• 文献检索
  • 文档翻译
  • 深度研究
  • 学术资讯
  • Suppr Zotero 插件Zotero 插件
  • 邀请有礼
  • 套餐&价格
  • 历史记录
应用&插件
Suppr Zotero 插件Zotero 插件浏览器插件Mac 客户端Windows 客户端微信小程序
定价
高级版会员购买积分包购买API积分包
服务
文献检索文档翻译深度研究API 文档MCP 服务
关于我们
关于 Suppr公司介绍联系我们用户协议隐私条款
关注我们

Suppr 超能文献

核心技术专利:CN118964589B侵权必究
粤ICP备2023148730 号-1Suppr @ 2026

文献检索

告别复杂PubMed语法,用中文像聊天一样搜索,搜遍4000万医学文献。AI智能推荐,让科研检索更轻松。

立即免费搜索

文件翻译

保留排版,准确专业,支持PDF/Word/PPT等文件格式,支持 12+语言互译。

免费翻译文档

深度研究

AI帮你快速写综述,25分钟生成高质量综述,智能提取关键信息,辅助科研写作。

立即免费体验

福建省中国女性宫颈病变中PCR反向斑点杂交人乳头瘤病毒基因分型检测的临床验证:一项基于医院的人群研究

Clinical validation of the PCR-reverse dot blot human papillomavirus genotyping test in cervical lesions from Chinese women in the Fujian province: a hospital-based population study.

作者信息

Sun Pengming, Song Yiyi, Ruan Guanyu, Mao Xiaodan, Kang Yafang, Dong Binhua, Lin Fen

机构信息

Laboratory of Gynecologic Oncology, Fujian Provincial Maternity & Children's Health Hospital of Fujian Medical University, Fuzhou, China.

Department of Gynecology, Fujian Provincial Maternity & Children's Health Hospital of Fujian Medical University, Fuzhou, China.

出版信息

J Gynecol Oncol. 2017 Sep;28(5):e50. doi: 10.3802/jgo.2017.28.e50. Epub 2017 Apr 25.

DOI:10.3802/jgo.2017.28.e50
PMID:28657218
原文链接:https://pmc.ncbi.nlm.nih.gov/articles/PMC5540716/
Abstract

OBJECTIVE

To determine the clinical significance of the polymerase chain reaction (PCR)-reverse dot blot (RDB) human papillomavirus (HPV) genotyping assay in cervical cancer screening.

METHODS

A total of 10,442 women attending the Fujian Provincial Maternity and Children's Health Hospital were evaluated using the liquid-based cytology (thinprep cytologic test [TCT]) and the PCR-RDB HPV test. Women with HPV infection and/or abnormal cytology were referred for colposcopy and biopsy. For HPV DNA sequencing, 120 specimens were randomly selected. Pathological diagnosis was used as the gold standard.

RESULTS

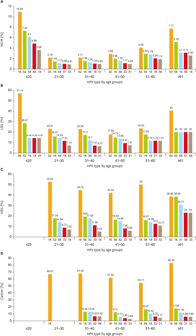
Using the PCR-RDB HPV test, overall HPV prevalence was 20.57% (2,148/10,442) and that of high-risk (HR)-HPV infection was 18.68% (1,951/10,442). There was 99.2% concordance between HPV PCR-RDB testing and sequencing. In this studied population, the most common HR-HPV types were HPV-16, -52, -58, -18, -53, -33, and -51, rank from high to low. HPV-16, -18, -58, -59, and -33 were the top 5 prevalent genotypes in cervical cancer but HPV-16, -18, -59, -45, and -33 were the top 5 highest risk factors for cancer (odds ratio [OR]=34.964, 7.278, 6.728, 6.101, and 3.658; all p<0.05, respectively). Among 10,442 cases, 1,278 had abnormal cytology results, of which, the HR-HPV positivity rate was 83.02% (1,061/1,278). To screen for cervical cancer by PCR-RDB HPV testing, when using CIN2+, CIN3+, and cancer as observed endpoints, the sensitivity was 90.43%, 92.61%, and 94.78% and the negative predictive value (NPV) was 99.06%, 99.42%, and 99.78%, respectively. PCR-RDB HPV and TCT co-testing achieved the highest sensitivity and NPV.

CONCLUSION

For cervical cancer screening, the PCR-RDB HPV test can provide a reliable and sensitive clinical reference.

摘要

目的

确定聚合酶链反应(PCR)-反向点杂交(RDB)人乳头瘤病毒(HPV)基因分型检测在宫颈癌筛查中的临床意义。

方法

对福建省妇幼保健院的10442名女性进行了液基细胞学检查(薄层液基细胞学检测[TCT])和PCR-RDB HPV检测。HPV感染和/或细胞学异常的女性被转诊进行阴道镜检查和活检。随机选择120份标本进行HPV DNA测序。病理诊断作为金标准。

结果

采用PCR-RDB HPV检测,总体HPV感染率为20.57%(2148/10442),高危(HR)-HPV感染率为18.68%(1951/10442)。HPV PCR-RDB检测与测序的一致性为99.2%。在该研究人群中,最常见的HR-HPV类型依次为HPV-16、-52、-58、-18、-53、-33和-51。HPV-16、-18、-58、-59和-33是宫颈癌中最常见的5种基因型,但HPV-16、-18、-59、-45和-33是癌症的前5大高危因素(比值比[OR]=34.964、7.278、6.728、6.101和3.658;均P<0.05)。在10442例病例中,1278例细胞学检查结果异常,其中HR-HPV阳性率为83.02%(1061/1278)。以PCR-RDB HPV检测筛查宫颈癌,以CIN2+、CIN3+和癌症为观察终点时,灵敏度分别为90.43%、92.61%和94.78%,阴性预测值(NPV)分别为99.06%、99.42%和99.78%。PCR-RDB HPV与TCT联合检测具有最高的灵敏度和NPV。

结论

对于宫颈癌筛查,PCR-RDB HPV检测可提供可靠且灵敏的临床参考。

https://cdn.ncbi.nlm.nih.gov/pmc/blobs/9c62/5540716/fa58ebdc5268/jgo-28-e50-g003.jpg
https://cdn.ncbi.nlm.nih.gov/pmc/blobs/9c62/5540716/b57d9917e5b2/jgo-28-e50-g001.jpg
https://cdn.ncbi.nlm.nih.gov/pmc/blobs/9c62/5540716/b466ed091237/jgo-28-e50-g002.jpg
https://cdn.ncbi.nlm.nih.gov/pmc/blobs/9c62/5540716/fa58ebdc5268/jgo-28-e50-g003.jpg
https://cdn.ncbi.nlm.nih.gov/pmc/blobs/9c62/5540716/b57d9917e5b2/jgo-28-e50-g001.jpg
https://cdn.ncbi.nlm.nih.gov/pmc/blobs/9c62/5540716/b466ed091237/jgo-28-e50-g002.jpg
https://cdn.ncbi.nlm.nih.gov/pmc/blobs/9c62/5540716/fa58ebdc5268/jgo-28-e50-g003.jpg

相似文献

1
Clinical validation of the PCR-reverse dot blot human papillomavirus genotyping test in cervical lesions from Chinese women in the Fujian province: a hospital-based population study.福建省中国女性宫颈病变中PCR反向斑点杂交人乳头瘤病毒基因分型检测的临床验证:一项基于医院的人群研究
J Gynecol Oncol. 2017 Sep;28(5):e50. doi: 10.3802/jgo.2017.28.e50. Epub 2017 Apr 25.
2
PCR-reverse dot blot human papillomavirus genotyping as a primary screening test for cervical cancer in a hospital-based cohort.基于医院队列的人乳头瘤病毒基因分型聚合酶链反应-反向斑点杂交作为宫颈癌的初筛试验。
J Gynecol Oncol. 2019 May;30(3):e29. doi: 10.3802/jgo.2019.30.e29.
3
Linear array genotyping and hybrid capture II assay in detecting human papillomavirus genotypes in women referred for colposcopy due to abnormal Papanicolaou smear.线性阵列基因分型和杂交捕获II检测法在因巴氏涂片异常而转诊接受阴道镜检查的女性中检测人乳头瘤病毒基因型。
Int J STD AIDS. 2008 Jun;19(6):385-92. doi: 10.1258/ijsa.2007.007259.
4
Liquid-based cytology and human papillomavirus testing: a pooled analysis using the data from 13 population-based cervical cancer screening studies from China.液基细胞学与人类乳头状瘤病毒检测:来自中国 13 项基于人群的宫颈癌筛查研究数据的汇总分析。
Gynecol Oncol. 2014 May;133(2):172-9. doi: 10.1016/j.ygyno.2014.03.008. Epub 2014 Mar 11.
5
Performance of carcinogenic human papillomavirus (HPV) testing and HPV16 or HPV18 genotyping for cervical cancer screening of women aged 25 years and older: a subanalysis of the ATHENA study.25 岁及以上女性宫颈癌筛查中致癌型人乳头瘤病毒(HPV)检测及 HPV16 或 HPV18 基因分型的性能:ATHENA 研究的一项亚组分析。
Lancet Oncol. 2011 Sep;12(9):880-90. doi: 10.1016/S1470-2045(11)70188-7. Epub 2011 Aug 22.
6
High-Risk HPV Testing in Primary Screening for Cervical Cancer in the Public Health System, São Paulo, Brazil.巴西圣保罗公共卫生系统中宫颈癌初级筛查的高危型 HPV 检测
Cancer Prev Res (Phila). 2019 Aug;12(8):539-546. doi: 10.1158/1940-6207.CAPR-19-0076. Epub 2019 Jun 12.
7
Human papillomavirus genotypes distribution by cervical cytologic status among women attending the General Hospital of Loandjili, Pointe-Noire, Southwest Congo (Brazzaville).洛安吉利总医院就诊女性宫颈细胞学检查结果与 HPV 基因型分布情况:刚果布(布拉柴维尔)西南洛安达。
J Med Virol. 2015 Oct;87(10):1769-76. doi: 10.1002/jmv.24221. Epub 2015 May 11.
8
Experience of Combined Liquid Based Cervical Cytology and High-Risk HPV mRNA for Cervical Cancer Screening in Thammasat University Hospital.泰国国立法政大学医院联合液基宫颈细胞学和高危型人乳头瘤病毒mRNA进行宫颈癌筛查的经验
Asian Pac J Cancer Prev. 2016;17(9):4409-4413.
9
Use of a high-risk human papillomavirus DNA test as the primary test in a cervical cancer screening programme: a population-based cohort study.高危型人乳头瘤病毒 DNA 检测作为宫颈癌筛查计划中的主要检测方法:一项基于人群的队列研究。
BJOG. 2013 Sep;120(10):1260-7; discussion 1267-8. doi: 10.1111/1471-0528.12272. Epub 2013 Jun 21.
10
[Performance of human papillomavirus typing test in cervical precancer lesions and cervical cancer screening].[人乳头瘤病毒分型检测在子宫颈癌前病变和子宫颈癌筛查中的性能]
Zhonghua Zhong Liu Za Zhi. 2020 Mar 23;42(3):252-256. doi: 10.3760/cma.j.cn112152-20190603-00346.

引用本文的文献

1
Prognostic Value of Systemic Inflammatory Response Markers for CIN2+ Recurrence After Loop Electrosurgical Excision Procedure: A Retrospective Cohort Study.环行电刀切除术治疗CIN2+后全身炎症反应标志物对复发的预后价值:一项回顾性队列研究
J Clin Med. 2025 Jun 8;14(12):4059. doi: 10.3390/jcm14124059.
2
Assessment of risk factors for high-grade cervical or endometrial lesions to triage women with AGC-FN: a retrospective study.评估高级别宫颈或子宫内膜病变的危险因素以对不典型腺细胞-非典型鳞状细胞不能明确意义(AGC-FN)的女性进行分流:一项回顾性研究。
BMC Womens Health. 2025 May 28;25(1):260. doi: 10.1186/s12905-025-03772-6.
3
Risk Factors of Positive Endocervical Curettage and Predictive Model Construction Based on Primary Human Papillomavirus Screening.

本文引用的文献

1
Atypical glandular cells and risk of cervical cancer.非典型腺细胞与宫颈癌风险
Lancet Oncol. 2016 Mar;17(3):e96. doi: 10.1016/S1470-2045(16)00112-1. Epub 2016 Feb 18.
2
Progression of HPV infection to detectable cervical lesions or clearance in adult women: Analysis of the control arm of the VIVIANE study.成人女性中人类乳头瘤病毒(HPV)感染进展为可检测到的宫颈病变或清除情况:VIVIANE研究对照组分析
Int J Cancer. 2016 May 15;138(10):2428-38. doi: 10.1002/ijc.29971.
3
Comparison of the Cobas 4800 HPV and HPV 9G DNA Chip Tests for Detection of High-Risk Human Papillomavirus in Cervical Specimens of Women with Consecutive Positive HPV Tests But Negative Pap Smears.
基于原发性人乳头瘤病毒筛查的宫颈管内膜刮术阳性危险因素及预测模型构建
Technol Cancer Res Treat. 2025 Jan-Dec;24:15330338241312573. doi: 10.1177/15330338241312573. Epub 2025 Mar 20.
4
Head-to-head comparison of 7 high-sensitive human papillomavirus nucleic acid detection technologies with the SPF10 LiPA-25 system.7种高灵敏度人乳头瘤病毒核酸检测技术与SPF10 LiPA-25系统的直接比较。
J Natl Cancer Cent. 2022 Jul 3;2(3):148-154. doi: 10.1016/j.jncc.2022.06.003. eCollection 2022 Sep.
5
Human papillomavirus genotype distribution patterns in Zimbabwe; is the bivalent vaccine sufficient?津巴布韦人乳头瘤病毒基因型分布模式;二价疫苗是否足够?
Intervirology. 2024 Apr 4;67(1):55-63. doi: 10.1159/000531347.
6
Risk of cervical intraepithelial neoplasia grade 3 or more diagnoses for human papillomavirus16/18-positive women by cytology and co-infection status.根据细胞学检查和合并感染状况,人乳头瘤病毒16/18阳性女性发生3级或更高级别宫颈上皮内瘤变诊断的风险。
Infect Agent Cancer. 2023 Oct 9;18(1):57. doi: 10.1186/s13027-023-00540-9.
7
Platelet-to-Lymphocyte Ratio (PLR) as the Prognostic Factor for Recurrence/Residual Disease in HSIL Patients After LEEP.血小板与淋巴细胞比值(PLR)作为HSIL患者LEEP术后复发/残留疾病的预后因素
J Inflamm Res. 2023 May 1;16:1923-1936. doi: 10.2147/JIR.S406082. eCollection 2023.
8
Prevalence of human papillomavirus genotypes and related cervical morphological results in southern Hunan Province of China, 2018-2020: Baseline measures at a tertiary institution prior to mass human papillomavirus vaccination.2018 - 2020年中国湖南省南部人乳头瘤病毒基因型流行情况及相关宫颈形态学结果:大规模人乳头瘤病毒疫苗接种前某三级医疗机构的基线测量
Front Microbiol. 2023 Jan 4;13:1094560. doi: 10.3389/fmicb.2022.1094560. eCollection 2022.
9
The prevalence of high-risk human papillomavirus genotypes and related risk factors among Iranian women.伊朗女性中高危型人乳头瘤病毒基因型的流行情况及相关危险因素。
J Med Life. 2022 Nov;15(11):1340-1346. doi: 10.25122/jml-2022-0031.
10
Prevalence of Human Papillomavirus Infection in the Female Partner of Infertile Couples Undergoing IVF/ICSI-ET and Subsequent Reproductive Outcomes.接受体外受精/卵胞浆内单精子注射-胚胎移植的不育夫妇女性伴侣中人乳头瘤病毒感染的患病率及后续生殖结局
J Clin Med. 2022 Dec 2;11(23):7185. doi: 10.3390/jcm11237185.
Cobas 4800人乳头瘤病毒(HPV)检测与HPV 9G DNA芯片检测在连续HPV检测阳性但巴氏涂片阴性的女性宫颈样本中检测高危型人乳头瘤病毒的比较
PLoS One. 2015 Oct 15;10(10):e0140336. doi: 10.1371/journal.pone.0140336. eCollection 2015.
4
Point-Counterpoint: Cervical Cancer Screening Should Be Done by Primary Human Papillomavirus Testing with Genotyping and Reflex Cytology for Women over the Age of 25 Years.针锋相对:25岁以上女性的宫颈癌筛查应通过人乳头瘤病毒(HPV)初筛、基因分型及必要时的细胞学检查来进行。
J Clin Microbiol. 2015 Sep;53(9):2798-804. doi: 10.1128/JCM.01087-15. Epub 2015 May 6.
5
Large cohort screening of G6PD deficiency and the mutational spectrum in the Dongguan District in Southern China.中国南方东莞市地区葡萄糖-6-磷酸脱氢酶(G6PD)缺乏症的大规模队列筛查及突变谱分析
PLoS One. 2015 Mar 16;10(3):e0120683. doi: 10.1371/journal.pone.0120683. eCollection 2015.
6
Early estimates of SEER cancer incidence for 2012: Approaches, opportunities, and cautions for obtaining preliminary estimates of cancer incidence.2012年监测、流行病学与最终结果(SEER)癌症发病率的早期估计:获取癌症发病率初步估计值的方法、机遇与注意事项
Cancer. 2015 Jun 15;121(12):2053-62. doi: 10.1002/cncr.29304. Epub 2015 Mar 4.
7
Use of primary high-risk human papillomavirus testing for cervical cancer screening: interim clinical guidance.用于宫颈癌筛查的主要高危型人乳头瘤病毒检测:临时临床指南。
Gynecol Oncol. 2015 Feb;136(2):178-82. doi: 10.1016/j.ygyno.2014.12.022. Epub 2015 Jan 8.
8
Human papillomavirus prevalence and type distribution among women attending routine gynecological examinations in Saudi Arabia.沙特阿拉伯接受常规妇科检查女性中的人乳头瘤病毒感染率及型别分布
BMC Infect Dis. 2014 Dec 14;14:643. doi: 10.1186/s12879-014-0643-8.
9
The diversity of human papillomavirus infection among human immunodeficiency virus-infected women in Yunnan, China.中国云南人类免疫缺陷病毒感染女性中人类乳头瘤病毒感染的多样性
Virol J. 2014 Dec 7;11:202. doi: 10.1186/s12985-014-0202-3.
10
An epidemiological study assessing the prevalence of human papillomavirus types in women in the Kingdom of Bahrain.一项评估巴林王国女性人乳头瘤病毒各型别流行率的流行病学研究。
BMC Cancer. 2014 Dec 3;14:905. doi: 10.1186/1471-2407-14-905.