Shin Jaeyong, Choi Young, Kim Seung Woo, Lee Sang Gyu, Park Eun-Cheol
Department of Preventive Medicine, Yonsei University, College of Medicine, Seoul, South Korea; Institute of Health Services Research, Yonsei University, College of Medicine, Seoul, South Korea; Department of Public Health, Yonsei University Graduate School, Seoul, South Korea.
Institute of Health Services Research, Yonsei University, College of Medicine, Seoul, South Korea; Department of Public Health, Yonsei University Graduate School, Seoul, South Korea.
J Epidemiol. 2017 Aug;27(8):381-388. doi: 10.1016/j.je.2016.08.020. Epub 2017 Jul 5.
The literature on stroke mortality and neighborhood effect is characterized by studies that are often Western society-oriented, with a lack of racial and cultural diversity. We estimated the effect of cross-level interaction between individual and regional socioeconomic status on the survival after onset of ischemic stroke.
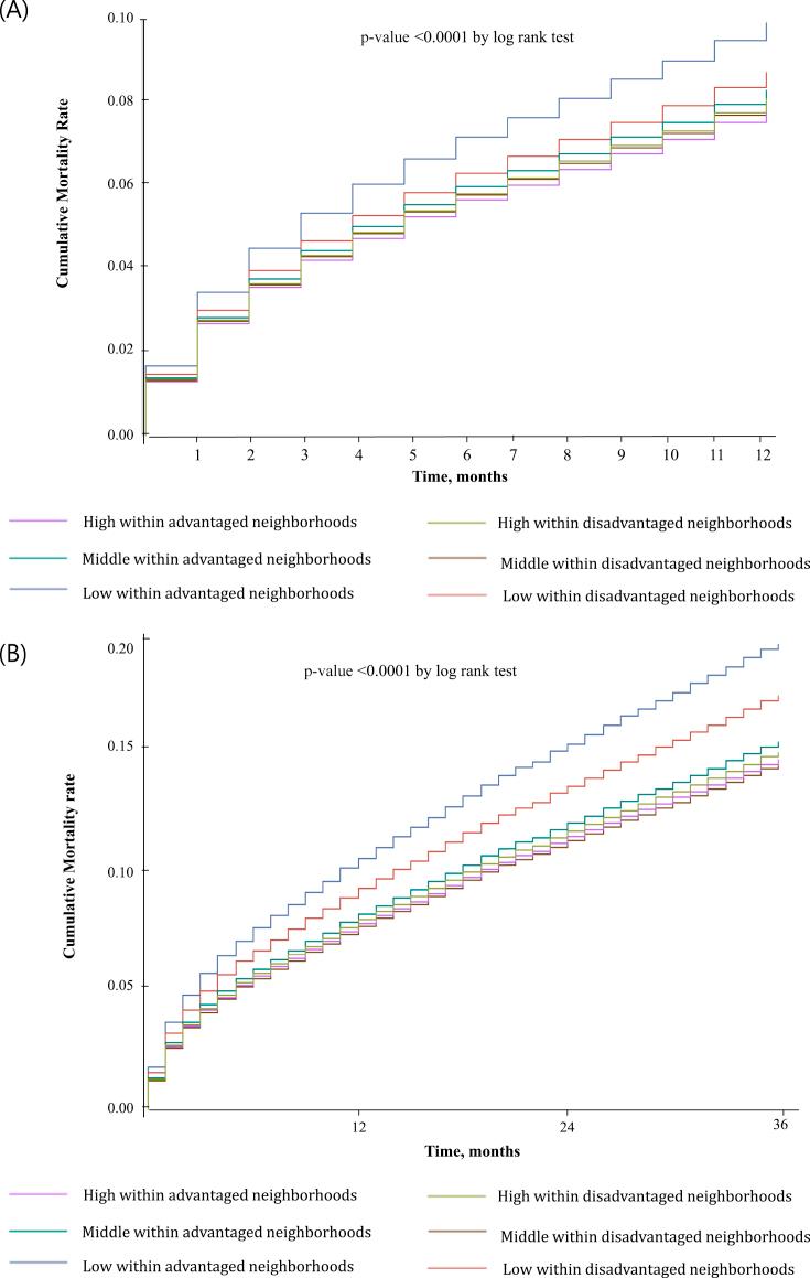
We selected newly diagnosed ischemic stroke patients from 2002 to 2013 using stratified representative sampling data of 1,025,340 subjects. A total of 37,044 patients over the 10 years from 2004 to 2013 had newly diagnosed stroke. We calculated hazard ratios (HR) of 12- and 36-month mortality using the Cox proportional hazard model, with the reference group as stroke patients with high income in advantaged regions.
For the middle income level, the patients in advantaged regions showed low HRs for overall mortality (12-month HR 1.27; 95% confidence interval [CI], 1.13-1.44; 36-month HR 1.25; 95% CI, 1.14-1.37) compared to the others in disadvantaged regions (12-month HR 1.36; 95% CI, 1.19-1.56; 36-month HR 1.30; 95% CI, 1.17-1.44). Interestingly, for the low income level, the patients in advantaged regions showed high HRs for overall mortality (12-month HR 1.27; 95% CI, 1.13-1.44; 36-month HR 1.33; 95% CI, 1.22-1.46) compared to the others in disadvantaged regions (12-month HR 1.25; 95% CI, 1.09-1.43; 36-month HR 1.30; 95% CI, 1.18-1.44).
Although we need to perform further investigations to determine the exact mechanisms, regional deprivation, as well as medical factors, might be associated with survival after onset of ischemic stroke in low-income patients.
关于中风死亡率和邻里效应的文献往往以西方社会为导向,缺乏种族和文化多样性。我们估计了个体和区域社会经济地位之间的跨层次相互作用对缺血性中风发病后生存率的影响。
我们使用1,025,340名受试者的分层代表性抽样数据,选取了2002年至2013年新诊断的缺血性中风患者。在2004年至2013年的10年中,共有37,044名患者新诊断为中风。我们使用Cox比例风险模型计算了12个月和36个月死亡率的风险比(HR),参照组为优势地区高收入的中风患者。
对于中等收入水平,与劣势地区的其他患者相比,优势地区的患者总体死亡率的HR较低(12个月HR为1.27;95%置信区间[CI],1.13 - 1.44;36个月HR为1.25;95%CI,1.14 - 1.37)(12个月HR为1.36;95%CI,1.19 - 1.56;36个月HR为1.30;95%CI,1.17 - 1.44)。有趣的是,对于低收入水平,与劣势地区的其他患者相比,优势地区的患者总体死亡率的HR较高(12个月HR为1.27;95%CI,1.13 - 1.44;36个月HR为1.33;95%CI,1.22 - 1.46)(12个月HR为1.25;95%CI,1.09 - 1.43;36个月HR为1.30;95%CI,1.18 - 1.44)。
尽管我们需要进一步研究以确定确切机制,但区域贫困以及医疗因素可能与低收入患者缺血性中风发病后的生存率相关。