Suppr超能文献

形态学上难以区分的地中海海绵的不同生物学特征

Contrasting biological features in morphologically cryptic Mediterranean sponges.

作者信息

Garate Leire, Blanquer Andrea, Uriz Maria J

机构信息

Department of Marine Ecology, Centre d'Estudis Avançats de Blanes (CEAB-CSIC), Blanes, Girona, Spain.

出版信息

PeerJ. 2017 Jun 29;5:e3490. doi: 10.7717/peerj.3490. eCollection 2017.

Abstract

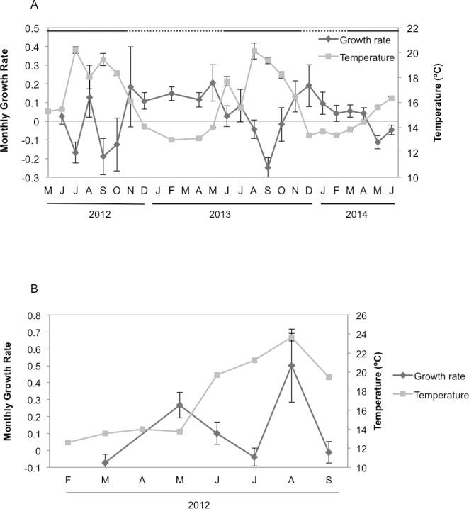
Sponges are key organisms in the marine benthos where they play essential roles in ecological processes such as creating new niches, competition for resources, and organic matter recycling. Despite the increasing number of taxonomical studies, many sponge species remain hidden, whether unnoticed or cryptic. The occurrence of cryptic species may confound ecological studies by underestimating biodiversity. In this study, we monitored photographically growth, fusions, fissions, and survival of two morphologically cryptic species Uriz, Garate & Agell, 2017 and (Bowerbank, 1874). Additionally, we characterized the main environmental factors of the corresponding species habitats, trying to ascertain whether some abiotic factors were correlated with the distribution of these species. Sponge monitoring was performed monthly. Seawater samples were collected the same monitoring days in the vicinity of the target sponges. Results showed contrasting growth and survival patterns for each species: totally disappeared after larval release while 64% of individuals of survived the entire two years we monitored. The species also differed in the number of fissions and fusions. These events were evenly distributed throughout the year in the population but concentrated in cold months in . No measured environmental factor correlated with growth rates, while temperature and dissolved organic nitrogen were negatively correlated with growth rates. The strong differences in depth distribution, survival, growth, fusions, and fissions found between these two cryptic species, highlights the importance of untangling cryptic species before ecological studies are performed in particular when these species share geographical distribution.

摘要

海绵是海洋底栖生物中的关键生物,它们在生态过程中发挥着重要作用,如创造新的生态位、资源竞争和有机物质循环。尽管分类学研究的数量不断增加,但许多海绵物种仍然隐匿,要么未被注意到,要么是隐性的。隐性物种的出现可能会因低估生物多样性而混淆生态研究。在本研究中,我们通过拍照监测了两种形态上隐性的物种(Uriz, Garate & Agell, 2017年)和(Bowerbank, 1874年)的生长、融合、裂变和存活情况。此外,我们对相应物种栖息地的主要环境因素进行了特征描述,试图确定某些非生物因素是否与这些物种的分布相关。海绵监测每月进行一次。在目标海绵附近的相同监测日采集海水样本。结果显示,每个物种的生长和存活模式形成对比:在幼体释放后完全消失,而在我们监测的整整两年中,64%的个体存活下来。这两个物种在裂变和融合的数量上也有所不同。这些事件在种群中全年均匀分布,但在种群中集中在寒冷月份。没有测量到的环境因素与的生长速率相关,而温度和溶解有机氮与的生长速率呈负相关。这两种隐性物种在深度分布、存活、生长、融合和裂变方面存在的巨大差异,凸显了在进行生态研究之前解开隐性物种之谜的重要性,特别是当这些物种共享地理分布时。

https://cdn.ncbi.nlm.nih.gov/pmc/blobs/f6b5/5493970/d47690567f81/peerj-05-3490-g001.jpg

文献检索

告别复杂PubMed语法,用中文像聊天一样搜索,搜遍4000万医学文献。AI智能推荐,让科研检索更轻松。

立即免费搜索

文件翻译

保留排版,准确专业,支持PDF/Word/PPT等文件格式,支持 12+语言互译。

免费翻译文档

深度研究

AI帮你快速写综述,25分钟生成高质量综述,智能提取关键信息,辅助科研写作。

立即免费体验