧别(p = 0.313)的显著影响,因此进行了合并。从最腹侧到中央电极位置P1至P5,代表TFL和腹侧到中央的Gmed,在所有行走速度下均显示出最高的平均幅度水平(在整个步幅上平均;与P6至P8相比,0.001 < p < 0.027;Bonferroni校正的配对t检验)。此外,各自的曲线显示出两个不同的幅度峰值(代表中期支撑期间的负荷接受和髋关节稳定),第一个峰值从P1到P4持续增加(在快速行走时最为明显),第二个峰值从P1到P3。独立于潜在的单个肌肉,两个峰值均显示出从最背侧的P8到最腹侧的P1位置的连续时间偏移,腹侧位置的峰值在标准化步幅期间出现在较晚的时间点。

结论

行走过程中臀区浅表肌肉的激活模式不断变化,可能反映了功能驱动的、精细调整的相邻肌肉和肌肉节段的协调模式,而不是解剖学定义肌肉的独立激活。这对于定义训练和损伤后康复期间改善和/或使肌肉功能正常化的特定目标参数可能很重要。

https://cdn.ncbi.nlm.nih.gov/pmc/blobs/684a/5459501/78b9ce44fd69/pone.0178957.g001.jpg

文献AI研究员

20分钟写一篇综述,助力文献阅读效率提升50倍。

立即体验

用中文搜PubMed

大模型驱动的PubMed中文搜索引擎

马上搜索

文档翻译

学术文献翻译模型,支持多种主流文档格式。

立即体验