Suppr超能文献

土地面积升高对蚂蚁集体选择的影响。

Effect of the land area elevation on the collective choice in ants.

机构信息

Center for Nonlinear Phenomena and Complex Systems (Cenoli) - CP 231, Université libre de Bruxelles (ULB), Campus Plaine, Boulevard du Triomphe, Building NO - level 5, B-1050, Bruxelles, Belgium.

Evolutionary Biology and Ecology (EBE) - CP 160, Université libre de Bruxelles (ULB), Campus du Solbosch, 50 Avenue Franklin D, Roosevelt, B-1050, Bruxelles, Belgium.

出版信息

Sci Rep. 2017 Aug 18;7(1):8745. doi: 10.1038/s41598-017-08592-9.

Abstract

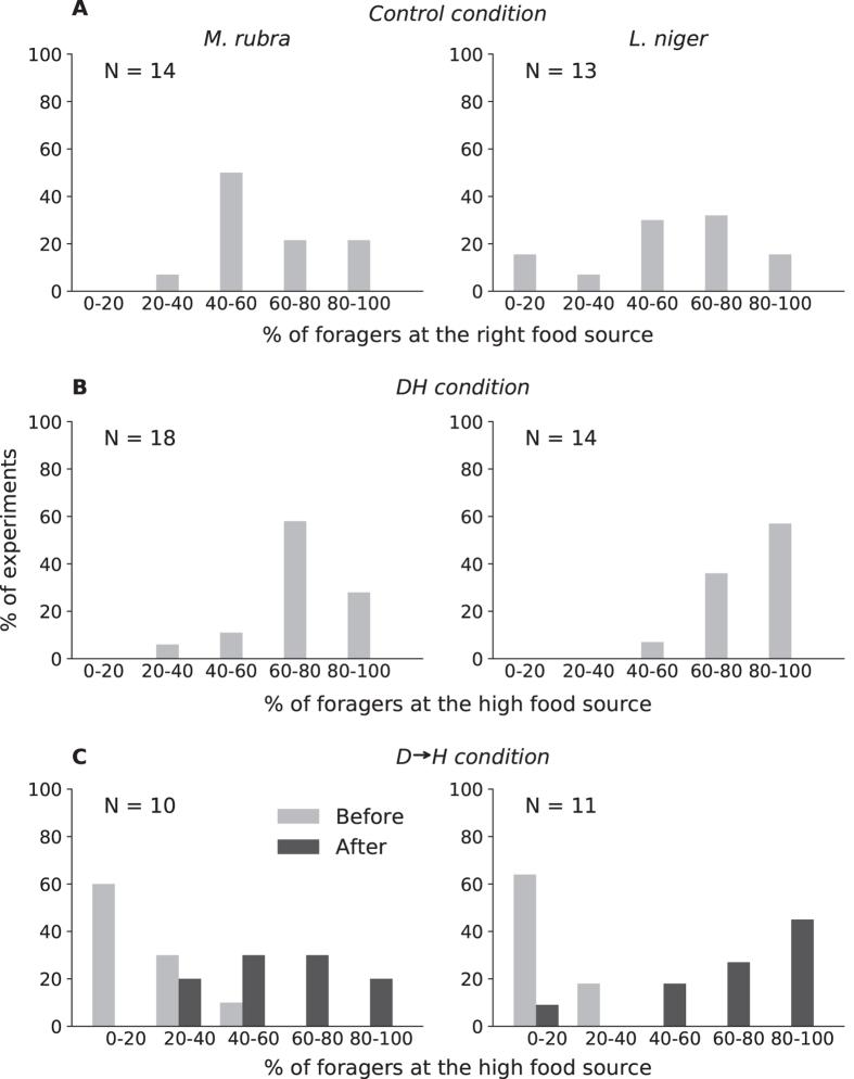
Collective decisions regarding food source exploitation in social insects are influenced by a range of parameters, from source quality to individual preference and social information sharing. Those regarding the elevation of the physical trail towards a food source have been neglected. In this work, we investigated the effect of ascending and descending paths from the nest to a food source on collective choice in two ant species Lasius niger and Myrmica rubra. Our hypothesis that returning loaded with food from the high source is more energy efficient was validated by choice experiments: when the sources are simultaneously introduced the high food source is preferentially exploited by both species. The flexibility of colony response was then tested by introducing the preferred source (high) incidentally, after recruitment towards the down food source began. Despite the well-known lack of flexibility of L. niger, both species showed the ability to reallocate their foraging workforce towards the highest food source. The collective choice and the flexibility are based on the difference between the u-turn rates when foragers are facing the ascending or descending branch. We discuss these results in terms of species-specifics characteristics and ecological context.

摘要

关于社会性昆虫对食物源利用的集体决策受到多种参数的影响,包括来源质量、个体偏好和社会信息共享等。然而,对于向食物源提升物理痕迹的影响,尚未得到充分关注。在这项工作中,我们研究了两种蚂蚁物种黑蚁和红蚁从巢到食物源的上升和下降路径对集体选择的影响。我们的假设是,从高处带回食物的负载更具能量效率,这一假设通过选择实验得到了验证:当同时引入食物源时,两种物种都优先选择高食物源。然后,通过在向低处食物源招募开始后,意外地引入偏好的食物源(高食物源),测试了蚁群响应的灵活性。尽管黑蚁的灵活性众所周知,但两种物种都表现出重新分配其觅食劳动力以寻找最高食物源的能力。集体选择和灵活性基于当觅食者面对上升或下降分支时,他们掉头的速率差异。我们根据物种特定的特征和生态背景讨论了这些结果。

https://cdn.ncbi.nlm.nih.gov/pmc/blobs/7d5c/5562813/7c716b3c42b3/41598_2017_8592_Fig1_HTML.jpg

文献AI研究员

20分钟写一篇综述,助力文献阅读效率提升50倍。

立即体验

用中文搜PubMed

大模型驱动的PubMed中文搜索引擎

马上搜索

文档翻译

学术文献翻译模型,支持多种主流文档格式。

立即体验