Suppr超能文献

改性钛表面介导对人骨髓基质细胞反应的影响。

Modified Titanium Surface-Mediated Effects on Human Bone Marrow Stromal Cell Response.

作者信息

Chaudhari Amol, Duyck Joke, Braem Annabel, Vleugels Jozef, Petite Hervé, Logeart-Avramoglou Delphine, Naert Ignace, Martens Johan A, Vandamme Katleen

机构信息

BIOMAT Research Cluster, Department of Oral Health Sciences and Prosthetic Dentistry, KU Leuven and University Hospitals Leuven, Kapucijnenvoer 7 box 7001, Leuven 3000, Belgium.

Department of Metallurgy and Materials Engineering (MTM), KU Leuven, Kasteelpark Arenberg 44 box 2450, Heverlee 3001, Belgium.

出版信息

Materials (Basel). 2013 Nov 28;6(12):5533-5548. doi: 10.3390/ma6125533.

Abstract

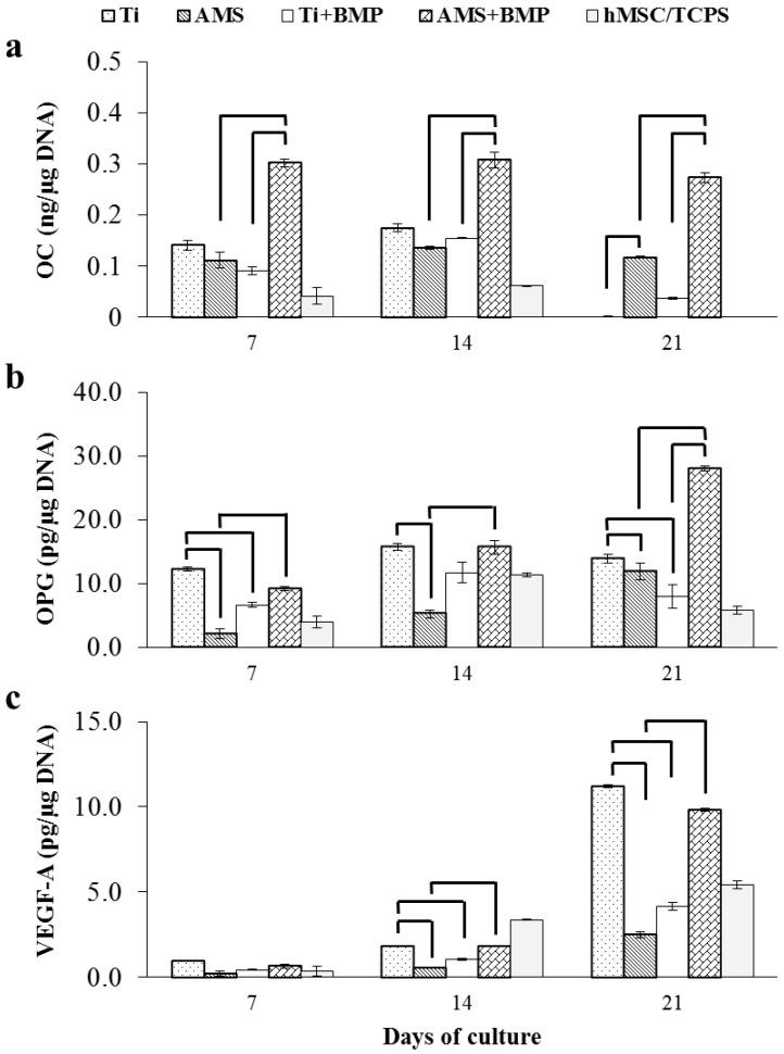
Surface modification of titanium implants is used to enhance osseointegration. The study objective was to evaluate five modified titanium surfaces in terms of cytocompatibility and pro-osteogenic/pro-angiogenic properties for human mesenchymal stromal cells: amorphous microporous silica (AMS), bone morphogenetic protein-2 immobilized on AMS (AMS + BMP), bio-active glass (BAG) and two titanium coatings with different porosity (T1; T2). Four surfaces served as controls: uncoated Ti (Ti), Ti functionalized with BMP-2 (Ti + BMP), Ti surface with a thickened titanium oxide layer (TiO₂) and a tissue culture polystyrene surface (TCPS). The proliferation of eGFP-fLuc (enhanced green fluorescence protein-firefly luciferase) transfected cells was tracked non-invasively by fluorescence microscopy and bio-luminescence imaging. The implant surface-mediated effects on cell differentiation potential was tracked by determination of osteogenic and angiogenic parameters [alkaline phosphatase (ALP); osteocalcin (OC); osteoprotegerin (OPG); vascular endothelial growth factor-A (VEGF-A)]. Unrestrained cell proliferation was observed on (un)functionalized Ti and AMS surfaces, whereas BAG and porous titanium coatings T1 and T2 did not support cell proliferation. An important pro-osteogenic and pro-angiogenic potential of the AMS + BMP surface was observed. In contrast, coating the Ti surface with BMP did not affect the osteogenic differentiation of the progenitor cells. A significantly slower BMP-2 release from AMS compared to Ti supports these findings. In the unfunctionalized state, Ti was found to be superior to AMS in terms of OPG and VEGF-A production. AMS is suggested to be a promising implant coating material for bioactive agents delivery.

摘要

钛植入物的表面改性用于增强骨整合。本研究的目的是评估五种改性钛表面对人间充质基质细胞的细胞相容性和成骨/促血管生成特性:无定形微孔二氧化硅(AMS)、固定在AMS上的骨形态发生蛋白-2(AMS + BMP)、生物活性玻璃(BAG)以及两种具有不同孔隙率的钛涂层(T1;T2)。四个表面作为对照:未涂层的钛(Ti)、用BMP-2功能化的钛(Ti + BMP)、具有增厚氧化钛层的钛表面(TiO₂)和组织培养聚苯乙烯表面(TCPS)。通过荧光显微镜和生物发光成像对转染了eGFP-fLuc(增强型绿色荧光蛋白-萤火虫荧光素酶)的细胞增殖进行无创追踪。通过测定成骨和血管生成参数[碱性磷酸酶(ALP);骨钙素(OC);骨保护素(OPG);血管内皮生长因子-A(VEGF-A)]来追踪植入物表面介导的对细胞分化潜能的影响。在(未)功能化的钛和AMS表面观察到不受限制的细胞增殖,而BAG以及多孔钛涂层T1和T2不支持细胞增殖。观察到AMS + BMP表面具有重要的成骨和促血管生成潜能。相比之下,用BMP涂覆钛表面并不影响祖细胞的成骨分化。与钛相比,AMS释放BMP-2的速度明显更慢,这支持了这些发现。在未功能化状态下,发现钛在OPG和VEGF-A产生方面优于AMS。AMS被认为是一种用于生物活性剂递送的有前途的植入物涂层材料。

https://cdn.ncbi.nlm.nih.gov/pmc/blobs/86a4/5452737/d4701bdc3b9b/materials-06-05533-g001.jpg

文献AI研究员

20分钟写一篇综述,助力文献阅读效率提升50倍。

立即体验

用中文搜PubMed

大模型驱动的PubMed中文搜索引擎

马上搜索

文档翻译

学术文献翻译模型,支持多种主流文档格式。

立即体验