Suppr超能文献

基于改进克拉美罗下界的使用天线阵列的UMTS无源多基地雷达中联合目标参数估计的性能分析

Performance Analysis for Joint Target Parameter Estimation in UMTS-Based Passive Multistatic Radar with Antenna Arrays Using Modified Cramér-Rao Lower Bounds.

作者信息

Shi Chenguang, Wang Fei, Salous Sana, Zhou Jianjiang

机构信息

Key Laboratory of Radar Imaging and Microwave Photonics, Ministry of Education, Nanjing University of Aeronautics and Astronautics, Nanjing 210016, China.

School of Engineering and Computing Sciences, Durham University, Durham DH1 3DE, UK.

出版信息

Sensors (Basel). 2017 Oct 18;17(10):2379. doi: 10.3390/s17102379.

Abstract

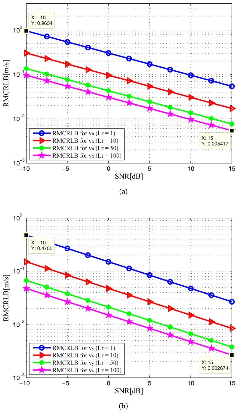
In this study, the modified Cramér-Rao lower bounds (MCRLBs) on the joint estimation of target position and velocity is investigated for a universal mobile telecommunication system (UMTS)-based passive multistatic radar system with antenna arrays. First, we analyze the log-likelihood redfunction of the received signal for a complex Gaussian extended target. Then, due to the non-deterministic transmitted data symbols, the analytically closed-form expressions of the MCRLBs on the Cartesian coordinates of target position and velocity are derived for a multistatic radar system with N t UMTS-based transmit station of L t antenna elements and N r receive stations of L r antenna elements. With the aid of numerical simulations, it is shown that increasing the number of receiving elements in each receive station can reduce the estimation errors. In addition, it is demonstrated that the MCRLB is not only a function of signal-to-noise ratio (SNR), the number of receiving antenna elements and the properties of the transmitted UMTS signals, but also a function of the relative geometric configuration between the target and the multistatic radar system.The analytical expressions for MCRLB will open up a new dimension for passive multistatic radar system by aiding the optimal placement of receive stations to improve the target parameter estimation performance.

摘要

在本研究中,针对基于通用移动通信系统(UMTS)且带有天线阵列的无源多基地雷达系统,研究了目标位置和速度联合估计的修正克拉美罗下界(MCRLBs)。首先,我们分析了复高斯扩展目标接收信号的对数似然函数。然后,由于发射数据符号的不确定性,对于具有Nt个基于UMTS的发射站(每个发射站有Lt个天线单元)和Nr个接收站(每个接收站有Lr个天线单元)的多基地雷达系统,推导了目标位置和速度笛卡尔坐标上MCRLBs的解析闭式表达式。借助数值模拟表明,增加每个接收站的接收元件数量可以降低估计误差。此外,结果表明MCRLB不仅是信噪比(SNR)、接收天线元件数量和发射UMTS信号特性的函数,还是目标与多基地雷达系统之间相对几何配置的函数。MCRLB的解析表达式将通过辅助接收站的优化布局来提高目标参数估计性能,为无源多基地雷达系统开辟一个新的维度。

https://cdn.ncbi.nlm.nih.gov/pmc/blobs/8cff/5676823/edcda3d8899c/sensors-17-02379-g001.jpg

文献AI研究员

20分钟写一篇综述,助力文献阅读效率提升50倍。

立即体验

用中文搜PubMed

大模型驱动的PubMed中文搜索引擎

马上搜索

文档翻译

学术文献翻译模型,支持多种主流文档格式。

立即体验