Suppr超能文献

利用辐射流体动力学代码ANTARES研究太阳光球层的结构。

Structure of the solar photosphere studied from the radiation hydrodynamics code ANTARES.

作者信息

Leitner P, Lemmerer B, Hanslmeier A, Zaqarashvili T, Veronig A, Grimm-Strele H, Muthsam H J

机构信息

University of Graz, Universitätsplatz 5, 8010 Graz, Austria.

Space Research Institute, Austrian Academy of Sciences, Schmiedlstrasse 6, 8042 Graz, Austria.

出版信息

Astrophys Space Sci. 2017;362(9):181. doi: 10.1007/s10509-017-3151-7. Epub 2017 Aug 31.

Abstract

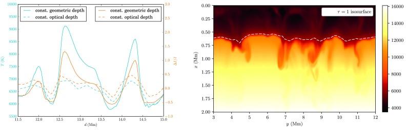
The ANTARES radiation hydrodynamics code is capable of simulating the solar granulation in detail unequaled by direct observation. We introduce a state-of-the-art numerical tool to the solar physics community and demonstrate its applicability to model the solar granulation. The code is based on the weighted essentially non-oscillatory finite volume method and by its implementation of local mesh refinement is also capable of simulating turbulent fluids. While the ANTARES code already provides promising insights into small-scale dynamical processes occurring in the quiet-Sun photosphere, it will soon be capable of modeling the latter in the scope of radiation magnetohydrodynamics. In this first preliminary study we focus on the vertical photospheric stratification by examining a 3-D model photosphere with an evolution time much larger than the dynamical timescales of the solar granulation and of particular large horizontal extent corresponding to [Formula: see text] on the solar surface to smooth out horizontal spatial inhomogeneities separately for up- and downflows. The highly resolved Cartesian grid thereby covers [Formula: see text] of the upper convection zone and the adjacent photosphere. Correlation analysis, both local and two-point, provides a suitable means to probe the photospheric structure and thereby to identify several layers of characteristic dynamics: The thermal convection zone is found to reach some ten kilometers above the solar surface, while convectively overshooting gas penetrates even higher into the low photosphere. An [Formula: see text] wide transition layer separates the convective from the oscillatory layers in the higher photosphere.

摘要

ANTARES辐射流体动力学代码能够详细模拟太阳米粒组织,这是直接观测无法比拟的。我们向太阳物理学界介绍了一种最先进的数值工具,并展示了其在模拟太阳米粒组织方面的适用性。该代码基于加权本质无振荡有限体积法,并且通过其局部网格细化的实现,还能够模拟湍流流体。虽然ANTARES代码已经为宁静太阳光球层中发生的小尺度动力学过程提供了有前景的见解,但它很快将能够在辐射磁流体动力学的范围内对后者进行建模。在这项初步研究中,我们通过研究一个三维模型光球层来关注光球层的垂直分层,该模型光球层的演化时间远大于太阳米粒组织的动力学时间尺度,并且具有特别大的水平范围,对应于太阳表面上的[公式:见文本],以便分别消除向上和向下流动的水平空间不均匀性。由此,高度解析的笛卡尔网格覆盖了上对流区和相邻光球层的[公式:见文本]。局部和两点相关分析提供了一种合适的手段来探测光球层结构,从而识别出几层具有特征性动力学的区域:发现热对流区延伸到太阳表面上方约十公里处,而对流过冲气体甚至更高地穿透到低光球层。一个[公式:见文本]宽的过渡层将较高光球层中的对流层与振荡层分隔开来。

https://cdn.ncbi.nlm.nih.gov/pmc/blobs/664c/5579305/10201887e0fb/10509_2017_3151_Fig1_HTML.jpg

文献AI研究员

20分钟写一篇综述,助力文献阅读效率提升50倍。

立即体验

用中文搜PubMed

大模型驱动的PubMed中文搜索引擎

马上搜索

文档翻译

学术文献翻译模型,支持多种主流文档格式。

立即体验