Suppr超能文献

通过柠檬酸盐法制备的无铅(BaCa)(ZrTi)O₃ 陶瓷中的大电致热效应。

Large Electrocaloric Effect in Lead-Free (BaCa)(ZrTi)O₃ Ceramics Prepared via Citrate Route.

作者信息

Shi Jing, Zhu Rongfeng, Liu Xing, Fang Bijun, Yuan Ningyi, Ding Jianning, Luo Haosu

机构信息

School of Materials Science and Engineering, Jiangsu Collaborative Innovation Center of Photovolatic Science and Engineering, Jiangsu Province Cultivation Base for State Key Laboratory of Photovoltaic Science and Technology, National Experimental Demonstration Center for Materials Science and Engineering, Changzhou University, Changzhou 213164, China.

Institute of Electronic and Electrical, Changzhou College of Information Technology, Changzhou 213164, China.

出版信息

Materials (Basel). 2017 Sep 18;10(9):1093. doi: 10.3390/ma10091093.

Abstract

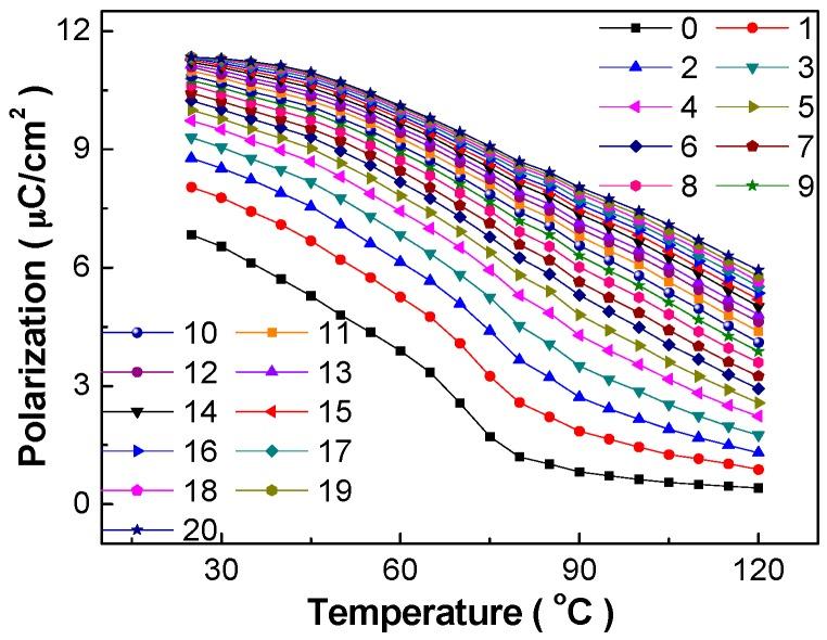
The 1 wt % Li-doped (BaCa)(ZrTi)O₃ (BCZT-Li) ceramics prepared by the citrate method exhibit improved phase purity, densification and electrical properties, which provide prospective possibility to develop high-performance electrocaloric materials. The electrocaloric effect was evaluated by phenomenological method, and the BCZT-Li ceramics present large electrocaloric temperature change ∆, especially large electrocaloric responsibility = ∆/∆, which can be comparable to the largest values reported in the lead-free piezoelectric ceramics. The excellent electrocaloric effect is considered as correlating with the coexistence of polymorphic ferroelectric phases, which are detected by the Raman spectroscopy. The large value accompanied by decreased Curie temperature (around 73 °C) of the BCZT-Li ceramics prepared by the citrate method presents potential applications as the next-generation solid-state cooling devices.

摘要

采用柠檬酸盐法制备的1 wt%锂掺杂(BaCa)(ZrTi)O₃(BCZT-Li)陶瓷表现出更高的相纯度、致密化程度和电学性能,这为开发高性能电热材料提供了潜在的可能性。通过唯象学方法评估了电热效应,BCZT-Li陶瓷呈现出较大的电热温度变化∆,特别是较大的电热响应度 = ∆/∆,这可与无铅压电陶瓷中报道的最大值相媲美。优异的电热效应被认为与多晶型铁电相的共存有关,这通过拉曼光谱检测到。采用柠檬酸盐法制备的BCZT-Li陶瓷具有较大的 值且居里温度降低(约73°C),这使其在下一代固态冷却装置方面具有潜在应用。

https://cdn.ncbi.nlm.nih.gov/pmc/blobs/4ee0/5615747/4f40648e0b70/materials-10-01093-g001.jpg

文献AI研究员

20分钟写一篇综述,助力文献阅读效率提升50倍。

立即体验

用中文搜PubMed

大模型驱动的PubMed中文搜索引擎

马上搜索

文档翻译

学术文献翻译模型,支持多种主流文档格式。

立即体验