Suppr超能文献

芳烃受体(AHR)是垂体腺瘤中一种潜在的肿瘤抑制因子。

Aryl hydrocarbon receptor (AHR) is a potential tumour suppressor in pituitary adenomas.

作者信息

Formosa R, Borg J, Vassallo J

机构信息

Department of MedicineFaculty of Medicine and Surgery, University of Malta, Msida, Malta.

Department of Applied Biomedical ScienceFaculty of Health Sciences, University of Malta, Msida, Malta.

出版信息

Endocr Relat Cancer. 2017 Aug;24(8):445-457. doi: 10.1530/ERC-17-0112. Epub 2017 Jun 25.

Abstract

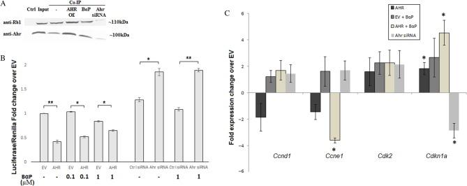
Pituitary adenomas (PA) represent the largest group of intracranial neoplasms and yet the molecular mechanisms driving this disease remain largely unknown. The aim of this study was to use a high-throughput screening method to identify molecular pathways that may be playing a significant and consistent role in PA. RNA profiling using microarrays on eight local PAs identified the aryl hydrocarbon receptor (AHR) signalling pathway as a key canonical pathway downregulated in all PA types. This was confirmed by real-time PCR in 31 tumours. The AHR has been shown to regulate cell cycle progression in various cell types; however, its role in pituitary tissue has never been investigated. In order to validate the role of AHR in PA behaviour, further functional studies were undertaken. Over-expression of AHR in GH3 cells revealed a tumour suppressor potential independent of exogenous ligand activation by benzo α-pyrene (BαP). Cell cycle analysis and quantitative PCR of cell cycle regulator genes revealed that both unstimulated and BαP-stimulated AHR reduced E2F-driven transcription and altered expression of cell cycle regulator genes, thus increasing the percentage of cells in G/G phase and slowing the proliferation rate of GH3 cells. Co-immunoprecipitation confirmed the interaction between AHR and retinoblastoma (Rb1) protein supporting this as a functional mechanism for the observed reduction. Endogenous Ahr reduction using silencing RNA confirmed the tumour suppressive function of the Ahr. These data support a mechanistic pathway for the putative tumour suppressive role of AHR specifically in PA, possibly through its role as a cell cycle co-regulator, even in the absence of exogenous ligands.

摘要

垂体腺瘤(PA)是颅内肿瘤中最大的一组,但驱动这种疾病的分子机制在很大程度上仍不清楚。本研究的目的是使用高通量筛选方法来识别可能在PA中发挥重要且一致作用的分子途径。对八个局部PA进行微阵列RNA分析,确定芳烃受体(AHR)信号通路是在所有PA类型中下调的关键经典通路。这在31个肿瘤中通过实时PCR得到了证实。AHR已被证明可调节多种细胞类型中的细胞周期进程;然而,其在垂体组织中的作用从未被研究过。为了验证AHR在PA行为中的作用,进行了进一步的功能研究。在GH3细胞中过表达AHR揭示了一种肿瘤抑制潜力,其独立于苯并α芘(BαP)的外源性配体激活。细胞周期分析和细胞周期调节基因的定量PCR显示,未刺激和BαP刺激的AHR均降低了E2F驱动的转录并改变了细胞周期调节基因的表达,从而增加了G/G期细胞的百分比并减缓了GH3细胞的增殖速率。免疫共沉淀证实了AHR与视网膜母细胞瘤(Rb1)蛋白之间的相互作用,支持这是观察到的减少的功能机制。使用沉默RNA降低内源性Ahr证实了Ahr的肿瘤抑制功能。这些数据支持了AHR在PA中特别是作为肿瘤抑制作用的机制途径,可能是通过其作为细胞周期共调节因子的作用,即使在没有外源性配体的情况下也是如此。

https://cdn.ncbi.nlm.nih.gov/pmc/blobs/5b14/5541251/7eba562dba76/erc-24-445-g001.jpg

相似文献

1
Aryl hydrocarbon receptor (AHR) is a potential tumour suppressor in pituitary adenomas.
Endocr Relat Cancer. 2017 Aug;24(8):445-457. doi: 10.1530/ERC-17-0112. Epub 2017 Jun 25.
3
AIP mutations impair AhR signaling in pituitary adenoma patients fibroblasts and in GH3 cells.
Endocr Relat Cancer. 2016 May;23(5):433-43. doi: 10.1530/ERC-16-0041. Epub 2016 Apr 14.
4
Reduction of CC-chemokine ligand 5 by aryl hydrocarbon receptor ligands.
J Dermatol Sci. 2013 Oct;72(1):9-15. doi: 10.1016/j.jdermsci.2013.04.031. Epub 2013 Jun 13.
7
A putative role for the aryl hydrocarbon receptor (AHR) gene in a patient with cyclical Cushing's disease.
BMC Endocr Disord. 2020 Jan 29;20(1):18. doi: 10.1186/s12902-020-0495-8.
8
Keratinocyte Growth Factor Regulation of Aryl Hydrocarbon Receptor Activation in Colorectal Cancer Cells.
Dig Dis Sci. 2016 Feb;61(2):444-52. doi: 10.1007/s10620-015-3908-1. Epub 2015 Oct 29.
9
The role of the aryl hydrocarbon receptor-interacting protein gene in familial and sporadic pituitary adenomas.
J Clin Endocrinol Metab. 2008 Jun;93(6):2390-401. doi: 10.1210/jc.2007-2611. Epub 2008 Apr 1.
10
The Complex Biology of the Aryl Hydrocarbon Receptor and Its Role in the Pituitary Gland.
Horm Cancer. 2017 Aug;8(4):197-210. doi: 10.1007/s12672-017-0300-y. Epub 2017 Jun 20.

引用本文的文献

2
Aryl hydrocarbon receptor: current perspectives on key signaling partners and immunoregulatory role in inflammatory diseases.
Front Immunol. 2024 Aug 15;15:1421346. doi: 10.3389/fimmu.2024.1421346. eCollection 2024.
3
Familial isolated pituitary adenoma is independent of genotype in a novel mouse model of disease.
Heliyon. 2024 Mar 26;10(7):e28231. doi: 10.1016/j.heliyon.2024.e28231. eCollection 2024 Apr 15.
4
Pituitary Tumorigenesis-Implications for Management.
Medicina (Kaunas). 2023 Apr 21;59(4):812. doi: 10.3390/medicina59040812.
5
The Spectrum of Familial Pituitary Neuroendocrine Tumors.
Endocr Pathol. 2023 Mar;34(1):57-78. doi: 10.1007/s12022-022-09742-0. Epub 2022 Nov 18.
8
Aryl hydrocarbon receptor is a prognostic biomarker and is correlated with immune responses in cervical cancer.
Bioengineered. 2021 Dec;12(2):11922-11935. doi: 10.1080/21655979.2021.2006953.
9
AhR and Cancer: From Gene Profiling to Targeted Therapy.
Int J Mol Sci. 2021 Jan 13;22(2):752. doi: 10.3390/ijms22020752.
10
Somatic Deletion in Exon 10 of Aryl Hydrocarbon Receptor Gene in Human GH-Secreting Pituitary Tumors.
Front Endocrinol (Lausanne). 2020 Nov 12;11:591039. doi: 10.3389/fendo.2020.591039. eCollection 2020.

本文引用的文献

2
AIP mutations impair AhR signaling in pituitary adenoma patients fibroblasts and in GH3 cells.
Endocr Relat Cancer. 2016 May;23(5):433-43. doi: 10.1530/ERC-16-0041. Epub 2016 Apr 14.
3
Whole-Genome Sequencing of Growth Hormone (GH)-Secreting Pituitary Adenomas.
J Clin Endocrinol Metab. 2015 Oct;100(10):3918-27. doi: 10.1210/jc.2015-3129. Epub 2015 Aug 17.
4
Cancer Immunotherapy by Targeting IDO1/TDO and Their Downstream Effectors.
Front Immunol. 2015 Jan 12;5:673. doi: 10.3389/fimmu.2014.00673. eCollection 2014.
5
The PI3K/AKT/mTOR pathway in the pathophysiology and treatment of pituitary adenomas.
Endocr Relat Cancer. 2014 Aug;21(4):R331-44. doi: 10.1530/ERC-14-0188.
6
cAMP signalling in the normal and tumorigenic pituitary gland.
Mol Cell Endocrinol. 2014 Jul 5;392(1-2):37-50. doi: 10.1016/j.mce.2014.05.004. Epub 2014 May 17.
7
Identification of cinnabarinic acid as a novel endogenous aryl hydrocarbon receptor ligand that drives IL-22 production.
PLoS One. 2014 Feb 3;9(2):e87877. doi: 10.1371/journal.pone.0087877. eCollection 2014.
8
Ah receptor-mediated suppression of liver regeneration through NC-XRE-driven p21Cip1 expression.
Mol Pharmacol. 2014 Apr;85(4):533-41. doi: 10.1124/mol.113.089730. Epub 2014 Jan 15.
9
Insulin like growth factor 2 regulation of aryl hydrocarbon receptor in MCF-7 breast cancer cells.
Biochem Biophys Res Commun. 2014 Jan 17;443(3):1092-6. doi: 10.1016/j.bbrc.2013.12.112. Epub 2013 Dec 28.
10
cAMP in the pituitary: an old messenger for multiple signals.
J Mol Endocrinol. 2013 Dec 19;52(1):R67-77. doi: 10.1530/JME-13-0172. Print 2014 Feb.

文献AI研究员

20分钟写一篇综述,助力文献阅读效率提升50倍。

立即体验

用中文搜PubMed

大模型驱动的PubMed中文搜索引擎

马上搜索

文档翻译

学术文献翻译模型,支持多种主流文档格式。

立即体验