Suppr超能文献

泰国某郊区基于人群的宫颈细胞学检查结果与人乳头瘤病毒感染研究。

A population-based study of cervical cytology findings and human papillomavirus infection in a suburban area of Thailand.

作者信息

Phoolcharoen Natacha, Kantathavorn Nuttavut, Sricharunrat Thaniya, Saeloo Siriporn, Krongthong Waraphorn

机构信息

Chulabhorn Hospital, HRH Princess Chulabhorn College of Medical Science, Chulabhorn Royal Academy, 54 Kamphaengphet 6 Road, Laksi, Bangkok 10210, Thailand.

出版信息

Gynecol Oncol Rep. 2017 Jul 4;21:73-77. doi: 10.1016/j.gore.2017.06.003. eCollection 2017 Aug.

Abstract

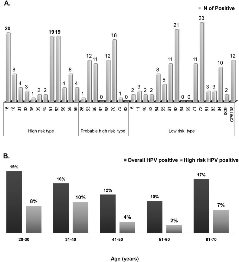
Despite the high incidence of cervical cancer in Thailand, large population-based studies on cervical cytology and HPV prevalence and genotype distribution are rare. This study aimed to determine cervical cytology results and the prevalence and distribution of HPV among Thai females in Bangkhayaeng subdistrict, Pathumthani province, Thailand. Of 4681 female inhabitants, aged 20-70 years, 1523 women finally participated in the study. Cervical samples using liquid-based cytology were collected during February-August 2013 and analyzed for HPV genotype by the LINEAR ARRAY® HPV Genotyping Test (Roche, USA). All participants with abnormal cytology or HPV positivity underwent colposcopy and biopsy. Of 1523 eligible women, 4.1% had abnormal cytology including ASC-US (2.4%), LSIL (1.0%), and HSIL (0.5%). The HPV infection rate was 13.7%. The prevalences of high-risk, probable high-risk, and low-risk HPV types were 5.6%, 3.5%, and 6.8%, respectively. The most common high-risk HPV types detected were HPV-16 (1.31%), HPV-51 (1.25%), and HPV-52 (1.25%). The most common probable high-risk and low-risk HPV types detected were HPV-72 (1.51%), HPV-62 (1.38%), and HPV-70 (1.18%). The rates of CIN2-3 and cancer in this cohort were 1.4% and 0.3%, respectively. In conclusion, HPV prevalence in this study was lower than reported in studies conducted in Western countries or other Asia countries, despite the high prevalence of CIN2 + and cancer. HPV type screening results of the general population in Bangkhayaeng subdistrict were similar to those reported in other countries, with HPV-16 the most common type. However, higher frequencies of HPV-51 and HPV-52 were observed. Despite the availability of a free screening program in this area, the participation rate remains low.

摘要

尽管泰国宫颈癌发病率很高,但基于大规模人群的宫颈细胞学及HPV流行率和基因型分布的研究却很罕见。本研究旨在确定泰国巴吞他尼府邦卡扬分区泰国女性的宫颈细胞学检查结果以及HPV的流行率和分布情况。在4681名年龄在20至70岁的女性居民中,最终有1523名女性参与了研究。2013年2月至8月期间采集了采用液基细胞学的宫颈样本,并通过线性阵列®HPV基因分型检测(美国罗氏公司)对HPV基因型进行分析。所有细胞学异常或HPV阳性的参与者均接受了阴道镜检查和活检。在1523名符合条件的女性中,4.1%有细胞学异常,包括非典型鳞状细胞意义不明确(ASC-US,2.4%)、低度鳞状上皮内病变(LSIL,1.0%)和高度鳞状上皮内病变(HSIL,0.5%)。HPV感染率为13.7%。高危、可能高危和低危HPV类型的流行率分别为5.6%、3.5%和6.8%。检测到的最常见高危HPV类型为HPV-16(1.31%)、HPV-51(1.25%)和HPV-52(1.25%)。检测到的最常见可能高危和低危HPV类型为HPV-72(1.51%)、HPV-62(1.38%)和HPV-70(1.18%)。该队列中CIN2-3和癌症的发生率分别为1.4%和0.3%。总之,尽管CIN2+和癌症的患病率很高,但本研究中的HPV流行率低于西方国家或其他亚洲国家的研究报告。邦卡扬分区普通人群的HPV类型筛查结果与其他国家报告的结果相似,HPV-16是最常见类型。然而,观察到HPV-51和HPV-52的频率更高。尽管该地区有免费筛查项目,但参与率仍然很低。

https://cdn.ncbi.nlm.nih.gov/pmc/blobs/d50a/5506866/c2ca83aae06f/gr1.jpg

文献AI研究员

20分钟写一篇综述,助力文献阅读效率提升50倍。

立即体验

用中文搜PubMed

大模型驱动的PubMed中文搜索引擎

马上搜索

文档翻译

学术文献翻译模型,支持多种主流文档格式。

立即体验