Suppr超能文献

具有优异热稳定性的Al-Cu-Fe-X合金的结构与力学性能

Structure and Mechanical Properties of Al-Cu-Fe-X Alloys with Excellent Thermal Stability.

作者信息

Školáková Andrea, Novák Pavel, Mejzlíková Lucie, Průša Filip, Salvetr Pavel, Vojtěch Dalibor

机构信息

Department of Metals and Corrosion Engineering, University of Chemistry and Technology, Prague, Technická 5, 16628 Prague, Czech Republic.

出版信息

Materials (Basel). 2017 Nov 5;10(11):1269. doi: 10.3390/ma10111269.

Abstract

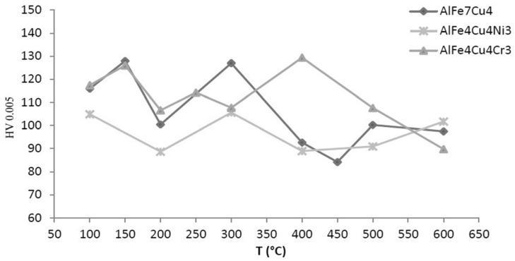
In this work, the structure and mechanical properties of innovative Al-Cu-Fe based alloys were studied. We focused on preparation and characterization of rapidly solidified and hot extruded Al-Cu-Fe, Al-Cu-Fe-Ni and Al-Cu-Fe-Cr alloys. The content of transition metals affects mechanical properties and structure. For this reason, microstructure, phase composition, hardness and thermal stability have been investigated in this study. The results showed exceptional thermal stability of these alloys and very good values of mechanical properties. Alloying by chromium ensured the highest thermal stability, while nickel addition refined the structure of the consolidated alloy. High thermal stability of all tested alloys was described in context with the transformation of the quasicrystalline phases to other types of intermetallics.

摘要

在这项工作中,对创新型铝铜铁基合金的结构和力学性能进行了研究。我们专注于快速凝固和热挤压的铝铜铁、铝铜铁镍以及铝铜铁铬合金的制备与表征。过渡金属的含量会影响力学性能和结构。因此,本研究对微观结构、相组成、硬度和热稳定性进行了研究。结果表明这些合金具有出色的热稳定性和非常良好的力学性能值。铬合金化确保了最高的热稳定性,而添加镍则细化了固结合金的结构。结合准晶相转变为其他类型金属间化合物的情况,描述了所有测试合金的高热稳定性。

https://cdn.ncbi.nlm.nih.gov/pmc/blobs/393b/5706216/63fa01b3c415/materials-10-01269-g001.jpg

文献AI研究员

20分钟写一篇综述,助力文献阅读效率提升50倍。

立即体验

用中文搜PubMed

大模型驱动的PubMed中文搜索引擎

马上搜索

文档翻译

学术文献翻译模型,支持多种主流文档格式。

立即体验