Suppr超能文献

氨诱导的离体脑和肝线粒体功能障碍及能量代谢紊乱,以及牛磺酸给药的影响:与肝性脑病治疗的相关性

Ammonia-induced mitochondrial dysfunction and energy metabolism disturbances in isolated brain and liver mitochondria, and the effect of taurine administration: relevance to hepatic encephalopathy treatment.

作者信息

Niknahad Hossein, Jamshidzadeh Akram, Heidari Reza, Zarei Mahdi, Ommati Mohammad Mehdi

机构信息

Pharmaceutical Sciences Research Center, Shiraz University of Medical Sciences, Shiraz, Iran.

Department of Animal Sciences, School of Agriculture, Shiraz University, Shiraz, Iran.

出版信息

Clin Exp Hepatol. 2017 Sep;3(3):141-151. doi: 10.5114/ceh.2017.68833. Epub 2017 Jul 5.

Abstract

INTRODUCTION

Ammonia-induced oxidative stress, mitochondrial dysfunction, and energy crisis are known as some the major mechanisms of brain injury in hepatic encephalopathy (HE). Hyperammonemia also affects the liver and hepatocytes. Therefore, targeting mitochondria seems to be a therapeutic point of intervention in the treatment of HE. Taurine is an abundant amino acid in the human body. Several biological functions including the mitochondrial protective properties are attributed to this amino acid. The aim of this study is to evaluate the effect of taurine administration on ammonia-induced mitochondrial dysfunction.

MATERIAL AND METHODS

Isolated mice liver and brain mitochondria were exposed to different concentrations of ammonia (1, 5, 10, and 20 mM) and taurine (1, 5, and 10 mM), and several mitochondrial indices were assessed.

RESULTS

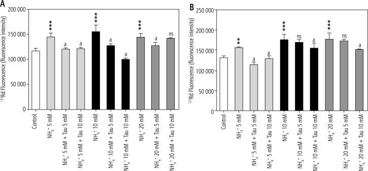
It was found that ammonia inhibited mitochondrial dehydrogenases activity caused collapse of mitochondrial membrane potential (MMP), induced mitochondrial swelling (MPP), and increased reactive oxygen species (ROS) in isolated liver and brain mitochondria. Furthermore, a significant amount of lipid peroxidation (LPO), along with glutathione (GSH) and ATP depletion, was detected in ammonia exposed mitochondria. Taurine administration (5 and 10 mM) mitigated ammonia-induced mitochondrial dysfunction.

CONCLUSIONS

The current investigation demonstrates that taurine is instrumental in preserving brain and liver mitochondrial function in a hyperammonemic environment. The data suggest taurine as a potential protective agent with a therapeutic capability against hepatic encephalopathy and hyperammonemia.

摘要

引言

氨诱导的氧化应激、线粒体功能障碍和能量危机是肝性脑病(HE)脑损伤的一些主要机制。高氨血症也会影响肝脏和肝细胞。因此,针对线粒体似乎是治疗HE的一个治疗干预点。牛磺酸是人体中含量丰富的氨基酸。这种氨基酸具有多种生物学功能,包括线粒体保护特性。本研究的目的是评估给予牛磺酸对氨诱导的线粒体功能障碍的影响。

材料与方法

将分离的小鼠肝脏和脑线粒体暴露于不同浓度的氨(1、5、10和20 mM)和牛磺酸(1、5和10 mM),并评估几个线粒体指标。

结果

发现氨抑制线粒体脱氢酶活性,导致线粒体膜电位(MMP)崩溃,诱导线粒体肿胀(MPP),并增加分离的肝脏和脑线粒体中的活性氧(ROS)。此外,在暴露于氨的线粒体中检测到大量脂质过氧化(LPO),以及谷胱甘肽(GSH)和ATP消耗。给予牛磺酸(5和10 mM)可减轻氨诱导的线粒体功能障碍。

结论

目前的研究表明,在高氨血症环境中,牛磺酸有助于保护脑和肝脏的线粒体功能。数据表明牛磺酸作为一种潜在的保护剂,具有治疗肝性脑病和高氨血症的能力。

https://cdn.ncbi.nlm.nih.gov/pmc/blobs/a4b8/5649485/2449cda5e79f/CEH-3-30278-g001.jpg

文献AI研究员

20分钟写一篇综述,助力文献阅读效率提升50倍。

立即体验

用中文搜PubMed

大模型驱动的PubMed中文搜索引擎

马上搜索

文档翻译

学术文献翻译模型,支持多种主流文档格式。

立即体验