• 文献检索
  • 文档翻译
  • 深度研究
  • 学术资讯
  • Suppr Zotero 插件Zotero 插件
  • 邀请有礼
  • 套餐&价格
  • 历史记录
应用&插件
Suppr Zotero 插件Zotero 插件浏览器插件Mac 客户端Windows 客户端微信小程序
定价
高级版会员购买积分包购买API积分包
服务
文献检索文档翻译深度研究API 文档MCP 服务
关于我们
关于 Suppr公司介绍联系我们用户协议隐私条款
关注我们

Suppr 超能文献

核心技术专利:CN118964589B侵权必究
粤ICP备2023148730 号-1Suppr @ 2026

文献检索

告别复杂PubMed语法,用中文像聊天一样搜索,搜遍4000万医学文献。AI智能推荐,让科研检索更轻松。

立即免费搜索

文件翻译

保留排版,准确专业,支持PDF/Word/PPT等文件格式,支持 12+语言互译。

免费翻译文档

深度研究

AI帮你快速写综述,25分钟生成高质量综述,智能提取关键信息,辅助科研写作。

立即免费体验

错配修复基因突变与林奇综合征发病年龄的关联:对分层监测策略的影响。

Association of Mismatch Repair Mutation With Age at Cancer Onset in Lynch Syndrome: Implications for Stratified Surveillance Strategies.

机构信息

Division of Molecular and Clinical Cancer Sciences, Faculty of Biology, Medicine and Health, University of Manchester, St Mary’s Hospital, Manchester, England

Division of Evolution and Genomic Sciences, University of Manchester, St Mary’s Hospital, Manchester, England

出版信息

JAMA Oncol. 2017 Dec 1;3(12):1702-1706. doi: 10.1001/jamaoncol.2017.0619.

DOI:10.1001/jamaoncol.2017.0619
PMID:28772289
原文链接:https://pmc.ncbi.nlm.nih.gov/articles/PMC5824283/
Abstract

IMPORTANCE

Lynch syndrome is caused by dominantly inherited germline mutations that predispose individuals to colorectal, endometrial, ovarian, and other cancers through inactivation of the cellular mismatch repair system. Lynch syndrome–associated cancers are amenable to surveillance strategies that may improve survival. The age at which surveillance should start is disputed.

OBJECTIVE

To determine whether mutated gene and type of mutation influence age at onset of Lynch syndrome–associated cancers.

DESIGN, SETTING, AND PARTICIPANTS: A retrospective cohort study of individuals with Lynch syndrome–associated colorectal, endometrial, and/or ovarian cancers whose medical records were included in the clinical database of a large quaternary referral center for genomic medicine in the Northwest of England.

EXPOSURES

Mutated gene (MLH1, MSH2, MSH6, and/or PMS2) and type of mutation (truncating, splicing, or large rearrangement).

MAIN OUTCOMES AND MEASURES

Age at cancer diagnosis.

RESULTS

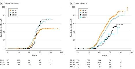
A total of 1063 individuals with proven Lynch syndrome were included, 495 male and 568 female (mean age 52 years; age range, 10-93 years [children were included in the database, but no children developed cancer]). There were 546 men and women with colorectal cancer, 162 women with endometrial cancer, and 49 women with ovarian cancer; mean follow-up was 68.2 months. Among MLH1 mutation carriers, mutations in MLH1 were associated with colorectal cancer in 249 (61%) of 409 men and women; endometrial cancer in 53 of 196 (27%) women; and ovarian cancer in 15 (8%) of 196 women. Among MSH2 mutation carriers, mutations in MSH2 (the most prevalent mutations overall) were most commonly associated with female-specific cancers: endometrial cancer in 83 (30%) of 279 women; ovarian cancer in 28 (10%) of 279 women; and colorectal cancer in 239 (50%) 479 men and women. Mutations in MSH6 were less prevalent, and MSH6 mutation carriers presented with colorectal and endometrial cancer at later ages than carriers of mutations in MSH2 or MLH1. When stratified by mutation type, women with truncating MLH1 mutations had later ages of onset of endometrial cancer than those with nontruncating mutations (median difference, 6.6 years; 95% CI, 2.7-10.4; P = .002). Carriers of truncating MLH1 mutations presented with colorectal cancer at later ages than those with other mutations, but the difference was not statistically significant.

CONCLUSIONS AND RELEVANCE

Individuals with known Lynch syndrome could be risk stratified by mutated gene and mutation type in tailored surveillance programs. Specifically, individuals with MSH6 mutations could be offered cancer surveillance from a later age. Furthermore, those with truncating MLH1 mutations could begin endometrial cancer surveillance later than those with nontruncating mutations.

摘要

重要性

林奇综合征是由显性遗传的种系突变引起的,通过细胞错配修复系统的失活,使个体易患结直肠、子宫内膜、卵巢和其他癌症。林奇综合征相关的癌症可以通过监测策略来治疗,这可能会提高生存率。开始监测的年龄存在争议。

目的

确定突变基因和突变类型是否会影响林奇综合征相关癌症的发病年龄。

设计、地点和参与者:这是一项对在英国西北部一家大型四级基因组医学转诊中心的临床数据库中记录有林奇综合征相关结直肠、子宫内膜和/或卵巢癌的个体进行的回顾性队列研究。

暴露情况

突变基因(MLH1、MSH2、MSH6 和/或 PMS2)和突变类型(截断、剪接或大片段重排)。

主要结果和措施

癌症诊断时的年龄。

结果

共纳入 1063 名经证实的林奇综合征患者,其中男性 495 名,女性 568 名(平均年龄 52 岁;年龄范围为 10-93 岁[数据库中包括儿童,但没有儿童患癌症])。546 名男性和女性患有结直肠癌,162 名女性患有子宫内膜癌,49 名女性患有卵巢癌;中位随访时间为 68.2 个月。在 MLH1 突变携带者中,MLH1 中的突变与 409 名男性和女性中的 249 例(61%)结直肠癌相关;196 名女性中的 53 例(27%)子宫内膜癌;196 名女性中的 15 例(8%)卵巢癌。在 MSH2 突变携带者中,MSH2 中的突变(总体上最常见的突变)最常与女性特异性癌症相关:279 名女性中的 83 例(30%)子宫内膜癌;279 名女性中的 28 例(10%)卵巢癌;479 名男性和女性中的 239 例(50%)结直肠癌。MSH6 突变较少见,携带 MSH6 突变的患者比携带 MSH2 或 MLH1 突变的患者发病年龄更大。按突变类型分层时,携带截断 MLH1 突变的女性子宫内膜癌发病年龄晚于非截断突变者(中位数差异,6.6 岁;95%CI,2.7-10.4;P = .002)。携带截断 MLH1 突变的患者比其他突变者结直肠癌发病年龄更大,但差异无统计学意义。

结论和相关性

已知患有林奇综合征的个体可根据突变基因和突变类型进行风险分层,以制定个体化的监测方案。具体来说,MSH6 突变携带者可以在较晚的年龄接受癌症监测。此外,携带截断 MLH1 突变的患者比携带非截断突变的患者开始子宫内膜癌监测的年龄更晚。

https://cdn.ncbi.nlm.nih.gov/pmc/blobs/af73/5824283/218da7f5d971/jamaoncol-3-1702-g001.jpg
https://cdn.ncbi.nlm.nih.gov/pmc/blobs/af73/5824283/218da7f5d971/jamaoncol-3-1702-g001.jpg
https://cdn.ncbi.nlm.nih.gov/pmc/blobs/af73/5824283/218da7f5d971/jamaoncol-3-1702-g001.jpg

相似文献

1
Association of Mismatch Repair Mutation With Age at Cancer Onset in Lynch Syndrome: Implications for Stratified Surveillance Strategies.错配修复基因突变与林奇综合征发病年龄的关联:对分层监测策略的影响。
JAMA Oncol. 2017 Dec 1;3(12):1702-1706. doi: 10.1001/jamaoncol.2017.0619.
2
Cancer incidence and survival in Lynch syndrome patients receiving colonoscopic and gynaecological surveillance: first report from the prospective Lynch syndrome database.接受结肠镜和妇科监测的林奇综合征患者的癌症发病率和生存率:来自前瞻性林奇综合征数据库的首次报告。
Gut. 2017 Mar;66(3):464-472. doi: 10.1136/gutjnl-2015-309675. Epub 2015 Dec 9.
3
Universal screening for Lynch syndrome in endometrial cancers: frequency of germline mutations and identification of patients with Lynch-like syndrome.林奇综合征在子宫内膜癌中的普遍筛查:种系突变的频率及林奇样综合征患者的鉴定。
Hum Pathol. 2017 Dec;70:121-128. doi: 10.1016/j.humpath.2017.10.022. Epub 2017 Oct 28.
4
Cancer-risk by family history and mismatch-repair mutation in Lynch syndrome.林奇综合征中家族史和错配修复基因突变与癌症风险的关系。
Scand J Gastroenterol. 2020 Jun;55(6):701-705. doi: 10.1080/00365521.2020.1766553. Epub 2020 May 24.
5
Cancer risks associated with germline mutations in MLH1, MSH2, and MSH6 genes in Lynch syndrome.林奇综合征中 MLH1、MSH2 和 MSH6 基因种系突变与癌症风险的相关性。
JAMA. 2011 Jun 8;305(22):2304-10. doi: 10.1001/jama.2011.743.
6
Associations of Pathogenic Variants in MLH1, MSH2, and MSH6 With Risk of Colorectal Adenomas and Tumors and With Somatic Mutations in Patients With Lynch Syndrome.MLH1、MSH2 和 MSH6 中的致病性变异与林奇综合征患者结直肠腺瘤和肿瘤的风险及体细胞突变的相关性。
Gastroenterology. 2020 Apr;158(5):1326-1333. doi: 10.1053/j.gastro.2019.12.032. Epub 2020 Jan 8.
7
Mismatch repair gene mutation spectrum in the Swedish Lynch syndrome population.瑞典林奇综合征人群中的错配修复基因突变谱。
Oncol Rep. 2016 Nov;36(5):2823-2835. doi: 10.3892/or.2016.5060. Epub 2016 Sep 1.
8
Prospective determination of prevalence of lynch syndrome in young women with endometrial cancer.对年轻子宫内膜癌女性林奇综合征患病率的前瞻性测定。
J Clin Oncol. 2007 Nov 20;25(33):5158-64. doi: 10.1200/JCO.2007.10.8597. Epub 2007 Oct 9.
9
Combined Microsatellite Instability, MLH1 Methylation Analysis, and Immunohistochemistry for Lynch Syndrome Screening in Endometrial Cancers From GOG210: An NRG Oncology and Gynecologic Oncology Group Study.联合微卫星不稳定性、MLH1甲基化分析及免疫组织化学用于妇科肿瘤学组GOG210子宫内膜癌林奇综合征筛查:一项NRG肿瘤学与妇科肿瘤学组研究
J Clin Oncol. 2015 Dec 20;33(36):4301-8. doi: 10.1200/JCO.2015.63.9518. Epub 2015 Nov 9.
10
Lower incidence of colorectal cancer and later age of disease onset in 27 families with pathogenic MSH6 germline mutations compared with families with MLH1 or MSH2 mutations: the German Hereditary Nonpolyposis Colorectal Cancer Consortium.与携带MLH1或MSH2突变的家族相比,27个携带致病性MSH6种系突变的家族中结直肠癌发病率较低且发病年龄较晚:德国遗传性非息肉病性结直肠癌联盟
J Clin Oncol. 2004 Nov 15;22(22):4486-94. doi: 10.1200/JCO.2004.02.033. Epub 2004 Oct 13.

引用本文的文献

1
RNA G-quadruplexes: emerging regulators of gene expression and therapeutic targets.RNA G-四链体:基因表达的新兴调节因子和治疗靶点。
Funct Integr Genomics. 2025 Jul 3;25(1):143. doi: 10.1007/s10142-025-01656-4.
2
Fertility-sparing treatment outcomes using immune checkpoint inhibitors in endometrial cancer patients with Lynch syndrome.林奇综合征子宫内膜癌患者使用免疫检查点抑制剂的保留生育功能治疗结果
J Gynecol Oncol. 2025 Jul;36(4):e59. doi: 10.3802/jgo.2025.36.e59. Epub 2025 Jan 3.
3
Colorectal Neoplasia Detection Rates in Lynch Syndrome.

本文引用的文献

1
Pathological features and clinical behavior of Lynch syndrome-associated ovarian cancer.林奇综合征相关卵巢癌的病理特征与临床行为
Gynecol Oncol. 2017 Mar;144(3):491-495. doi: 10.1016/j.ygyno.2017.01.005. Epub 2017 Jan 6.
2
Cancer incidence and survival in Lynch syndrome patients receiving colonoscopic and gynaecological surveillance: first report from the prospective Lynch syndrome database.接受结肠镜和妇科监测的林奇综合征患者的癌症发病率和生存率:来自前瞻性林奇综合征数据库的首次报告。
Gut. 2017 Mar;66(3):464-472. doi: 10.1136/gutjnl-2015-309675. Epub 2015 Dec 9.
3
American Gastroenterological Association Institute Guideline on the Diagnosis and Management of Lynch Syndrome.
林奇综合征中的结直肠肿瘤检测率
Cancers (Basel). 2024 Nov 30;16(23):4021. doi: 10.3390/cancers16234021.
4
Anticipation in families with MLH1-associated Lynch syndrome.与MLH1相关的林奇综合征家族中的遗传早现现象。
Cancer. 2025 Jan 1;131(1):e35589. doi: 10.1002/cncr.35589. Epub 2024 Oct 22.
5
Advantages of Robotic Surgery for Patients of Reproductive Age with Endometrial Cancer.机器人手术对育龄期子宫内膜癌患者的优势。
Life (Basel). 2024 Sep 3;14(9):1108. doi: 10.3390/life14091108.
6
Screening Strategies to Improve Early Diagnosis in Endometrial Cancer.改善子宫内膜癌早期诊断的筛查策略
J Clin Med. 2024 Sep 13;13(18):5445. doi: 10.3390/jcm13185445.
7
Cervicovaginal specimen biomarkers for early detection of ovarian and endometrial cancer: A review.宫颈阴道标本生物标志物在卵巢癌和子宫内膜癌早期检测中的应用:综述。
Cancer Med. 2024 Jul;13(14):e70000. doi: 10.1002/cam4.70000.
8
Colorectal cancer and advanced adenoma characteristics according to causative mismatch repair gene variant in Japanese colorectal surveillance for Lynch syndrome.基于林奇综合征日本结直肠监测中致错错配修复基因突变的结直肠癌和高级腺瘤特征。
J Gastroenterol. 2024 Aug;59(8):699-708. doi: 10.1007/s00535-024-02128-5. Epub 2024 Jun 21.
9
Mutations in Mismatch Repair Genes and Microsatellite Instability Status in Pancreatic Cancer.胰腺癌中错配修复基因的突变与微卫星不稳定性状态
Cancers (Basel). 2024 May 31;16(11):2111. doi: 10.3390/cancers16112111.
10
Impact of hormonal contraception on endometrial histology in patients with Lynch syndrome, a retrospective pilot study.林奇综合征患者激素避孕对子宫内膜组织学的影响:一项回顾性初步研究。
Fam Cancer. 2024 Nov;23(4):523-529. doi: 10.1007/s10689-024-00387-y. Epub 2024 Apr 30.
美国胃肠病学会关于林奇综合征诊断与管理的指南
Gastroenterology. 2015 Sep;149(3):777-82; quiz e16-7. doi: 10.1053/j.gastro.2015.07.036. Epub 2015 Jul 27.
4
Colonoscopy screening compliance and outcomes in patients with Lynch syndrome.林奇综合征患者的结肠镜筛查依从性及结果
Colorectal Dis. 2015 Jan;17(1):38-46. doi: 10.1111/codi.12778.
5
Guidelines on genetic evaluation and management of Lynch syndrome: a consensus statement by the US Multi-Society Task Force on colorectal cancer.林奇综合征遗传评估与管理指南:美国结直肠多学会工作组共识声明。
Gastroenterology. 2014 Aug;147(2):502-26. doi: 10.1053/j.gastro.2014.04.001.
6
A pooled analysis of the outcome of prospective colonoscopic surveillance for familial colorectal cancer.家族性结直肠癌前瞻性结肠镜监测结果的汇总分析。
Int J Cancer. 2014 Feb 15;134(4):939-47. doi: 10.1002/ijc.28397. Epub 2013 Aug 29.
7
A systematic review of gynecological cancer surveillance in women belonging to hereditary nonpolyposis colorectal cancer (Lynch syndrome) families.针对遗传性非息肉病性结直肠癌(林奇综合征)家族女性的妇科癌症监测的系统评价。
Acta Obstet Gynecol Scand. 2011 May;90(5):437-44. doi: 10.1111/j.1600-0412.2011.01091.x. Epub 2011 Mar 16.
8
Risk assessment, genetic testing, and management of Lynch syndrome.林奇综合征的风险评估、基因检测与管理。
J Natl Compr Canc Netw. 2010 Jan;8(1):98-105. doi: 10.6004/jnccn.2010.0006.
9
May a missense mutation be more deleterious than a truncating mutation?错义突变会比截短突变更具危害性吗?
IUBMB Life. 2008 Jan;60(1):79-81. doi: 10.1002/iub.2.
10
Recommendations for the care of individuals with an inherited predisposition to Lynch syndrome: a systematic review.林奇综合征遗传易感性个体的护理建议:一项系统综述
JAMA. 2006 Sep 27;296(12):1507-17. doi: 10.1001/jama.296.12.1507.