Suppr超能文献

利拉鲁肽对心力衰竭患者血流动力学参数的影响。

Effects of liraglutide on hemodynamic parameters in patients with heart failure.

作者信息

Zhang Jin Ying, Wang Xin Yun, Wang Xiang

机构信息

Department of Emergency, Binzhou Medical University Hospital, Binzhou, Shandong, China.

出版信息

Oncotarget. 2017 Jun 19;8(37):62693-62702. doi: 10.18632/oncotarget.18570. eCollection 2017 Sep 22.

Abstract

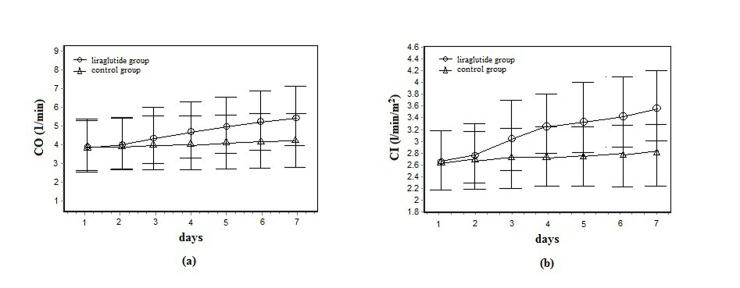
Glucagon-like peptide-1 analogues improve left ventricular function in patients with acute myocardial infarction. This study aimed to evaluate the effects of liraglutide on hemodynamic parameters in patients with heart failure. A total of 78 patients with heart failure were enrolled in this study between August 2014 and November 2015. Of these, 52 patients were randomized 1:1 to receive either liraglutide or placebo for 7 days. Hemodynamic measurements were made using transpulmonary thermodilution and arterial pulse contour analysis. At 7 days, the difference in change of the primary endpoint of cardiac output between the liraglutide group and control group was +1.1 1/min (95% CI +0.1 to +2.2; < 0.001). Stroke volume was significantly higher in the liraglutide group compared with the control group (difference: +14.6 ml; < 0.001). The difference in an increase in the left ventricular contractile index after 7 days of treatment was +210.7 mmHg/s (liraglutide versus control, 95% CI-92.1 to +501.5; < 0.001). Liraglutide causes favorable changes in markers of inflammation and oxidative stress. Glucagon-like peptide-1 may be associated with improvement in left ventricular function in patients with heart failure. These findings need to be confirmed by larger invasive trials.

摘要

胰高血糖素样肽-1类似物可改善急性心肌梗死患者的左心室功能。本研究旨在评估利拉鲁肽对心力衰竭患者血流动力学参数的影响。2014年8月至2015年11月期间,共有78例心力衰竭患者纳入本研究。其中,52例患者按1:1随机分组,接受利拉鲁肽或安慰剂治疗7天。采用经肺热稀释法和动脉脉搏轮廓分析法进行血流动力学测量。治疗7天时,利拉鲁肽组与对照组的心输出量主要终点变化差异为+1.1升/分钟(95%置信区间+0.1至+2.2;P<0.001)。与对照组相比,利拉鲁肽组的每搏输出量显著更高(差异:+14.6毫升;P<0.001)。治疗7天后,左心室收缩指数增加的差异为+210.7毫米汞柱/秒(利拉鲁肽组与对照组相比,95%置信区间-92.1至+501.5;P<0.001)。利拉鲁肽可引起炎症和氧化应激标志物的有益变化。胰高血糖素样肽-1可能与心力衰竭患者左心室功能的改善有关。这些发现需要通过更大规模的侵入性试验来证实。

https://cdn.ncbi.nlm.nih.gov/pmc/blobs/66e5/5617541/9abbf632529d/oncotarget-08-62693-g001.jpg

文献AI研究员

20分钟写一篇综述,助力文献阅读效率提升50倍。

立即体验

用中文搜PubMed

大模型驱动的PubMed中文搜索引擎

马上搜索

文档翻译

学术文献翻译模型,支持多种主流文档格式。

立即体验