Suppr超能文献

用于长挠曲系统减振的陀螺弹性梁。

Gyro-elastic beams for the vibration reduction of long flexural systems.

作者信息

Carta G, Jones I S, Movchan N V, Movchan A B, Nieves M J

机构信息

Liverpool John Moores University, Mechanical Engineering and Materials Research Centre, Liverpool, L3 3AF, UK.

University of Liverpool, Department of Mathematical Sciences, Liverpool, L69 7ZL, UK.

出版信息

Proc Math Phys Eng Sci. 2017 Jul;473(2203):20170136. doi: 10.1098/rspa.2017.0136. Epub 2017 Jul 19.

Abstract

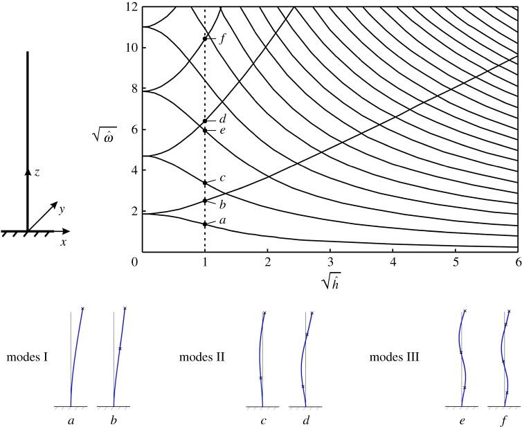
The paper presents a model of a chiral multi-structure incorporating gyro-elastic beams. Floquet-Bloch waves in periodic chiral systems are investigated in detail, with the emphasis on localization and the formation of standing waves. It is found that gyricity leads to low-frequency standing modes and generation of stop-bands. A design of an earthquake protection system is offered here, as an interesting application of vibration isolation. Theoretical results are accompanied by numerical simulations in the time-harmonic regime.

摘要

本文提出了一种包含陀螺弹性梁的手性多结构模型。详细研究了周期性手性系统中的弗洛凯 - 布洛赫波,重点关注局域化和驻波的形成。研究发现,回转性会导致低频驻波模式和带隙的产生。本文给出了一种地震保护系统的设计,作为隔振的一个有趣应用。理论结果伴有时间谐波 regime 下的数值模拟。 (注:此处“time-harmonic regime”不太明确准确意思,可结合更专业背景理解,直译为“时间谐波 regime” )

https://cdn.ncbi.nlm.nih.gov/pmc/blobs/91fd/5549565/af66fc835e09/rspa20170136-g1.jpg

文献AI研究员

20分钟写一篇综述,助力文献阅读效率提升50倍。

立即体验

用中文搜PubMed

大模型驱动的PubMed中文搜索引擎

马上搜索

文档翻译

学术文献翻译模型,支持多种主流文档格式。

立即体验