Suppr超能文献

非小细胞肺癌生存率随时间的改善。

Improvement of survival for non-small cell lung cancer over time.

作者信息

Xia Wenjie, Yu Xinnian, Mao Qixing, Xia Wenying, Wang Anpeng, Dong Gaochao, Chen Bing, Ma Weidong, Xu Lin, Jiang Feng

机构信息

Department of Thoracic Surgery, Nanjing Medical University Affiliated Cancer Hospital.

Jiangsu Key Laboratory of Molecular and Translational Cancer Research, Cancer Institute of Jiangsu Province.

出版信息

Onco Targets Ther. 2017 Aug 29;10:4295-4303. doi: 10.2147/OTT.S145036. eCollection 2017.

Abstract

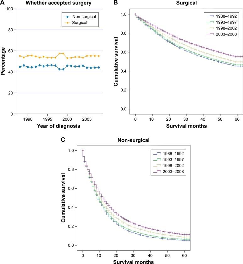
Non-small cell lung cancer (NSCLC) is the main histological subtype of lung cancer, which is the leading cause of cancer death. It is unclear whether the improved survival seen at high-volume centers applies to the general population and, more importantly, whether the improvement in lung cancer survival was just a consequence of improved screening work. Data from the Surveillance, Epidemiology, and End Results (SEER) registry was used to identify 405,580 patients with NSCLC diagnosed from 1988 to 2008. The patients were divided into four groups according to the year of diagnosis. Trends of clinical characteristics were analyzed to reflect the progress of screening work. Five-year relative survivals in various subgroups were compared. The results indicated that proportion of aged, advanced, and non-surgical patients increased, whereas patients with lymph node metastasis and high histology grade decreased. Improvements in all stages of NSCLC patients were demonstrated, with relatively more significant gains for patients with localized and regional disease. After potentially curative surgical resection, remarkable improvements were observed in both cohorts with time (surgical: 52.00%-63.00%; non-surgical: 6.10%-13.50%). Specifically, patients who underwent pneumonectomy, lobectomy/bilobectomy, and partial/wedge/segmental resection all presented better survival rates. Our SEER analysis demonstrated improvements among patients in all stages of NSCLC that were deemed attributable to improved therapy and medical care for NSCLC rather than improved screening work.

摘要

非小细胞肺癌(NSCLC)是肺癌的主要组织学亚型,肺癌是癌症死亡的主要原因。尚不清楚在高容量中心观察到的生存率提高是否适用于普通人群,更重要的是,肺癌生存率的提高是否仅仅是筛查工作改善的结果。利用监测、流行病学和最终结果(SEER)登记处的数据,确定了1988年至2008年诊断的405580例NSCLC患者。根据诊断年份将患者分为四组。分析临床特征趋势以反映筛查工作的进展。比较了各亚组的五年相对生存率。结果表明,老年、晚期和非手术患者的比例增加,而有淋巴结转移和高组织学分级的患者比例下降。NSCLC患者各阶段均有改善,局限性和区域性疾病患者的改善相对更为显著。在进行了可能治愈性的手术切除后,两个队列的生存率均随时间有显著提高(手术组:52.00%-63.00%;非手术组:6.10%-13.50%)。具体而言,接受肺切除术、肺叶/双肺叶切除术以及部分/楔形/节段性切除术的患者均表现出更高的生存率。我们的SEER分析表明,NSCLC患者各阶段均有改善,这被认为归因于NSCLC治疗和医疗护理的改善,而非筛查工作的改善。

https://cdn.ncbi.nlm.nih.gov/pmc/blobs/61ec/5587133/2af498ecee5a/ott-10-4295Fig1.jpg

文献AI研究员

20分钟写一篇综述,助力文献阅读效率提升50倍。

立即体验

用中文搜PubMed

大模型驱动的PubMed中文搜索引擎

马上搜索

文档翻译

学术文献翻译模型,支持多种主流文档格式。

立即体验