Wu Zhi, Huang Rong-Rong, Yu Hang, Xie Yong-Chun, Lv Xiao-Yan, Su Jing, Long Yun-Fei, Wen Yan-Xuan
School of Chemistry and Chemical Engineering, Guangxi University, Nanning 530004, China.
The New Rural Development Research Institute, Guangxi University, Nanning 530004, China.
Materials (Basel). 2017 Feb 6;10(2):134. doi: 10.3390/ma10020134.
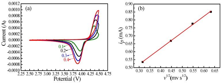
Olivine-type LiMnPO₄/C nanorods were successfully synthesized in a chloride/ethylene glycol-based deep eutectic solvent (DES) at 130 °C for 4 h under atmospheric pressure. As-synthesized samples were characterized by X-ray diffraction (XRD), scanning electron microscopy (SEM), transmission electron microscopy (TEM), Raman spectroscopy, Fourier transform infrared spectroscopy (FTIR) and electrochemical tests. The prepared LiMnPO₄/C nanorods were coated with a thin carbon layer (approximately 3 nm thick) on the surface and had a length of 100-150 nm and a diameter of 40-55 nm. The prepared rod-like LiMnPO₄/C delivered a discharge capacity of 128 mAh·g with a capacity retention ratio of approximately 93% after 100 cycles at 1 C. Even at 5 C, it still had a discharge capacity of 106 mAh·g, thus exhibiting good rate performance and cycle stability. These results demonstrate that the chloride/ethylene glycol-based deep eutectic solvents (DES) can act as a new crystal-face inhibitor to adjust the oriented growth and morphology of LiMnPO₄. Furthermore, deep eutectic solvents provide a new approach in which to control the size and morphology of the particles, which has a wide application in the synthesis of electrode materials with special morphology.
在常压下,于130℃的氯化物/乙二醇基低共熔溶剂(DES)中成功合成了橄榄石型LiMnPO₄/C纳米棒,反应4小时。采用X射线衍射(XRD)、扫描电子显微镜(SEM)、透射电子显微镜(TEM)、拉曼光谱、傅里叶变换红外光谱(FTIR)和电化学测试对合成后的样品进行了表征。制备的LiMnPO₄/C纳米棒表面包覆有一层约3nm厚的薄碳层,长度为100 - 150nm,直径为40 - 55nm。制备的棒状LiMnPO₄/C在1C下100次循环后的放电容量为128mAh·g,容量保持率约为93%。即使在5C时,其放电容量仍为106mAh·g,因此表现出良好的倍率性能和循环稳定性。这些结果表明,氯化物/乙二醇基低共熔溶剂(DES)可作为一种新型的晶面抑制剂来调节LiMnPO₄的定向生长和形貌。此外,低共熔溶剂提供了一种控制颗粒尺寸和形貌的新方法,在特殊形貌电极材料的合成中具有广泛应用。