Suppr超能文献

贝伐单抗对缺氧视网膜色素上皮细胞内质网应激的影响。

Effects of bevacizumab on endoplasmic reticulum stress in hypoxic retinal pigment epithelial cells.

作者信息

Park Joo-Hee, Kim Moosang, Oh Jong-Hyun

机构信息

Department of Ophthalmology, Dongguk University Ilsan Hospital, Goyang, South Korea.

Department of Ophthalmology, School of Medicine, Kangwon National University, Chuncheon, South Korea.

出版信息

PLoS One. 2017 Jun 7;12(6):e0179048. doi: 10.1371/journal.pone.0179048. eCollection 2017.

Abstract

PURPOSE

To investigate the effects of bevacizumab on endoplasmic reticulum (ER) stress in human retinal pigment epithelial (RPE) cells cultured under hypoxic conditions.

METHODS

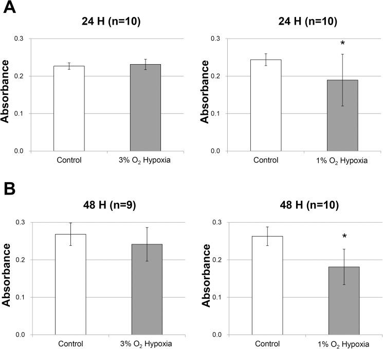
RPE cells (ARPE-19) were cultured under hypoxic conditions (1% O2) with or without bevacizumab (0.3125 mg/mL) for 24 and 48 h. Cell viability was measured by a PrestoBlue assay. The expression of vascular endothelial growth factor (VEGF), binding protein/glucose-regulated protein 78 (BiP/GRP78), and C/EBP homologous protein-10 (CHOP) mRNA was measured by quantitative real-time polymerase chain reaction (qRT-PCR). BiP/GRP78 and CHOP protein levels in the cells were assessed by western blot. VEGF protein in the media was quantified by enzyme-linked immunosorbent assay (ELISA).

RESULTS

Under hypoxic conditions, cell viability decreased and mRNA and protein levels of VEGF, BiP/GRP78, and CHOP increased compared to those under normoxic conditions. Bevacizumab improved cell viability and reduced the expression of VEGF mRNA under hypoxic conditions. Bevacizumab also reduced the expression of both mRNA and protein of two ER stress indicators, BiP/GRP78 and CHOP, under hypoxic conditions.

CONCLUSIONS

Bevacizumab mitigated ER stress in human RPE cells cultured under hypoxic conditions. This effect may be involved in the improved cell viability and reduction of VEGF expression after bevacizumab treatment of hypoxic RPE cells in vitro. However, the effects of bevacizumab on RPE cells under experimental conditions are unlikely to be clinically equivalent to those in the human eye.

摘要

目的

研究贝伐单抗对在缺氧条件下培养的人视网膜色素上皮(RPE)细胞内质网(ER)应激的影响。

方法

将RPE细胞(ARPE-19)在缺氧条件(1%氧气)下培养24小时和48小时,分别添加或不添加贝伐单抗(0.3125毫克/毫升)。通过普瑞斯托蓝检测法测量细胞活力。通过定量实时聚合酶链反应(qRT-PCR)测量血管内皮生长因子(VEGF)、结合蛋白/葡萄糖调节蛋白78(BiP/GRP78)和C/EBP同源蛋白10(CHOP)mRNA的表达。通过蛋白质印迹法评估细胞中BiP/GRP78和CHOP蛋白水平。通过酶联免疫吸附测定(ELISA)对培养基中的VEGF蛋白进行定量。

结果

在缺氧条件下,与常氧条件相比,细胞活力下降,VEGF、BiP/GRP78和CHOP的mRNA和蛋白水平升高。贝伐单抗在缺氧条件下提高了细胞活力并降低了VEGF mRNA的表达。贝伐单抗还降低了缺氧条件下两种内质网应激指标BiP/GRP78和CHOP的mRNA和蛋白表达。

结论

贝伐单抗减轻了在缺氧条件下培养的人RPE细胞的内质网应激。这种作用可能与贝伐单抗体外处理缺氧RPE细胞后细胞活力的改善和VEGF表达的降低有关。然而,在实验条件下贝伐单抗对RPE细胞的作用在临床上不太可能等同于在人眼中的作用。

https://cdn.ncbi.nlm.nih.gov/pmc/blobs/87ce/5462411/2679465d3edd/pone.0179048.g001.jpg

文献AI研究员

20分钟写一篇综述,助力文献阅读效率提升50倍。

立即体验

用中文搜PubMed

大模型驱动的PubMed中文搜索引擎

马上搜索

文档翻译

学术文献翻译模型,支持多种主流文档格式。

立即体验