Suppr超能文献

奥沙利铂仅在有水存在的情况下与二甲基亚砜发生反应。

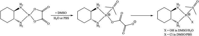
Oxaliplatin reacts with DMSO only in the presence of water.

作者信息

Varbanov Hristo P, Ortiz Daniel, Höfer Doris, Menin Laure, Galanski Mathea S, Keppler Bernhard K, Dyson Paul J

机构信息

Institut des Sciences et Ingénierie Chimiques, Ecole Polytechnique Fédérale de Lausanne (EPFL), Lausanne, Switzerland.

Institute of Inorganic Chemistry, University of Vienna, Waehringer Strasse 42, A-1090 Vienna, Austria.

出版信息

Dalton Trans. 2017 Jul 18;46(28):8929-8932. doi: 10.1039/c7dt01628j.

Abstract

Herein we show that oxaliplatin reacts rapidly with DMSO in aqueous solutions, despite being stable in pure DMSO and pure water. Furthermore, the reactivity of the clinically applied Pt(ii) drugs in water/DMSO and PBS/DMSO mixtures, and the nature of the species formed were investigated by MS, NMR and RP-HPLC techniques.

摘要

在此我们表明,尽管奥沙利铂在纯二甲基亚砜(DMSO)和纯水中稳定,但它在水溶液中能与DMSO迅速反应。此外,通过质谱(MS)、核磁共振(NMR)和反相高效液相色谱(RP-HPLC)技术研究了临床应用的铂(II)类药物在水/DMSO和磷酸盐缓冲液(PBS)/DMSO混合物中的反应活性以及所形成物种的性质。

https://cdn.ncbi.nlm.nih.gov/pmc/blobs/a8d4/9272996/66fbdf0cb807/c7dt01628j-s1.jpg

文献检索

告别复杂PubMed语法,用中文像聊天一样搜索,搜遍4000万医学文献。AI智能推荐,让科研检索更轻松。

立即免费搜索

文件翻译

保留排版,准确专业,支持PDF/Word/PPT等文件格式,支持 12+语言互译。

免费翻译文档

深度研究

AI帮你快速写综述,25分钟生成高质量综述,智能提取关键信息,辅助科研写作。

立即免费体验