• 文献检索
  • 文档翻译
  • 深度研究
  • 学术资讯
  • Suppr Zotero 插件Zotero 插件
  • 邀请有礼
  • 套餐&价格
  • 历史记录
应用&插件
Suppr Zotero 插件Zotero 插件浏览器插件Mac 客户端Windows 客户端微信小程序
定价
高级版会员购买积分包购买API积分包
服务
文献检索文档翻译深度研究API 文档MCP 服务
关于我们
关于 Suppr公司介绍联系我们用户协议隐私条款
关注我们

Suppr 超能文献

核心技术专利:CN118964589B侵权必究
粤ICP备2023148730 号-1Suppr @ 2026

文献检索

告别复杂PubMed语法,用中文像聊天一样搜索,搜遍4000万医学文献。AI智能推荐,让科研检索更轻松。

立即免费搜索

文件翻译

保留排版,准确专业,支持PDF/Word/PPT等文件格式,支持 12+语言互译。

免费翻译文档

深度研究

AI帮你快速写综述,25分钟生成高质量综述,智能提取关键信息,辅助科研写作。

立即免费体验

确定证明一种医疗设备不劣于外部基准所需的样本量。

Determining the sample size required to establish whether a medical device is non-inferior to an external benchmark.

作者信息

Sayers Adrian, Crowther Michael J, Judge Andrew, Whitehouse Michael R, Blom Ashley W

机构信息

Muscloskeletal Research Unit, School of Clinical Sciences, University of Bristol, Bristol, UK.

School of Social and Community Medicine, University of Bristol, Bristol, UK.

出版信息

BMJ Open. 2017 Aug 28;7(8):e015397. doi: 10.1136/bmjopen-2016-015397.

DOI:10.1136/bmjopen-2016-015397
PMID:28851772
原文链接:https://pmc.ncbi.nlm.nih.gov/articles/PMC5652499/
Abstract

OBJECTIVES

The use of benchmarks to assess the performance of implants such as those used in arthroplasty surgery is a widespread practice. It provides surgeons, patients and regulatory authorities with the reassurance that implants used are safe and effective. However, it is not currently clear how or how many implants should be statistically compared with a benchmark to assess whether or not that implant is superior, equivalent, non-inferior or inferior to the performance benchmark of interest.We aim to describe the methods and sample size required to conduct a one-sample non-inferiority study of a medical device for the purposes of benchmarking.

DESIGN

Simulation study.

SETTING

Simulation study of a national register of medical devices.

METHODS

We simulated data, with and without a non-informative competing risk, to represent an arthroplasty population and describe three methods of analysis (z-test, 1-Kaplan-Meier and competing risks) commonly used in surgical research.

PRIMARY OUTCOME

We evaluate the performance of each method using power, bias, root-mean-square error, coverage and CI width.

RESULTS

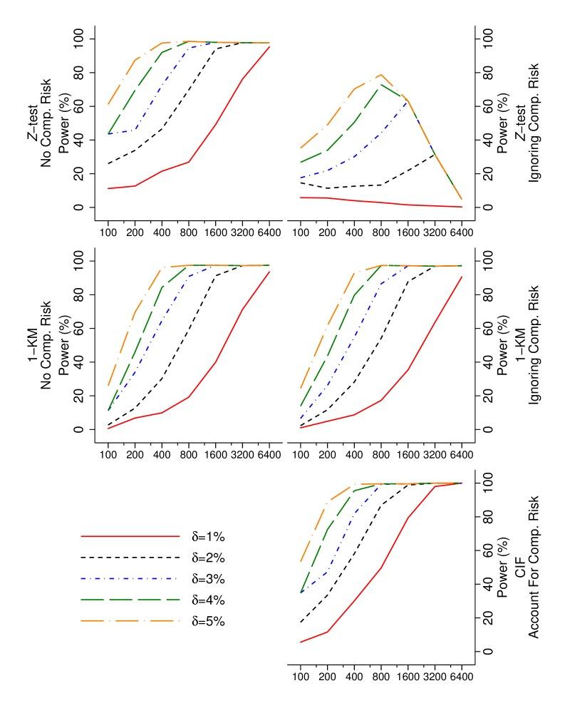
1-Kaplan-Meier provides an unbiased estimate of implant net failure, which can be used to assess if a surgical device is non-inferior to an external benchmark. Small non-inferiority margins require significantly more individuals to be at risk compared with current benchmarking standards.

CONCLUSION

A non-inferiority testing paradigm provides a useful framework for determining if an implant meets the required performance defined by an external benchmark. Current contemporary benchmarking standards have limited power to detect non-inferiority, and substantially larger samples sizes, in excess of 3200 procedures, are required to achieve a power greater than 60%. It is clear when benchmarking implant performance, net failure estimated using 1-KM is preferential to crude failure estimated by competing risk models.

摘要

目的

使用基准来评估诸如关节置换手术中使用的植入物的性能是一种普遍做法。它为外科医生、患者和监管机构提供了所用植入物安全有效的保证。然而,目前尚不清楚应如何以及对多少植入物与基准进行统计学比较,以评估该植入物是否优于、等同于、不劣于或劣于感兴趣的性能基准。我们旨在描述为进行医疗器械的单样本非劣效性研究以进行基准测试所需的方法和样本量。

设计

模拟研究。

设置

对国家医疗器械注册库的模拟研究。

方法

我们模拟了有无非信息性竞争风险的数据,以代表关节置换人群,并描述了手术研究中常用的三种分析方法(z检验、1-Kaplan-Meier法和竞争风险法)。

主要结局

我们使用功效、偏差、均方根误差、覆盖率和置信区间宽度来评估每种方法的性能。

结果

1-Kaplan-Meier法提供了植入物净失败率的无偏估计,可用于评估手术器械是否不劣于外部基准。与当前的基准测试标准相比,小的非劣效性边界需要显著更多的个体处于风险中。

结论

非劣效性测试范式为确定植入物是否符合外部基准定义的所需性能提供了一个有用的框架。当前的当代基准测试标准检测非劣效性的能力有限,需要超过3200例手术的大幅更大样本量才能实现大于60%的功效。在对植入物性能进行基准测试时,很明显使用1-KM法估计的净失败率优于竞争风险模型估计的粗略失败率。

https://cdn.ncbi.nlm.nih.gov/pmc/blobs/50e5/5652499/80b6addc20f3/bmjopen-2016-015397f05.jpg
https://cdn.ncbi.nlm.nih.gov/pmc/blobs/50e5/5652499/9dfc2d4ed7db/bmjopen-2016-015397f01.jpg
https://cdn.ncbi.nlm.nih.gov/pmc/blobs/50e5/5652499/9a51d0fb50eb/bmjopen-2016-015397f02.jpg
https://cdn.ncbi.nlm.nih.gov/pmc/blobs/50e5/5652499/e804df37ad4b/bmjopen-2016-015397f03.jpg
https://cdn.ncbi.nlm.nih.gov/pmc/blobs/50e5/5652499/7e744fe8aa67/bmjopen-2016-015397f04.jpg
https://cdn.ncbi.nlm.nih.gov/pmc/blobs/50e5/5652499/80b6addc20f3/bmjopen-2016-015397f05.jpg
https://cdn.ncbi.nlm.nih.gov/pmc/blobs/50e5/5652499/9dfc2d4ed7db/bmjopen-2016-015397f01.jpg
https://cdn.ncbi.nlm.nih.gov/pmc/blobs/50e5/5652499/9a51d0fb50eb/bmjopen-2016-015397f02.jpg
https://cdn.ncbi.nlm.nih.gov/pmc/blobs/50e5/5652499/e804df37ad4b/bmjopen-2016-015397f03.jpg
https://cdn.ncbi.nlm.nih.gov/pmc/blobs/50e5/5652499/7e744fe8aa67/bmjopen-2016-015397f04.jpg
https://cdn.ncbi.nlm.nih.gov/pmc/blobs/50e5/5652499/80b6addc20f3/bmjopen-2016-015397f05.jpg

相似文献

1
Determining the sample size required to establish whether a medical device is non-inferior to an external benchmark.确定证明一种医疗设备不劣于外部基准所需的样本量。
BMJ Open. 2017 Aug 28;7(8):e015397. doi: 10.1136/bmjopen-2016-015397.
2
Assessing the non-inferiority of prosthesis constructs used in hip replacement using data from the National Joint Registry of England, Wales, Northern Ireland and the Isle of Man: a benchmarking study.评估英格兰、威尔士、北爱尔兰和马恩岛国家联合登记处数据中髋关节置换术中使用的假体结构的非劣效性:基准研究。
BMJ Open. 2019 Apr 29;9(4):e026685. doi: 10.1136/bmjopen-2018-026685.
3
Assessing the non-inferiority of prosthesis constructs used in total and unicondylar knee replacements using data from the National Joint Registry of England, Wales, Northern Ireland and the Isle of Man: a benchmarking study.评估英格兰、威尔士、北爱尔兰和马恩岛国家联合登记处数据中全膝关节和单髁膝关节置换术中使用的假体构建的非劣效性:基准研究。
BMJ Open. 2019 Apr 29;9(4):e026736. doi: 10.1136/bmjopen-2018-026736.
4
Are competing risks models appropriate to describe implant failure?竞争风险模型是否适用于描述种植体失败?
Acta Orthop. 2018 Jun;89(3):256-258. doi: 10.1080/17453674.2018.1444876. Epub 2018 Mar 9.
5
Is the Survivorship of Birmingham Hip Resurfacing Better Than Selected Conventional Hip Arthroplasties in Men Younger Than 65 Years of Age? A Study from the Australian Orthopaedic Association National Joint Replacement Registry.对于65岁以下男性,伯明翰髋关节表面置换术的生存率是否优于某些传统髋关节置换术?来自澳大利亚骨科协会国家关节置换登记处的一项研究。
Clin Orthop Relat Res. 2020 Nov;478(11):2625-2636. doi: 10.1097/CORR.0000000000001453.
6
Early Benchmarking Total Hip Arthroplasty Implants Using Data from the Michigan Arthroplasty Registry Collaborative Quality Initiative (MARCQI).利用密歇根关节置换登记协作质量倡议(MARCQI)的数据对全髋关节置换植入物进行早期基准测试。
Orthop Res Rev. 2021 Nov 24;13:215-228. doi: 10.2147/ORR.S325042. eCollection 2021.
7
Non-inferiority trials: are they inferior? A systematic review of reporting in major medical journals.非劣效性试验:它们是否较差?对主要医学期刊报告的系统评价。
BMJ Open. 2016 Oct 7;6(10):e012594. doi: 10.1136/bmjopen-2016-012594.
8
Competing Risk of Death When Comparing Tibial Implant Types in Total Knee Arthroplasty.全膝关节置换术中比较胫骨植入物类型时的死亡竞争风险
J Bone Joint Surg Am. 2016 Apr 6;98(7):591-6. doi: 10.2106/JBJS.15.00488.
9
Benchmarking total knee replacement constructs using noninferiority analysis: the New Zealand joint registry study.使用非劣效性分析对全膝关节置换术进行基准测试:新西兰关节登记研究。
BMC Musculoskelet Disord. 2021 Aug 23;22(1):721. doi: 10.1186/s12891-021-04606-w.
10
Benchmarking total hip replacement constructs using noninferiority analysis: the New Zealand joint registry study.使用非劣效性分析对全髋关节置换术进行基准测试:新西兰关节登记研究。
BMC Musculoskelet Disord. 2021 Aug 21;22(1):719. doi: 10.1186/s12891-021-04602-0.

引用本文的文献

1
Liver resection had better disease-free survival rates compared with radiofrequency ablation in hepatocellular carcinoma: a meta-analysis based on randomized clinical trials.在肝细胞癌中,与射频消融相比,肝切除具有更好的无病生存率:一项基于随机临床试验的荟萃分析。
Int J Surg. 2024 Nov 1;110(11):7225-7233. doi: 10.1097/JS9.0000000000001943.
2
Agreement of ejection fraction measured by coronary computed tomography (CT) and cardiac ultrasound in evaluating patients with chronic heart failure: an observational comparative study.冠状动脉计算机断层扫描(CT)与心脏超声测量射血分数在评估慢性心力衰竭患者中的一致性:一项观察性比较研究。
Quant Imaging Med Surg. 2024 May 1;14(5):3619-3627. doi: 10.21037/qims-23-1864. Epub 2024 Apr 26.
3

本文引用的文献

1
Using simulation studies to evaluate statistical methods.运用模拟研究评估统计方法。
Stat Med. 2019 May 20;38(11):2074-2102. doi: 10.1002/sim.8086. Epub 2019 Jan 16.
2
Setting benchmark revision rates for total hip replacement: analysis of registry evidence.设定全髋关节置换术的基准修订率:注册证据分析。
BMJ. 2015 Mar 9;350:h756. doi: 10.1136/bmj.h756.
3
Simulating biologically plausible complex survival data.模拟具有生物学合理性的复杂生存数据。
Innovative technologies for reverse total shoulder arthroplasty in Australia: Market access challenges and implications for patients, decision-makers, and manufacturers.
澳大利亚反向全肩关节置换术的创新技术:市场准入挑战及对患者、决策者和制造商的影响
J Mark Access Health Policy. 2022 Dec 6;11(1):2154420. doi: 10.1080/20016689.2022.2154420. eCollection 2023.
4
Early Benchmarking Total Hip Arthroplasty Implants Using Data from the Michigan Arthroplasty Registry Collaborative Quality Initiative (MARCQI).利用密歇根关节置换登记协作质量倡议(MARCQI)的数据对全髋关节置换植入物进行早期基准测试。
Orthop Res Rev. 2021 Nov 24;13:215-228. doi: 10.2147/ORR.S325042. eCollection 2021.
5
Association between surgeon grade and implant survival following hip and knee replacement: a systematic review and meta-analysis.髋关节和膝关节置换术后外科医生级别与植入物存活率的关系:系统评价和荟萃分析。
BMJ Open. 2021 Nov 10;11(11):e047882. doi: 10.1136/bmjopen-2020-047882.
6
Benchmarking total knee replacement constructs using noninferiority analysis: the New Zealand joint registry study.使用非劣效性分析对全膝关节置换术进行基准测试:新西兰关节登记研究。
BMC Musculoskelet Disord. 2021 Aug 23;22(1):721. doi: 10.1186/s12891-021-04606-w.
7
Benchmarking total hip replacement constructs using noninferiority analysis: the New Zealand joint registry study.使用非劣效性分析对全髋关节置换术进行基准测试:新西兰关节登记研究。
BMC Musculoskelet Disord. 2021 Aug 21;22(1):719. doi: 10.1186/s12891-021-04602-0.
8
Assessing the non-inferiority of prosthesis constructs used in total and unicondylar knee replacements using data from the National Joint Registry of England, Wales, Northern Ireland and the Isle of Man: a benchmarking study.评估英格兰、威尔士、北爱尔兰和马恩岛国家联合登记处数据中全膝关节和单髁膝关节置换术中使用的假体构建的非劣效性:基准研究。
BMJ Open. 2019 Apr 29;9(4):e026736. doi: 10.1136/bmjopen-2018-026736.
9
Assessing the non-inferiority of prosthesis constructs used in hip replacement using data from the National Joint Registry of England, Wales, Northern Ireland and the Isle of Man: a benchmarking study.评估英格兰、威尔士、北爱尔兰和马恩岛国家联合登记处数据中髋关节置换术中使用的假体结构的非劣效性:基准研究。
BMJ Open. 2019 Apr 29;9(4):e026685. doi: 10.1136/bmjopen-2018-026685.
10
Sample size and power considerations for ordinary least squares interrupted time series analysis: a simulation study.普通最小二乘中断时间序列分析的样本量与效能考量:一项模拟研究
Clin Epidemiol. 2019 Feb 25;11:197-205. doi: 10.2147/CLEP.S176723. eCollection 2019.
Stat Med. 2013 Oct 15;32(23):4118-34. doi: 10.1002/sim.5823. Epub 2013 Apr 23.
4
Reporting of noninferiority and equivalence randomized trials: extension of the CONSORT 2010 statement.非劣效性和等效性随机试验报告:CONSORT 2010 声明的扩展。
JAMA. 2012 Dec 26;308(24):2594-604. doi: 10.1001/jama.2012.87802.
5
Graphical augmentations to the funnel plot assess the impact of additional evidence on a meta-analysis.漏斗图的图形增强可评估额外证据对荟萃分析的影响。
J Clin Epidemiol. 2012 May;65(5):511-9. doi: 10.1016/j.jclinepi.2011.10.009. Epub 2012 Feb 18.
6
Statistical analysis of arthroplasty data. II. Guidelines.关节成形术数据的统计学分析。II. 指南。
Acta Orthop. 2011 Jun;82(3):258-67. doi: 10.3109/17453674.2011.588863.
7
Survival analysis in total joint replacement: an alternative method of accounting for the presence of competing risk.全关节置换中的生存分析:一种考虑竞争风险存在的替代方法。
J Bone Joint Surg Br. 2010 May;92(5):701-6. doi: 10.1302/0301-620X.92B5.23470.
8
Estimating the crude probability of death due to cancer and other causes using relative survival models.利用相对生存率模型估算癌症及其他死因的粗死亡率。
Stat Med. 2010 Mar 30;29(7-8):885-95. doi: 10.1002/sim.3762.
9
The tyranny of power: is there a better way to calculate sample size?权力的专制:是否有更好的方法来计算样本量?
BMJ. 2009 Oct 6;339:b3985. doi: 10.1136/bmj.b3985.
10
Comments on 'Current issues in non-inferiority trials' by Thomas R. Fleming, Statistics in Medicine, DOI: 10.1002/sim.2855.托马斯·R·弗莱明对《非劣效性试验中的当前问题》的评论,发表于《医学统计学》,DOI: 10.1002/sim.2855 。
Stat Med. 2008 Feb 10;27(3):333-42. doi: 10.1002/sim.2923.