Suppr超能文献

接受生物制剂治疗的类风湿关节炎患者与未接受生物制剂治疗的患者间肺孢子菌肺炎临床特征的比较

Comparison of the Clinical Characteristics of Pneumocystis Pneumonia between Patients with Rheumatoid Arthritis Being Treated with Biologics and Those Being Treated without Biologics.

作者信息

Akiyama Mitsuhiro, Kaneko Yuko, Takeuchi Tsutomu

机构信息

Division of Rheumatology, Department of Internal Medicine, Keio University School of Medicine, Tokyo, Japan.

出版信息

Biomed Res Int. 2017;2017:3710652. doi: 10.1155/2017/3710652. Epub 2017 Jul 12.

Abstract

OBJECTIVE

The aim of this study was to compare the clinical characteristics of pneumocystis pneumonia (PCP) between patients with rheumatoid arthritis (RA) being treated with biologics and those being treated without biologics.

METHODS

From 8,630 patients with RA in our institution, we enrolled 24 patients who had developed PCP during the course of their treatment. They were divided into two groups according to the treatment they were receiving for RA: the biologics group ( = 12) and the nonbiologics group ( = 12). Clinical characteristics of PCP were compared between the two groups.

RESULTS

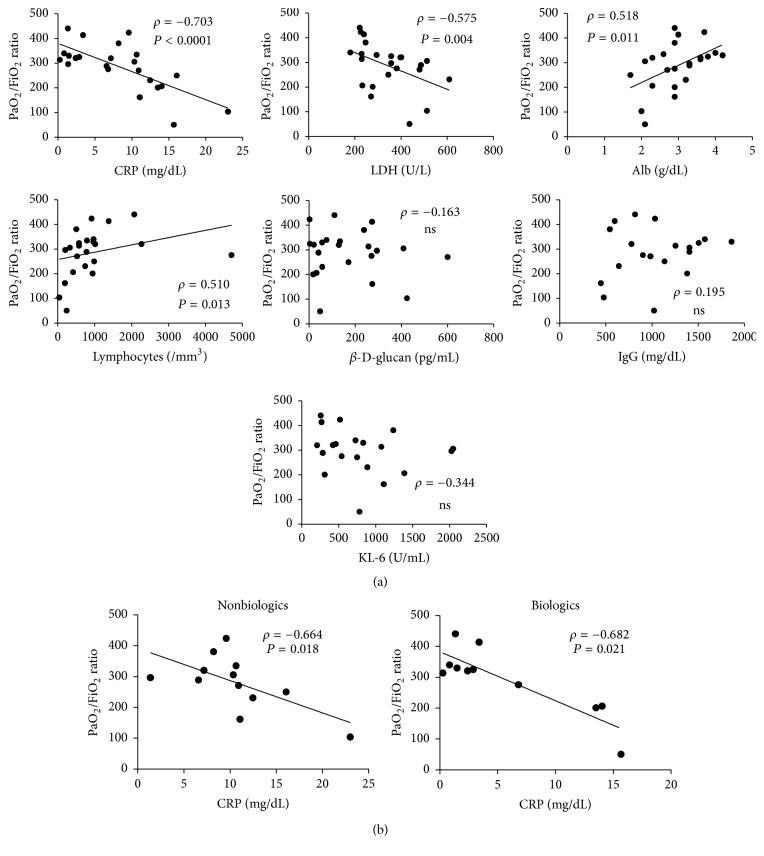
At PCP diagnosis, the biologics group showed significantly lower serum levels of -D-glucan and C-reactive protein than the nonbiologics group, while the biologics group had significantly higher lymphocyte counts than the nonbiologics group. In the nonbiologics group, lower lymphocyte counts were associated with higher -D-glucan levels; however, this was not observed in the biologics group.

CONCLUSION

The finding that RA patients being treated with biologics developed PCP with relatively normal lymphocyte counts and lower -D-glucan levels suggests that the pathophysiology of PCP in those patients is different from that in patients being treated with other antirheumatic drugs.

摘要

目的

本研究旨在比较接受生物制剂治疗的类风湿关节炎(RA)患者与未接受生物制剂治疗的患者中肺孢子菌肺炎(PCP)的临床特征。

方法

在我们机构的8630例RA患者中,我们纳入了24例在治疗过程中发生PCP的患者。根据他们接受的RA治疗方法将他们分为两组:生物制剂组(=12)和非生物制剂组(=12)。比较两组PCP的临床特征。

结果

在PCP诊断时,生物制剂组的血清β-D-葡聚糖和C反应蛋白水平显著低于非生物制剂组,而生物制剂组的淋巴细胞计数显著高于非生物制剂组。在非生物制剂组中,较低的淋巴细胞计数与较高的β-D-葡聚糖水平相关;然而,在生物制剂组中未观察到这种情况。

结论

接受生物制剂治疗的RA患者发生PCP时淋巴细胞计数相对正常且β-D-葡聚糖水平较低,这一发现表明这些患者中PCP的病理生理学与接受其他抗风湿药物治疗的患者不同。

https://cdn.ncbi.nlm.nih.gov/pmc/blobs/c0c5/5529629/9917253c2f73/BMRI2017-3710652.001.jpg

文献AI研究员

20分钟写一篇综述,助力文献阅读效率提升50倍。

立即体验

用中文搜PubMed

大模型驱动的PubMed中文搜索引擎

马上搜索

文档翻译

学术文献翻译模型,支持多种主流文档格式。

立即体验