Suppr超能文献

脑死亡所致肺损伤的机械性与体液性决定因素

Mechanical versus humoral determinants of brain death-induced lung injury.

作者信息

Belhaj Asmae, Dewachter Laurence, Rorive Sandrine, Remmelink Myriam, Weynand Birgit, Melot Christian, Hupkens Emeline, Dewachter Céline, Creteur Jacques, Mc Entee Kathleen, Naeije Robert, Rondelet Benoît

机构信息

Department of Cardio-Vascular, Thoracic Surgery and Lung Transplantation, CHU UcL Namur, Université Catholique de Louvain, Yvoir, Belgium.

Laboratory of Physiology and Pharmacology, Faculty of Medicine, Université Libre de Bruxelles, Brussels, Belgium.

出版信息

PLoS One. 2017 Jul 28;12(7):e0181899. doi: 10.1371/journal.pone.0181899. eCollection 2017.

Abstract

BACKGROUND

The mechanisms of brain death (BD)-induced lung injury remain incompletely understood, as uncertainties persist about time-course and relative importance of mechanical and humoral perturbations.

METHODS

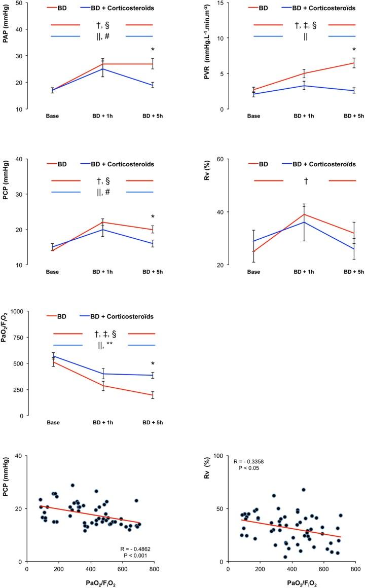
Brain death was induced by slow intracranial blood infusion in anesthetized pigs after randomization to placebo (n = 11) or to methylprednisolone (n = 8) to inhibit the expression of pro-inflammatory mediators. Pulmonary artery pressure (PAP), wedged PAP (PAWP), pulmonary vascular resistance (PVR) and effective pulmonary capillary pressure (PCP) were measured 1 and 5 hours after Cushing reflex. Lung tissue was sampled to determine gene expressions of cytokines and oxidative stress molecules, and pathologically score lung injury.

RESULTS

Intracranial hypertension caused a transient increase in blood pressure followed, after brain death was diagnosed, by persistent increases in PAP, PCP and the venous component of PVR, while PAWP did not change. Arterial PO2/fraction of inspired O2 (PaO2/FiO2) decreased. Brain death was associated with an accumulation of neutrophils and an increased apoptotic rate in lung tissue together with increased pro-inflammatory interleukin (IL)-6/IL-10 ratio and increased heme oxygenase(HO)-1 and hypoxia inducible factor(HIF)-1 alpha expression. Blood expressions of IL-6 and IL-1β were also increased. Methylprednisolone pre-treatment was associated with a blunting of increased PCP and PVR venous component, which returned to baseline 5 hours after BD, and partially corrected lung tissue biological perturbations. PaO2/FiO2 was inversely correlated to PCP and lung injury score.

CONCLUSIONS

Brain death-induced lung injury may be best explained by an initial excessive increase in pulmonary capillary pressure with increased pulmonary venous resistance, and was associated with lung activation of inflammatory apoptotic processes which were partially prevented by methylprednisolone.

摘要

背景

脑死亡(BD)所致肺损伤的机制仍未完全明确,因为机械性和体液性干扰的时间进程及相对重要性仍存在不确定性。

方法

将麻醉猪随机分为安慰剂组(n = 11)或甲基泼尼松龙组(n = 8)以抑制促炎介质表达,通过缓慢颅内输血诱导脑死亡。在库欣反射后1小时和5小时测量肺动脉压(PAP)、楔压肺动脉压(PAWP)、肺血管阻力(PVR)和有效肺毛细血管压(PCP)。采集肺组织样本以测定细胞因子和氧化应激分子的基因表达,并对肺损伤进行病理评分。

结果

颅内高压导致血压短暂升高,在诊断脑死亡后,PAP、PCP和PVR的静脉成分持续升高,而PAWP未改变。动脉血氧分压/吸入氧分数(PaO2/FiO2)降低。脑死亡与肺组织中中性粒细胞聚集、凋亡率增加以及促炎白细胞介素(IL)-6/IL-10比值升高、血红素加氧酶(HO)-1和缺氧诱导因子(HIF)-1α表达增加有关。血液中IL-6和IL-1β的表达也增加。甲基泼尼松龙预处理与PCP和PVR静脉成分升高的减弱有关,BD后5小时恢复至基线,并部分纠正了肺组织的生物学干扰。PaO2/FiO2与PCP和肺损伤评分呈负相关。

结论

脑死亡所致肺损伤最好的解释可能是肺毛细血管压最初过度升高伴肺静脉阻力增加,并与炎症凋亡过程的肺激活有关,甲基泼尼松龙可部分预防这种情况。

https://cdn.ncbi.nlm.nih.gov/pmc/blobs/671e/5533440/1adab12c8478/pone.0181899.g001.jpg

文献AI研究员

20分钟写一篇综述,助力文献阅读效率提升50倍。

立即体验

用中文搜PubMed

大模型驱动的PubMed中文搜索引擎

马上搜索

文档翻译

学术文献翻译模型,支持多种主流文档格式。

立即体验