Suppr超能文献

Pd- -CH complexes of the Trost modular ligand: high nuclearity columnar aggregation controlled by concentration, solvent and counterion.

作者信息

Racys Daugirdas Tomas, Eastoe Julian, Norrby Per-Ola, Grillo Isabelle, Rogers Sarah E, Lloyd-Jones Guy C

机构信息

School of Chemistry , University of Bristol , Office S314, Cantock's Close , Clifton , Bristol BS8 1TS , UK . Email:

AstraZeneca Pharmaceutical Development , Global Medicines Development , Pepparedsleden 1 , SE-431 83 Mölndal , Sweden . Email:

出版信息

Chem Sci. 2015 Oct 1;6(10):5793-5801. doi: 10.1039/c5sc01181g. Epub 2015 Jul 15.

Abstract

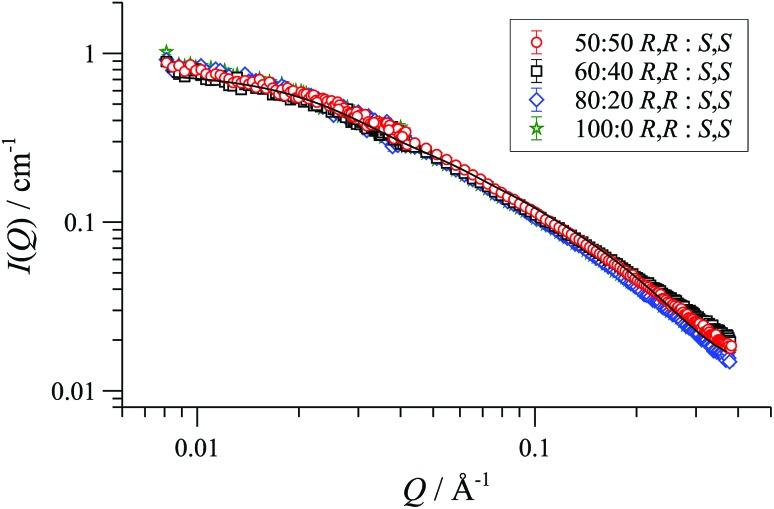
Under optimised conditions, the Trost modular ligand (TML) series induces high levels of asymmetric induction in an extraordinarily wide range of reactions involving palladium -allyl intermediates. Prior mechanistic investigations into reactions involving Pd--CH intermediates have focussed on the monomeric 13-membered ring formed P,P-chelation of the ligand to Pd. However, it is also recognised that ring-opening oligomerisation provides a pool of high nuclearity Pd--CH species that, by affording a low level, or even the opposite sense, of asymmetric induction relative to the mononuclear species, are responsible for a reduction in selectivity under non-optimised conditions. Herein we describe an investigation by NMR spectroscopy, molecular mechanics, molecular dynamics, and small-angle neutron scattering (SANS), of a Pd--CH cation bearing the 1,2-diaminocyclohexane TML ligand (). Using both nondeuterated and perdeuterated (D) isotopologues of the resulting complexes ([]), we show that a two-stage oligomerisation-aggregation process forms self assembled cylindrical aggregates of very high nuclearity (up to 56 Pd centres). We also investigate how concentration, solvent and counter-anion all modulate the extent of oligomerisation.

摘要
https://cdn.ncbi.nlm.nih.gov/pmc/blobs/4d28/5520773/5e5f38abff97/c5sc01181g-s1.jpg

文献检索

告别复杂PubMed语法,用中文像聊天一样搜索,搜遍4000万医学文献。AI智能推荐,让科研检索更轻松。

立即免费搜索

文件翻译

保留排版,准确专业,支持PDF/Word/PPT等文件格式,支持 12+语言互译。

免费翻译文档

深度研究

AI帮你快速写综述,25分钟生成高质量综述,智能提取关键信息,辅助科研写作。

立即免费体验